Incoloy 825 合金加热过程中晶粒长大行为研究

寇金凤1,白亚冠1,聂义宏2,张 鑫1,张冰冰1,郭 伟1,李红梅1

(1.天津重型装备工程研究有限公司,天津 300457;2.中国第一重型机械股份公司,黑龙江齐齐哈尔 161042)

摘 要:研究了Incoloy 825 合金在1 223~1 473 K 温度范围内保温0~150 min 后的晶粒长大行为,分析了加热温度和保温时间对其晶粒尺寸的影响,构建了Incoloy 825 合金晶粒长大的数学模型。结果表明,当温度低于1 373 K 时,晶粒长大缓慢,晶粒尺寸变化不大;当温度高于1 373 K 时,合金晶粒尺寸明显长大。通过回归分析,构建了Incoloy 825 合金两段式晶粒长大数学模型,能够较好地预测该合金在不同加热温度、不同保温时间下的晶粒尺寸。

关键词:Incoloy 825;晶粒长大;数学模型

Incoloy 825 是一种添加了Mo、Cu、Ti 的镍铁基固溶强化型合金[1]。该合金具有抗氯离子应力腐蚀开裂、点蚀、缝隙腐蚀的能力,因此可广泛应用于各种工业设备中,例如化工行业用的热交换器及蒸发器,井口装置及采油树设备,含硫气井中的油套管等[2]

国内外学者对Incoloy 825 开展了很多研究,如佟梅等[3]对高酸性气田用油管材料G3、825 合金的高温变形特性的研究,杨俊峰等[4]对825 合金热加工过程相变规律的研究,洪慧敏等[5]研究了不同固溶温度后Incoloy 825 合金的显微组织与性能,但对于其在宽温域范围内晶粒长大行为和晶粒长大模型的系统研究却未见报道。对于其长大行为的研究主要有以下作用:①在热变形过程中,由于镍基合金热加工温度区间窄,很多产品不能一火次完成锻造,在火次之间采用不同的保温温度和保温时间所获得的晶粒尺寸不同,晶粒长大行为的研究可以为选择合适的保温温度和时间提供参考,最终获得理想的锻态晶粒组织;②完成锻造后的产品或试制件需要做固溶处理以获得理想的性能,不同固溶工艺下获得的晶粒尺寸不同,如何选择固溶温度和时间也需要对晶粒长大规律进行研究,从而获得理想的组织状态和性能结果;③通过系统研究获得镍基合金晶粒长大的数学模型,也是Deform 等模拟计算软件开展全过程组织模型预测必须用到的模型之一,通过实验获得再结晶及晶粒长大等模型,然后利用数字化仿真手段组织模型预测,可以提高制定和优化热加工工艺的效率。

基于以上3 方面的考虑,本文研究了Incoloy825合金在宽温域范围内不同保温时间下晶粒长大行为,获得了不同保温时间和保温温度对Incoloy 825合金晶粒尺寸的影响规律,并最终简化为晶粒长大数学模型,从而为预测不同条件下Incoloy 825 合金的晶粒组织提供依据。

1 实验方法

Incoloy 825 合金化学成分如表1 所示。实验中所有试样均取自ϕ15 mm 的锻棒,从其上切取了36个ϕ15 mm×15 mm 的圆柱试样。Incoloy 825 合金锻棒原始晶粒组织如图1 所示,由均匀等轴晶和少量孪晶组成,采用截点法统计出Incoloy 825 合金原始晶粒尺寸为20 μm 左右。

图1 Incoloy 825 合金原始试样晶粒组织图
Fig.1 The original metallograph of Incoloy 825 alloy

表1 Incoloy 825 合金化学成分
Tab.1 The chemical composition of Incoloy 825 alloy

晶粒长大实验采用到温入炉的方式,温度选择为1 223、1 273、1 323、1 373、1 423、1 473 K,保温时间选择为0、30、60、90、120、150 min,出炉水淬。试样经清洗、干燥后,进行打磨、抛光并腐蚀端面,腐蚀剂为35 g FeCl3+50ml HCl+100ml H2O。利用光学显微镜(Axio Observer.5m)观察Incoloy 825 合金晶粒长大实验后的晶粒形貌,并拍摄金相照片。采用截点法统计平均晶粒尺寸,每个试样任意观察5 个视场,保证累计截点数不少于200 个,以确保统计的准确性。

