钛是20 世纪50 年代发展起来的一种重要的金属材料。因钛合金具有密度小、比强度高、耐腐蚀性好、抗疲劳和蠕变性好等优异的性能,被誉为继钢铁、铝合金之后处于发展中的“第三金属”和“战略金属”[1]。目前,钛合金已在航空航天、船舶、石油化工、兵器、电子、医疗等军事工业及民用领域得到了广泛应用[2]。Ti-575 钛合金是一种新型高强度可锻造的α+β 型钛合金,名义成分为Ti-5.3Al-7.7V-0.5Si-0.25Fe-0.2O(质量分数),它含有比TC4 合金更多的钒元素,因而具备较高的钼当量(Moeq),可通过热处理提高其强度,在保持良好塑性和较低密度的情况下,Ti-575 合金拥有比TC4 合金更高的强度、更好的抗疲劳性能和优异的耐腐蚀性能[3-5],因此其在航空航天领域拥有极为广阔的应用前景。
在工业应用中,为了使钛合金零部件具备优良的综合力学性能,需要通过适当的热加工工艺获得理想的显微组织。钛合金在热加工时其微观组织对变形温度和应变速率等工艺参数极其敏感[6],因而有必要对钛合金的热变形行为做深入研究。Ti-575钛合金作为一种新型的α+β 型钛合金,目前国内外对其相关的研究和报道很少,因此探究其在热加工过程中的组织演变规律十分重要,能够对后续的大规模工厂化生产和工艺参数的调控起到指导作用并提供理论依据,进而获得质量稳定、性能优良的航空航天用结构件。
本文在Ti-575 钛合金热模拟压缩实验的基础上,分析不同热变形条件下真应力-应变曲线的变化趋势,探究了不同变形工艺参数对其微观组织的影响,分别描述了魏氏组织和双态组织Ti-575 钛合金在热变形下的演变规律,并构建了两种组织在α+β 相区的热变形本构方程,为之后Ti-575 钛合金的热加工工艺提供参考和理论依据。
实验用原材料为150 mm×90 mm×70 mm 的Ti-575 合金板材。其初始组织为等轴αp 相、粗片层α 相、βt 基体及基体中αs 片层组成的双态组织。经金相法测定,该批次Ti-575 合金的相变点约在(920±10)℃。初始组织如图1a 所示,经Image-Pro Plus 软件初步统计,等轴αp 相含量约占18.05%,平均直径在10.16 um 左右,微观组织分布均匀。从板材中切取数根12 mm×12 mm×150 mm 长方条,并将长方条放入940 ℃的箱式炉中,保温0.5 h 后随炉冷却至室温,以获得魏氏组织。再分别从原始板材和热处理后的长方条中机加工出若干根ϕ8 mm×12 mm圆柱体压缩试样。图1b 为经过热处理得到的Ti-575合金魏氏组织图。通过电镜图观察,在原始β 晶粒内有粗大的α 片层,且不同区域α 片层的取向不同进而形成不同的α 片层集束。在原始β 晶粒外存在粗大的晶界αGB 相。经Image-Pro Plus 软件初步统计,α 片层的平均宽度为3.41 μm 左右。
 
    图1 Ti-575 钛合金微观组织:(a)初始组织,(b)魏氏组织
Fig.1 Microstructure of Ti-575 titanium alloy:(a)initial structure,(b)lamellar structure
Ti-575 钛合金的热压缩试验在Gleeble 3500 型热力模拟试验机上进行,为了减少试样温度的不均匀性及其与压头之间的摩擦和粘连,在试样与压头之间放置石墨和钽片进行隔离和润滑处理。试样中部焊接热电偶用来检测和控制实验温度,误差不超过±1 ℃。整个压缩过程均在真空环境下进行,以防止试样被氧化,仪器的升温速率为10 ℃/s,加热至设定温度后保温5 min,然后进行热压缩实验,待实验完成后将试样水淬,以保留高温变形后的组织。将变形后的压缩试样沿轴向对半切开后进行机械研 磨、抛光,然后采用100 mL 的V(HF)∶V(HNO3)∶V(H2O)=1∶1∶8 腐蚀液侵蚀后,制成金相试样。在Tescan Clara GMH 扫描电子微观镜下对热压缩后的显微组织进行观察。
具体的实验方案设定如下:应变速率分别为0.001、0.01、0.1、1 s-1;热压缩的温度分别为830、860、890 ℃;变形程度为60%。
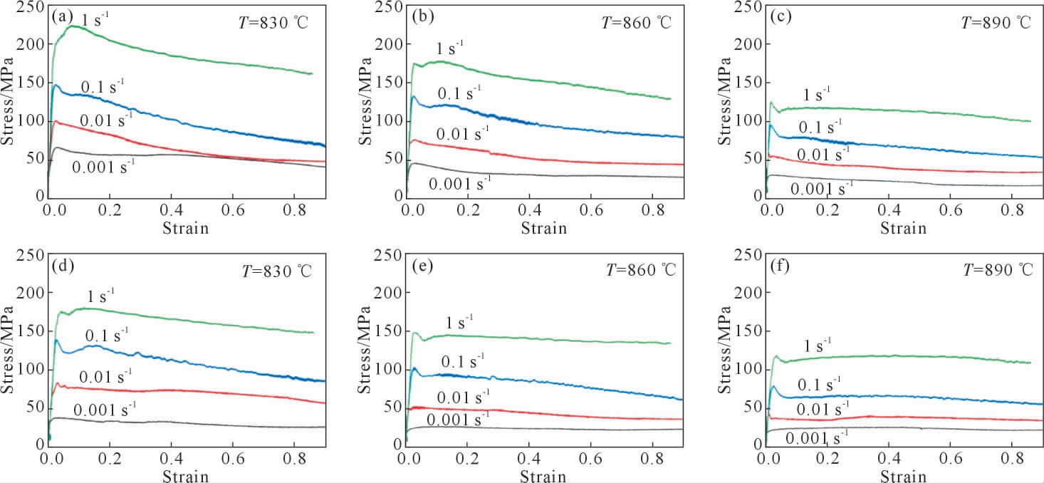
图2a~c 所示为变形量为60%的魏氏组织Ti-575 钛合金在不同热变形工艺参数下的真应力-应变曲线。观察曲线可知,在热变形的初始阶段,随着应变的逐渐增加,流变应力值迅速升高,出现了加工硬化现象[7]。流变曲线在达到峰值应力之后,流变应力值逐渐降低,呈现出明显的软化趋势,并最终趋于稳定,软化过程可能因动态再结晶或者动态回复所致。通过对比不同条件下的流变曲线可知,流变应力值随变形温度的升高而降低,随应变速率的升高而升高。通过观察曲线的变化趋势可以发现,随着变形温度的逐渐升高和应变速率的逐渐降低,试样进入稳态阶段所对应的应变在逐渐减小。从魏氏组织Ti-575 钛合金的流变曲线特征来看,当应变速率为0.1 和1 s-1 时,830、860 和890 ℃下的流变曲线都表现出较为明显尖锐的峰值应力降,即不连续屈服现象[8-9],且890 ℃下最为明显。相反,在较低的应变速率下(0.01 和0.001 s-1),流变曲线并没有表现出明显的不连续屈服现象,而是几乎保持平稳,特别是在较高变形温度下(860 和890 ℃),其软化程度也较小。
 