2 实验结果及讨论

2.1 实验结果

图2~7 为Incoloy 825 合金在不同温度保温不同时间后的晶粒组织。实验中各条件下获得的晶粒组织均由等轴晶加少量孪晶组成,属于晶粒正常长大。使用截点法统计各条件下试样的平均晶粒尺寸,统计结果如表2 所示。由表2 中数据可以看出,保温温度较低、保温时间较短时,晶粒尺寸长大有限。在1 223 K 时,保温30 min,晶粒尺寸从16 μm 长到27 μm;随着保温温度升高,晶粒长大趋势明显;当保温温度升高到一定程度时,晶粒尺寸迅速长大,在1 473 K 时保温30 min,晶粒尺寸从24 μm 迅速长大至207 μm。

图2 Incoloy 825 合金在1 223 K 下保温不同时间后的晶粒组织图:(a)30 min,(b)60 min,(c)90 min,(d)120 min,(e)150 min
Fig.2 Microstructural evolution of Incoloy 825 alloy during heating at 1 223 K for different holding time:(a)30 min,(b)60 min,(c)90 min,(d)120 min,(e)150 min

图3 Incoloy 825 合金在1 273 K 下保温不同时间后的晶粒组织图:(a)30 min,(b)60 min,(c)90 min,(d)120 min,(e)150 min
Fig.3 Microstructural evolution of Incoloy 825 alloy during heating at 1 273 K for different holding time:(a)30 min,(b)60 min,(c)90 min,(d)120 min,(e)150 min

图4 Incoloy 825 合金在1 323 K 下保温不同时间后的晶粒组织图:(a)30 min,(b)60 min,(c)90 min,(d)120 min,(e)150 min
Fig.4 Microstructural evolution of Incoloy 825 alloy during heating at 1 323 K for different holding time:(a)30 min,(b)60 min,(c)90 min,(d)120 min,(e)150 min

图5 Incoloy 825 合金在1 373 K 下保温不同时间后的晶粒组织图:(a)30 min,(b)60 min,(c)90 min,(d)120 min,(e)150 min
Fig.5 Microstructural evolution of Incoloy 825 alloy during heating at 1 373 K for different holding time:(a)30 min,(b)60 min,(c)90 min,(d)120 min,(e)150 min

图6 Incoloy 825 合金在1 423 K 下保温不同时间后的晶粒组织图:(a)30 min,(b)60 min,(c)90 min,(d)120 min,(e)150 min
Fig.6 Microstructural evolution of Incoloy 825 alloy during heating at 1 423 K for different holding time:(a)30 min,(b)60 min,(c)90 min,(d)120 min,(e)150 min

图7 Incoloy 825 合金在1 473 K 下保温不同时间后的晶粒组织图:(a)30 min,(b)60 min,(c)90 min,(d)120 min,(e)150 min
Fig.7 Microstructural evolution of Incoloy 825 alloy during heating at 1 473 K for different holding time:(a)30 min,(b)60 min,(c)90 min,(d)120 min,(e)150 min

表2 经不同温度保温不同时间后的平均晶粒尺寸
Tab.2 The average grain sizes at different temperatures and holding time

2.2 晶粒长大规律研究

2.2.1 保温时间对晶粒长大的影响

图8 为各个温度下晶粒尺寸随保温时间的变化趋势,可以看出,在1 223~1 473 K 温度范围内,Incoloy 825 合金晶粒发生不同程度的长大,晶粒尺寸随时间呈抛物线长大。在加热到不同实验温度后,平均晶粒尺寸由20 μm 分别长大至45~251 μm。由图8 的各条曲线可以看出,曲线斜率开始时比较大,即各个试样短时间保温后,晶粒长大速度较快;随着时间的延长,长大速度逐渐变缓,因此呈典型的抛物线形状[6-8]。总体上,当温度低于1 373 K 时,晶粒尺寸长幅较小,各个温度下经不同时间保温后晶粒基本在100 μm 以下,尤其在1 223、1 273、1 323 K 下保温不同时间后,晶粒尺寸基本维持在80 μm 以下;高于1 373 K 时,晶粒尺寸长幅较大,尤其是在1 423、1 473 K 时,即使经历最短时间(30 min)保温后,晶粒都长到了150 μm 以上。