    图2 Ti-575 钛合金在不同热变形工艺条件下的真应力-应变曲线:(a)魏氏组织,830 ℃,(b)魏氏组织,860 ℃,(c)魏氏组织,890 ℃,(d)双态组织,830 ℃,(e)双态组织860,℃,(f)双态组织,890 ℃
Fig.2 Flow stress curves of Ti-575 titanium alloy at different temperatures and strain rates:(a)lamellar structure,830 ℃,(b)lamellar structure,860 ℃,(c)lamellar structure,890 ℃,(d)bimodalstructure,830℃,(e)bimodalstructure,860℃,(f)bimodalstructure,890 ℃
图2d~f 所示为变形量为60%的双态组织Ti-575 钛合金在不同热变形工艺参数条件下的真应力-应变曲线。与魏氏组织Ti-575 钛合金相比,双态组织Ti-575 钛合金在相同热变形参数下对应的流变应力均更小,证明魏氏组织的变形抗力更大。通过分析曲线可知,双态组织Ti-575 钛合金的流变曲线大致可分为两种类型:一种是在较低的应变速率下(0.01 和0.001 s-1),当流变曲线经过加工硬化阶段达到峰值应力后,通过软化机制随即进入稳态阶段,曲线整体较为平稳,软化程度较小;另一种类型是在较高的应变速率下(0.1 和1 s-1),当流变曲线达到峰值应力后出现了明显尖锐的峰值应力降,此现象发生在应变较小时,一般被称作不连续屈服现象[8-9],随即曲线进入软化阶段并最终达到稳态。另外在830 ℃的条件下,曲线在出现不连续屈服现象后,流变应力出现先增加后又降低的现象,此现象也在830 和860 ℃条件下的魏氏组织Ti-575 钛合金中出现过。排除仪器自身误差,推测此现象产生的原因是热压缩过程中加工硬化和动态软化的周期性交替和博弈。而不连续屈服现象产生的原因根据热压缩前初始组织的不同,查阅相关的文献可知,魏氏组织Ti-575 钛合金可能是动态再结晶,双态组织Ti-575 钛合金则为应力诱发产生的动态相变导致的应力降现象[10]。
金属材料的热变形是一个热激活过程[11],热变形表观激活能Q 反映金属材料热变形过程中位错运动、回复和动态再结晶等过程发展的难易程度,是描述金属材料热变形过程中的重要参数。Arrhenius方程被广泛地用于描述金属及合金高温变形时应变速率、温度和应力之间的关系[12-13]以及热变形过程中的流变行为[14-15]。为了对曲线进行直观的数学表达,根据热变形本构模型理论,基于真应力-应变曲线来建立魏氏组织和双态组织Ti-575 钛合金的热变形本构方程,用下式表示:
 
   根据应力水平的不同,可以分为以下3 种类型[16]:
 
   式中,Q 为热变形激活能;A、n1、β 和α 为材料常数,且α=β/n1[17];R 为摩尔气体常数;T 为变形温度;ε˙为应变速率。
对式(2~3)分别取自然对数得:
 
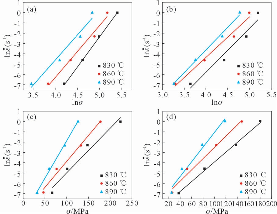
   利用Ti-575 钛合金流变曲线中峰值应力的数据,可以分别得到lnε˙-lnσ 和lnε˙-σ 的关系曲线,如图3 所示。可以看到,数据线性拟合程度和平行度比较好,可以用于本构模型的建立。通过线性拟合,求出魏氏组织n1=5.147 0,β=0.055;双态组织n1=4.201 9,β=0.057 8。根据α 与β 和n1 的关系,求出魏氏组织α=β/n1=0.010 7,双态组织α=β/n1=0.013 8。
 
    图3 lnε˙-lnσ 和lnε˙-σ 关系曲线:(a)魏氏组织lnε˙-lnσ,(b)双态组织lnε˙-lnσ,(c)魏氏组织lnε˙-σ,(d)双态组织lnε˙-σ
Fig.3 Relationship curves of lnε˙-lnσ and lnε˙-σ:(a)lamellar structure lnε˙-lnσ,(b)bimodal structure lnε˙-lnσ,(c)lamellar structure lnε˙-σ,(d)bimodal structure lnε˙-σ
对式(4)取自然对数得:
 