图8 不同温度下Incoloy 825 合金平均晶粒尺寸随保温时间变化情况
Fig.8 The average grain size of Incoloy 825 alloy changed with holding time at different temperatures

2.2.2 保温温度对晶粒长大的影响

由图9 可知,当保温时间一定时,保温温度对Incoloy 825 合金晶粒尺寸大小的影响也十分显著。在1 223~1 373 K 范围内,晶粒长大速度较慢,晶粒尺寸处于较低水平;在1 373~1 473 K 范围内,晶粒长大迅速,各温度下晶粒尺寸迅速长大至较高水平。这主要是由于,在外界提供能量时,锻棒完全再结晶后的晶粒通过长大来减少晶界总面积、降低内部总能量[9-11]。保温温度越高,外界提供的能量越多,原子扩散和晶界迁移越容易发生,晶粒长大现象越明显。

图9 不同保温时间下Incoloy 825 合金平均晶粒尺寸随保温温度的变化情况
Fig.9 The relationship between the average grain size and holding temperature at different holding time

2.3 晶粒长大模型构建

2.3.1 晶粒生长指数

Incoloy 825 合金的晶粒尺寸与保温时间的关系可以用Beck 方程[12]表示,如式(1):

式中,D 为保温一定时间后的平均晶粒直径,μm;D0为原始晶粒平均直径,μm;C 为常数;t 为时间,s;η为晶粒生长指数。取A=lnC,对式(1)两边取对数得:

由式(2)得到ln(D-D0)-lnt 的关系曲线,见图10。在本实验所测定的保温温度下,ln(D-D0)与lnt之间表现出很好的线性关系,说明Incoloy 825 合金晶粒长大规律完全符合Beck 方程。直线斜率表示不同温度下的晶粒生长指数η,所得η 的值列于表3,表中各温度下拟合标准差均小于0.8。由表中可以看出,总体上晶粒生长指数随温度升高而减小,1 223 K 时,晶粒生长指数接近0.5,而1 473 K时晶粒生长指数为0.13。

图10 不同温度下Incoloy 825 合金ln(D-D0)-lnt 关系曲线
Fig.10 Curves of ln(D-D0)vs.lnt of Incoloy 825 alloy at different temperatures

表3 不同温度下晶粒生长指数(η)
Tab.3 Grain growth exponent (η) at different temperatures

2.3.2 晶粒长大动力学

目前预测镍基合金保温过程中晶粒长大的模型一般采用Sellars 模型[13]或是Anelli 改进模型[14],如式(3~4)所示:

式中,d 为试样平均晶粒直径,μm;d0 为原始试样平均晶粒直径,μm;t 为保温时间,s;T 为保温温度,K;R 为气体常数,J/(mol·K);Q 为晶粒长大激活能,J;A、B、m、n 为常数。由于以上2 个模型本质相同,本实验采用式(3),变换式(3)得:

先预设m 值(设定为1、2、3 到10 的整数),利用实验数据拟合来求出A、Q 的值及其误差值,误差平方和作为m 的函数,以误差平方和最小为优化目标[15-17]。m 取不同值时,可以得到不同温度下的斜率值C 值,由于

因此,得出m 取不同值时,lnC 对1/T 的关系,通过线性拟合得到直线的斜率为-Q/R,截距为lnA。

均方误差MSE 可用来评价m 取不同值时误差的大小[18-20],如式(8)所示。通过将计算的常数代入式(8),计算出各条件下晶粒尺寸,并与实验得到的晶粒尺寸进行对比得到均方误差。均方误差越小,说明模型准确度越高。将不同m 值对应的Q、A、MSE 列于表4。

表4 不同m值对应的计算常数值及均方误差
Tab.4 Constant values and mean square errors of the grain growth model corresponding to different m values

式中,E 为实验得到的晶粒尺寸值,P 为预测的晶粒尺寸值,N 为个数。

由2.2.1 保温时间对晶粒长大的影响以及2.2.2保温温度对晶粒长大的影响分析结果可知,Incoloy 825 合金在1 223~1 373 K 温度范围内保温晶粒尺寸及长大速度均处于较低水平,而在1 373~1 473 K温度范围内保温晶粒尺寸及晶粒长大速度均显著提高,因此,在本次研究中将合金晶粒长大模型按温度T≤1 373 K 和温度T>1 373 K 分为两段进行计算。T≤1 373 K 时,模型常数取m1、Q1、A1;T>1 373 K时,模型常数取m2、A2、Q2

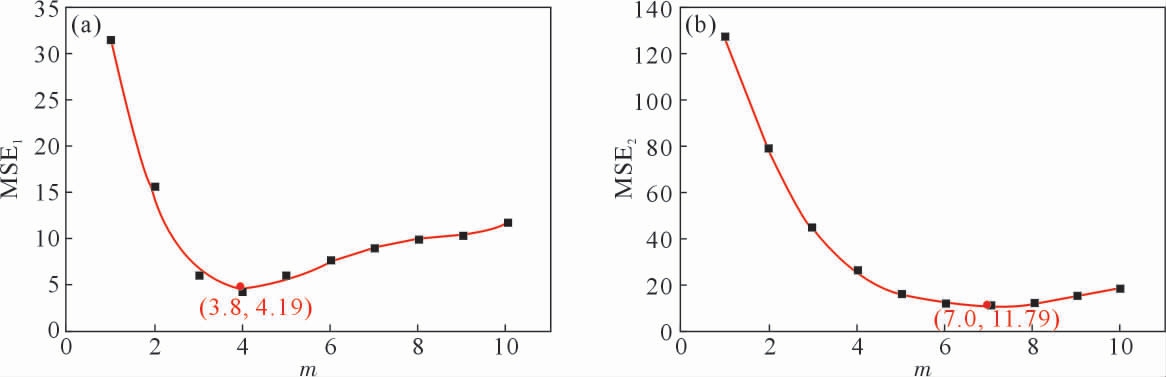
图11 为均方误差与m 值的关系曲线,可以看出当T≤1 373 K 时,随m 值的增加,均方误差MSE先减小后增大。当m=4 时,MSE 取得最小值4.2。将各点用曲线拟合,当m=3.8 时,计算得到MSE 最小值为MSE1=4.19。因此,将m=3.8 作为低温段模型中m 的最佳值。带入式(5),通过式(6~7)计算得到低温段A1=4.15×1016,Q1=335.711 kJ/mol。当T>1 373 K、m=7 时,MSE 取得最小值11.8。将各点用曲线拟合,计算得到MSE 最小值为m=7 时,MSE2=11.79。将m=7 作为高温段模型中m 的最佳值,带入式(5),通过式(6~7)计算得到高温段A2=8×1042,Q2=845.113 kJ/mol。最终得到的Incoloy825 合金两段式晶粒长大模型如下:

图11 均方误差与m 值的关系:(a)MSE1 与m 值,(b)MSE2 与m 值
Fig.11 The relationships between the mean square errors and m values:(a)MSE1 and m value,(b)MSE2 and m value

2.3.3 晶粒长大模型评价

图12 为使用模型预测的晶粒尺寸与实验晶粒尺寸数据对比,两者线性相关系数为99.5%,说明本实验建立的晶粒长大模型预测值与实验值误差非常小,模型准确,可用于保温温度为1 223~1 473 K、保温时间低于150 min 实际生产中晶粒尺寸的预测。

图12 模型预测晶粒尺寸与实验测得晶粒尺寸对比
Fig.12 The correlation between the predicted and experimental grain sizes

3 结论

(1)在1 223~1 473 K 温度下保温0~150 min 时,Incoloy 825 合金晶粒会出现不同程度的长大,均长成均匀的等轴晶。

(2)在一定温度下保温时,晶粒随着保温时间的增加逐渐长大,但晶粒长大速度逐渐降低;保温时间一定时,保温温度越高,Incoloy 825 合金晶粒尺寸越大。1 223~1 373 K 内保温晶粒尺寸处于较低水平,而在1 373~1473 K 内保温晶粒尺寸长大至较高水平。

(3)根据Incoloy 825 合金晶粒长大规律构建了两段式晶粒长大模型:其预测值与实验值相关系数为0.995,具有很高的预测精度。

参考文献:

[1] 张菽浪,张红斌.Incoloy 825 耐蚀合金[J].特钢技术,2005(3):64-66.ZHANG S L,ZHANG H B.Corrosion resistant alloy Incoloy 825[J].Special Steel Technology,2005(3):64-66.