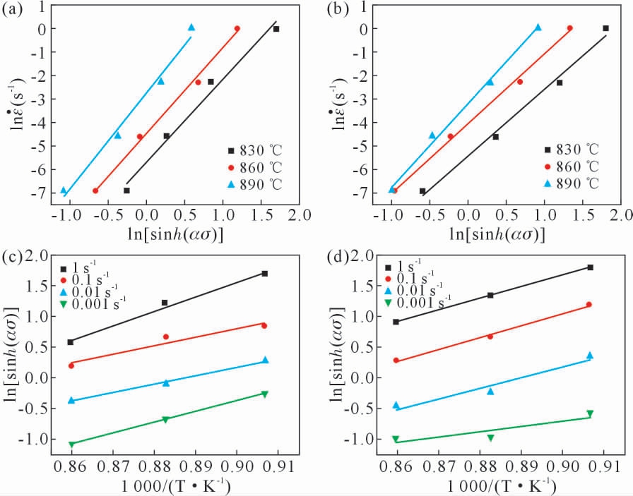
   在变形温度相同的条件下,利用求出的α 值对峰值应力值进行计算,求得ασ 的相关值,做出lnε˙-ln[sinh(ασ)]的关系曲线,线性拟合的斜率即为n,如图4a~b 所示,曲线线性度良好,求出魏氏组织n=3.743 4,双态组织n=3.112 1。
 
    图4 lnε˙-ln[sinh(ασ)]和ln[sinh(ασ)]-(1 000/T)关系曲线:(a)魏氏组织lnε˙-ln[sinh(ασ)],(b)双态组织lnε˙-ln[sinh(ασ)],(c)魏氏组织ln[sinh(ασ)]-(1 000/T),(d)双态组织ln[sinh(ασ)]-(1 000/T)
Fig.4 Relationship curves of lnε˙-ln[sinh(ασ)]and ln[sinh(ασ)]-(1 000/T):(a)lamellar structure lnε˙-ln[sinh(ασ)],(b)bimodal structure lnε˙-ln[sinh(ασ)],(c)lamellar structure ln[sinh(ασ)]-(1 000/T),(d)bimodal structure ln[sinh(ασ)]-(1 000/T)
随后在应变速率恒定不变的情况下对式(7)进行变换可得变形激活能Q 的数学表达式:
 
   据此,做出ln[sinh(ασ)]-(1 000/T)的关系曲线,如图4c~d 所示,曲线线性度良好,曲线的斜率k=Q/Rn,求出魏氏组织Q/Rn=17.283 0,双态组织Q/Rn=16.165 6。根据式(8)计算得到魏氏组织的变形激活能Q=537.892 4 kJ·mol-1,双态组织的变形激活能Q=418.268 7 kJ·mol-1。
另外,Zener 和Hollomon 提出了Z 参数(Zener-Hollomon)的概念,它的物理意义是“温度补偿的应变速率参数”[12-13],用来反映变形温度和应变速率在热变形过程中的综合作用,尤其是对热变形抗力的影响,其表达式为:
 
   结合式(4)的双曲正弦式,Z 参数还可以表达为:
 
   对式(10)取自然对数,可以得到:
 
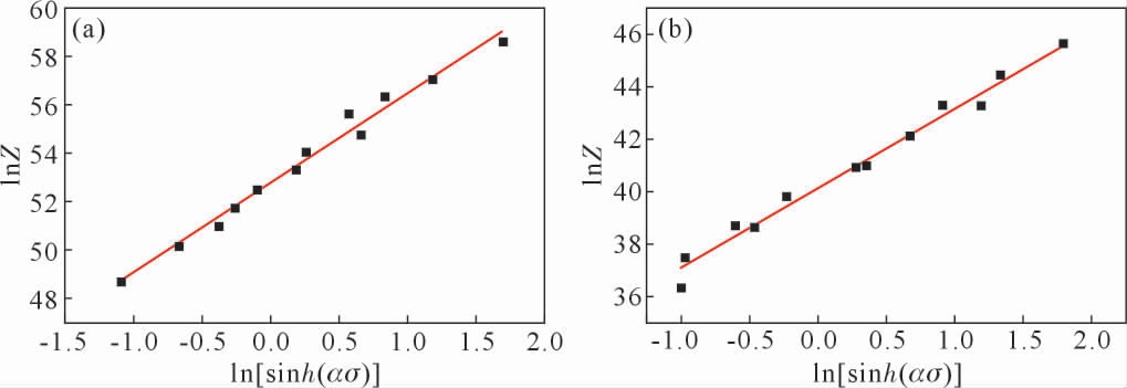
   利用求到的Q 值,以及对应的T 和ε˙,代入式(5)求出Z 值,进而得到lnZ 值,绘制出lnZ-ln[sinh(ασ)]的关系曲线,如图5 所示,求出曲线的斜率,即更为精确的n 值。最终得到的魏氏组织n 值为3.715 6,双态组织n 值为3.055 3。
 
    图5 lnZ-ln[sinh(ασ)]关系曲线:(a)魏氏组织lnZ-ln[sinh(ασ)],(b)双态组织lnZ-ln[sinh(ασ)]
Fig.5 Relationship curves of lnZ-ln[sinh(ασ)]:(a)lamellar structure lnZ-ln[sinh(ασ)],(b)bimodal structure lnZ-ln[sinh(ασ)]
由以上数据可知,魏氏组织Ti-575 钛合金在α+β相区的变形激活能Q 值远高于α-Ti 自扩散激活能169 kJ/mol 和β-Ti 自扩散激活能153 kJ/mol[18],推测其热变形过程中以动态再结晶机制为主,体现在流变曲线上则为逐渐下降的特征。而双态组织Ti-575 钛合金在α+β 相区的变形激活能明显低于魏氏组织Ti-575 钛合金的变形激活能,推测与其具有较多体积分数的等轴αp 有关,可以协调其变形。双态组织Ti-575 钛合金的Q 值较低,表明其抑制位错运动的能力较弱,推测其热变形过程中可能发生动态回复,体现在流变曲线上则较为平直。
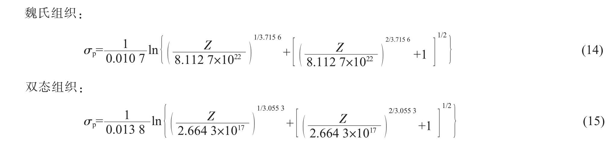
从图5 中可以看到,lnZ 和ln[sinh(ασ)]之间的线性关系比较良好,说明双曲正弦函数适用于魏氏组织和双态组织Ti-575 钛合金的热变形过程。图5中的直线,根据公式(7)可知,其截距对应lnA 值,且魏氏组织lnA=52.750 3,双态组织lnA=40.123 9。计算可得魏氏组织A=8.112 7×1022,双态组织A=2.664 3×1017。根据计算得到的Q、A、n 和α 值,可以得到魏氏组织和双态组织Ti-575 钛合金高温压缩变形的峰值应力本构方程:
魏氏组织:
 
   双态组织:
 
   同时,根据式(10)中Z 参数与峰值应力值σp 之间的关系,可将Ti-575 钛合金的高温变形峰值应力σp 表达为:
 
   魏氏组织Ti-575 钛合金在应变速率0.01 s-1,变形量为60%,不同温度下热变形后水冷的显微组织如图6 所示。可以看到,对比初始的魏氏组织,粗大的原始β 晶粒被压扁和破碎,并沿金属变形的流动方向被拉长,α 片层发生扭折和碎化,此过程中产生动态再结晶,在晶界上和晶粒内形成球状的α 晶粒,但再结晶晶粒十分细小。随着热压缩温度的升高,晶界αGB 相逐渐垂直于压缩轴方向,并平行于金属变形的流动方向。随着变形温度的升高,片层α相也逐渐沿变形方向排列。
 