[2] 王宝顺,邵羽,苏诚.825 合金热挤压管裂纹研究[J].热加工工艺,2013,42(15):127-129,133.WANG B S,SHAO Y,SU C.Investigation on cracks in 825 alloy pipe during hot extrusion process[J].Hot Working Technology,2013,42(15):127-129,133.

[3] 佟梅,包宗耀,董翰,等.高酸性气田用油管材料G3、825 合金的高温变形特性[J].机械工程材料,2009,33(2):56-58.TONG M,BAO Y Z,DONG H,et al.High temperature deformation characteristics of G3 and 825 alloy used in oil pipes of high-sour gas fields[J].Materials for Mechanical Engineering,2009,33(2):56-58.

[4] 杨俊峰,范芳雄.825 合金热加工过程相变化规律研究[J].材料开发与应用,2015,30(3):53-60.YANG J F,FAN F X.Study on the law of precipitation during hot working of alloy 825[J].Development and Application of Materials,2015,30(3):53-60.

[5] 洪慧敏,张珂,金传伟,等.不同温度固溶后Incoloy 825 合金的显微组织与性能[J].机械工程材料,2017,41(8):23-26.HONG H M,ZHANG K,JIN C W,et al.Microstructure and properties of Incoloy 825 alloy after solution at different temperatures[J].Materials for Mechanical Engineering,2017,41(8):23-26.

[6] 叶青,谌颖,陈博,等.Haynes 282 新型高温合金晶粒长大行为及数学模型研究[J].宇航材料工艺,2022,52(5):35-42.YE Q,CHEN Y,CHEN B,et al.Study on the grain growth behavior and mathematical model of a new-type superalloy Haynes 282[J].Aerospace Materials&Technology,2022,52(5):35-42.

[7] 肖东平,王福,周扬,等.GH4141 高温合金固溶处理过程中的晶粒长大行为[J].金属热处理,2023,48(3):221-225.XIAO D P,WANG F,ZHOU Y,et al.Grain growth behavior of GH4141 superalloy during solution treatment process[J].Heat Treatment of Metals,2023,48(3):221-225.

[8] 张文文,冯阳,王帅杰,等.GH4742 高温合金晶粒长大行为[J].塑性工程学报,2022,29(10):117-125.ZHANG W W,FENG Y,WANG S J,et al.Grain growth behavior of GH742 superalloy[J].Journal of Plastic Engneering,2022,29(10):117-125.

[9] 陈正宗,刘正东,包汉生,等.C-HRA-3 耐热合金奥氏体晶粒长大动力学[J].钢铁,2017,52(7):64-67,83.CHEN Z Z,LIU Z D,BAO H S,et al.Kinetics of austenite grain growth in heat-resistant alloy C-HRA-3[J].Iron&Steel,2017,52(7):64-67,83.

[10] 李立新,汪凌云,周家林,等.等温条件下晶粒长大模型研究[J].武汉科技大学学报(自然科学版),2002(4):335-336.LI L X,WANG L Y,ZHOU J L,et al.Development of a model of iso-thermal grain growth [J].Journal of Wuhan University of Science and Technology(Natural Science Edition),2002(4):335-336.

[11] 余式昌,吴申庆,宫友军,等.6Cr21Mn10MoVNbN 气阀钢晶粒长大及其动力学研究[J].钢铁,2006(6):71-76.YU S C,WU S Q,GONG Y J,et al.Kinetics of grain growth in 6Cr21Mn10MoVNbN valve steel[J].Iron&Steel,2006(6):71-76.

[12] 余永宁.金属学原理[M].北京:冶金工业出版社,2000.YU Y N.Principles of metallography[M].Beijing: Metallurgical Industry Press,2000.

[13] QUAN G Z,ZHANG P,MA Y Y et al.Characterization of grain growth behaviors by BP-ANN and sellars models for nickle-base superalloy and their comparisons in hot deformation heating process[J].Transactions of Nonferrous Metals Society of China,2020,30(9):2435-2448.

[14] 兰博,于秋颖,张敏聪,等.GH720Li 合金棒坯热变形加热过程的晶粒长大模型[J].热加工工艺,2017,46(8):107-112.LAN B,YU Q Y,ZHANG M C,et al.Grain growth model of GH720Li alloy billets [J].Hot Working Technology,2017,46(8):107-112.