    图6 魏氏组织Ti-575 钛合金在不同变形温度下的显微组织:(a)830 ℃,(b)860 ℃,(c)890 ℃
Fig.6 Lamellar microstructure of Ti-575 titanium alloy at different deformation temperatures:(a)830 ℃,(b)860 ℃,(c)890 ℃
通过观察不同温度下魏氏组织Ti-575 合金热压缩时的显微组织可知,当变形温度较低时,α 片层无法充分扭折碎化。当变形温度逐渐升高时,在热力耦合作用下部分片层α 相发生相变,组织内残余的α 片层越来越少,α 相的体积分数也逐渐减小,与此同时再结晶晶粒的数量和尺寸要比830 ℃时的大。综上可知,随着变形温度的升高,动态再结晶的程度越来越大,组织逐渐趋于等轴化。部分片层α相相变后水淬变成βt 基体,基体内部析出有针状马氏体或细小的次生α 片层。
双态组织Ti-575 钛合金在应变速率0.01 s-1,变形量为60%,不同温度下热变形后水冷的显微组织如图7 所示。可以看到,对比初始的双态组织,等轴αp 相体积分数和尺寸随着变形温度的升高而逐渐降低。在830 ℃下热压缩时,显微组织中仍然残留部分粗片层α 相没有发生相变,且βt 基体中析出大量硅化物[19],证明双态组织Ti-575 合金在较低温度下变形时会有硅化物析出。在860 和890 ℃下热压缩时,初始组织中的粗片层α 相发生相变,后经冷却转变为βt 基体,βt 基体中拥有大量细小的次生α片层。推测原因,在热力耦合条件下,Ti-575 合金中的合金元素发生扩散造成局部区域的β 稳定化元素偏聚从而导致相变点降低,即发生α→β 的动态相变[20]。
 
    图7 双态组织Ti-575 钛合金在不同变形温度下的显微组织:(a)830 ℃,(b)860 ℃,(c)890 ℃
Fig.7 Bimodal microstructure of Ti-575 titanium alloy at different deformation temperatures:(a)830 ℃,(b)860 ℃,(c)890 ℃
图8 显示了魏氏组织Ti-575 钛合金在变形温度860 ℃,变形量为60%,不同应变速率下进行热变形后水冷的显微组织。可以看到,组织中存在着破碎的α 片层组织,也分布有大量细小的等轴α 晶粒,产生了动态再结晶。随着应变速率的逐渐降低,动态再结晶晶粒的尺寸越来越大。反之,随着应变速率的增加,动态再结晶晶粒的尺寸越来越小。这是由于当应变速率较高时,合金完成相同变形量的时间变短,抑制了晶界迁移的过程,大量的动态再结晶晶粒来不及长大,最终组织呈现出动态再结晶新晶核数量众多,但晶粒尺寸细小的特征。而当应变速率较低时,再结晶晶粒可以进行充分的形核长大,因此再结晶晶粒的尺寸较大。综上所述,动态再结晶的程度随着应变速率的降低而增大,当动态再结晶程度较低时,合金内部的组织整体不均匀,存在较多的残余αGB 相和片层α 相,流变应力达到稳定状态所需的应变增大,这与流变曲线所反映出来的特征完全一致。
 
    图8 魏氏组织Ti-575 钛合金在不同应变速率下的显微组织:(a)0.001 s-1,(b)0.01 s-1,(c)0.1 s-1,(d)1 s-1
Fig.8 Lamellar microstructure of Ti-575 titanium alloy at different strain rates:(a)0.001 s-1,(b)0.01 s-1,(c)0.1 s-1,(d)1 s-1
图9 显示了双态组织Ti-575 钛合金在变形温度860 ℃,变形量为60%,不同应变速率下进行热变形后水冷的显微组织。可以看到,与初始的双态组织相比,等轴αp 相体积分数随着应变速率的降低先减少后增加。在1 s-1 的应变速率下热压缩时,显微组织中残留少量的粗片层α 相没有发生相变,且βt基体中析出部分硅化物[19],证明双态组织Ti-575 钛合金在较大的应变速率下变形时会有硅化物析出。在0.1 和0.01 s-1 的应变速率下热压缩时,初始组织中的粗片层α 相发生相变,后经冷却转变为βt 基体,βt 基体中拥有大量细小的次生α 片层。推测其原因,在应变速率较低时,合金元素充分发生扩散,诱发α→β 的动态相变。
 
    图9 双态组织Ti-575 钛合金在不同应变速率下的显微组织:(a)0.001 s-1,(b)0.01 s-1,(c)0.1 s-1,(d)1 s-1
Fig.9 Bimodal microstructure of Ti-575 titanium alloy at different strain rates:(a)0.001 s-1,(b)0.01 s-1,(c)0.1 s-1,(d)1 s-1
综上所述,通过对魏氏组织和双态组织Ti-575钛合金在不同热变形条件下的微观组织演变进行对比,可以发现魏氏组织在热压缩的过程中发生了动态再结晶,产生了大量的再结晶晶粒,组织得到细化。考虑到工厂中钛合金原始铸锭的初始组织形态为粗大的魏氏组织,因此本文中对魏氏组织Ti-575钛合金的热模拟压缩实验有较强的指导意义。工厂可通过锻造或轧制魏氏组织Ti-575 钛合金并结合后续的热处理制度获得能够兼顾强-塑-韧性能匹配的双态乃至三态组织。
(1)由热模拟压缩实验获得的2 种组织Ti-575钛合金真应力-应变曲线可知,流变应力值随着变形温度的升高而降低,随着应变速率的升高而升高。当应变速率为0.1 s-1 及以上时,随着变形温度的升高流变曲线出现了不连续屈服现象,且在890 ℃下最为明显。当应变速率为0.1 s-1 以下时,流变曲线并没有表现出明显的不连续屈服现象。
(2)根据魏氏组织和双态组织Ti-575 钛合金流变曲线的峰值应力,分别计算出其在α+β 相区的变形激活能为537.892 4 和418.268 7 kJ·mol-1,并分别构建了两种组织在α+β 相区的热变形本构方程。
(3)在不同的热变形条件下,随着变形温度的升高,魏氏组织Ti-575 钛合金动态再结晶的程度越来越大,组织逐渐趋于等轴化,而双态组织Ti-575 钛合金等轴αp 相体积分数和尺寸逐渐降低;随着应变速率的降低,魏氏组织Ti-575 钛合金动态再结晶晶粒的尺寸越来越大,动态再结晶的程度也逐渐增大,而双态组织Ti-575 钛合金等轴αp 相体积分数先减少后增加。
(4)双态组织Ti-575 钛合金在830 ℃或1 s-1 应变速率下热压缩时,显微组织中残留部分粗片层α 相没有发生相变,βt 基体中会有硅化物析出。
[1] 刘奇先,刘杨,高凯.钛合金的研究进展与应用[J].航天制造技术,2011(4):45-48,55.LIU Q X,LIU Y,GAO K.Research progress and application of titanium alloys[J].Aerospace Manufacturing Technology,2011(4):45-48,55.
[2] 訾群.钛合金研究新进展及应用现状[J].钛工业进展,2008,25(2):23-27.ZI Q.New development of titanium alloy and its application actuality[J].Titanium Industry Progress,2008,25(2):23-27.
[3] THOMAS M,HEWITT J,BACHE M,et al.Determination and analysis of the cyclic and dwell fatigue performance of TIMETAL®575 [A].Proceedings of the 13th World Conference on Titanium[C].America:The Minerals,Metals &Materials Society,2016.979-984.
[4] THOMAS M,HEWITT J,BACHE M,et al.TIMETAL® 575: A novel high strength forgeable α/β titanium alloy[A].Proceedings of the 13th World Conference on Titanium [C].America:The Minerals,Metals&Materials Society,2016.1537-1541.
[5] ANDRIEU S,VON THÜNGEN I,LENAIN A,et al.Ti575:A new Timet alloy for structural parts in aeronautics[A].Proceedings of the 13th World conference on titanium[C].America: The Minerals,Metals&Materials Society,2016.1543-1546.
[6] LUO J,LI M Q,LI H,et al.Effect of the strain on the deformation behavior of isothermally compressed Ti-6Al-4V alloy[J].Materials Science and Engineering:A,2009,505(1-2):88-95.
[7] 王小芳,陈明和,陈伟,等.TC4-DT 钛合金高温热变形行为研究[J].航空材料学报,2012,32(1):30-34.WANG X F,CHEN M H,CHEN W,et al.Study on hot deformation behavior of TC4-DT titanium alloy at high temperature[J].Journal of Aeronautical Materials,2012,32(1):30-34.
[8] ZHANG X Y,LI M Q,LI H,et al.Deformation behavior in isothermal compression of the TC11 titanium alloy[J].Materials&Design,2010,31(6):2851-2857.