[15] 叶丽燕,翟月雯,周乐育,等.超大型核电转子用25Cr2Ni4MoV钢静态晶粒长大行为研究[J].塑性工程学报,2021,28(4):146-151.YE L Y,ZHAI Y W,ZHOU L Y,et al.Study on static grain growth of 25Cr2Ni4MoV steel for super large nuclear power rotor[J].Journal of Plasticity Engineering,2021,28(4):146-151.

[16] 陈小敏,蔺永诚,胡宏伟,等.镍基合金完全再结晶后的晶粒长大行为研究[J].精密成形工程,2021,13(1):72-77.CHEN X M,LIN Y C,HU H W,et al.Grain growth behavior after full recrystallization in a nickel-based superalloy[J].Journal of Netshape Forming Engineering,2021,13(1):72-77.

[17] 郭宏钢,李阳,王岩.固溶处理对617B 镍基高温合金晶粒长大的影响[J].热加工工艺,2014,43(6):161-163.GUO H G,LI Y,WANG Y,et al.Effect of solution treatment on grain growth for 617B Ni-base superalloy[J].Hot Working Technology,2014,43(6):161-163.

[18] 万明攀,赵永庆,曾卫东,等.Ti-1300 合金的晶粒长大行为[J].稀有金属材料与工程,2015,44(4):908-911.WAN M P,ZHAO Y Q,ZENG W D,et al.Grain growth behavior of Ti-1300 alloy [J].Rare Metal Materials and Engneering,2015,44(4):908-911.

[19] 杨小红,张士宏,王忠堂,等.GH4169 合金等温条件下晶粒长大数学模型研究[J].沈阳理工大学学报,2007(3):64-68.YANG X H,ZHANG S H,WANG Z T,et al.Research on the pattern and establishm ent of the grain growth for GH4169 alloy under the isothermal condition[J].Journal of Shenyang Ligong University,2007(3):64-68.

[20] 廖林镇,杨庚蔚,戴成珂,等.30CrMo 钢的奥氏体晶粒长大行为及数学模型[J].上海金属,2016,38(6):16-19.LIAO L Z,YANG G W,DAI C K,et al.Austenite grain growth behavior and mathematical model of 30CrMo steel [J].Shanghai Metals,2016,38(6):16-19.

Research on the Grain Growth Behavior of Incoloy 825 Alloy During the Heating Process

KOU Jinfeng1,BAI Yaguan1,NIE Yihong2,ZHANG Xin1,ZHANG Bingbing1,GUO Wei1,LI Hongmei1
(1.Tianjin Heavy Industries Research and Development Co.,Ltd.,Tianjin 300457,China;2.China First Heavy Machinery Co.,Ltd.,Qiqihaer 161042,China)

Abstract:It was studied the grain growth behavior of Incoloy 825 alloy within the temperature range from 1 223 to 1 473 K and holding time range from 0 to 150 min.The influence of the temperature and holding time on the grain size was analysed,and the evolution law of the grain size was studied.The results indicate that the grain size shows no remarkable growth with increasing temperature and holding time when the temperature is lower than 1 373 K.However,the grain size grows obviously with increasing temperature and holding time when the heating temperature is above 1 373 K.The two-stage grain growth model is established on the basis of regression analysis,which can well predict the grain size under different heating temperatures and holding time.

Key words:Incoloy 825;grain growth;mathematical model

中图分类号:TG132

文献标识码:A

文章编号:1000-8365(2023)10-0941-07

DOI:10.16410/j.issn1000-8365.2023.3104

收稿日期:2023-05-08

基金项目:国家重点研发计划(2021YFB3704102)

作者简介:寇金凤,1988 年生,硕士,工程师.主要从事镍基合金研究方面的工作.Email:15202297887@163.com

引用格式:寇金凤,白亚冠,聂义宏,等.Incoloy 825 合金加热过程中晶粒长大行为研究[J].铸造技术,2023,44(10):941-947.

KOU J F,BAI Y G,NIE Y H,et al.Research on the grain growth behavior of Incoloy 825 alloy during the heating process[J].Foundry Technology,2023,44(10):941-947.