[9] ZONG Y Y,SHAN D B,XU M,et al.Flow softening and microstructural evolution of TC11 titanium alloy during hot deformation[J].Journal of Materials Processing Technology,2009,209(4):1988-1994.
[10] JING L,FU R D,WANG Y P,et al.Discontinuous yielding behavior and microstructure evolution during hot deformation of TC11 alloy[J].Materials Science and Engineering: A,2017,704:434-439.
[11] 罗子健,杨旗,姬婉华.考虑变形热效应的本构关系建立方法[J].中国有色金属学报,2000,10(6):804-808.LUO Z J,YANG Q,JI W H.New method toestablish constitutive relationship considering effect of deformation heating[J].The Chinese Journal of Nonferrous Metals,2000,10(6):804-808.
[12] SELLARS C M,TEGART W J.On the mechanism of hot deformation[J].Acta Metallurgica,1966,14:1136-1138.
[13] JONAS J J,SOMANI M C,MC TEGART W J.Strength and structure under hot-working conditions[J].Metallurgical Reviews,1969,14:1-24.
[14] HAN Y,LIU G W,ZOU D N,et al.Deformation behavior and microstructural evolution of as-cast 904L austenitic stainless steel during hot compression[J].Materials Science and Engineering:A,2013,565:342-350.
[15] XIA L L,XU Y,EL-ATY A A,et al.Deformation characteristics in hydro-mechanical forming process of thin-walled hollow component with large deformation: Experimentation and finite element modeling[J].The International Journal of Advanced Manufacturing Technology,2019,104:4705-4714.
[16] SALEHI A R,SERAJZADEH S,YAZDIPOUR N.A study on flow behavior of A-286 super alloy during hot deformation[J].Materials Chemistry and Physics,2007,101:153-157.
[17] 郑漫庆,王高潮,喻淼真,等.应变速率循环法构建TC4-DT 钛合金本构方程[J].材料工程,2014(8):32-35.ZHENG M Q,WANG G C,YU M Z,et al.Superplastic constitutive relationship of TC4-DTtitanium alloy with strain rate circulation method[J].Journal of Materials Engineering,2014(8):32-35.
[18] WANG L,LI W,LUAN S Y,et al.Study on hot deformation behavior of as-cast Ti-5A1-5Mo-5V-1Cr-1Fe titanium alloy in(α+β)phase region[J].Materials Today Communications,2023,35:105797.
[19] WU Z H,KOU H C,LI J S,et al.Crack initiation mechanism of a silicide-containing high-strength Ti-5Al-7.5V alloy under low-cycle fatigue loading[J].Materials Science and Engineering:A,2023,865:144654.
[20] LI K,YANG P.Strain-induced α-to-β phase transformation during hot compression in Ti-5Al-5Mo-5V-1Cr-1Fe alloy[J].Transactions of Nonferrous Metals Society of China,2019,29(2):296-304.
Thermal Deformation Behavior and Microstructure Evolution of a Ti-575 Titanium Alloy
LIU K H,TANG B,LIU Y X,et al.Thermal deformation behavior and microstructure evolution of a Ti-575 titanium alloy[J].Foundry Technology,2023,44(10):909-916.