锆基非晶合金及其复合材料的非等温晶化动力学行为

张 震1,2,王金贺2,李正坤3,付华萌2,杨红旺1,李 宏3,朱正旺3,张海峰3

(1.沈阳工业大学材料科学与工程学院,辽宁沈阳 110870;2.中国科学院金属研究所师昌绪先进材料创新中心,辽宁沈阳 110016;3.东北大学冶金学院,辽宁沈阳 110004)

摘 要:非晶合金及其复合材料受热时容易发生晶化转变,这显著影响其力学性能。 因此需要对非晶合金及其复合材料晶化动力学行为进行研究,明确材料应用环境,并对材料应用过程中的组织状态进行定量分析,这对材料工程应用具有重要意义。 本文采用差示扫描量热法研究(Zr40.08Ti13.30Cu11.84Ni10.07Be24.71)99Nb1 非晶合金及W/(Zr40.08Ti13.30Cu11.84Ni10.07Be24.71)99Nb1 非晶复合材料的非等温晶化动力学行为。 结果显示,随着加热速率的增大,锆基非晶合金及其复合材料的Tg、Tx1、Tp1、Tx2 和Tp2 均向高温方向移动、过冷液相区ΔT 不断加宽,二者的晶化转变和玻璃化转变均具有明显的动力学效应。分别采用Kissinger 方程和Ozawa 方程计算锆基非晶合金及其复合材料的激活能,两种方法计算的激活能数值的变化规律一致,但Ozawa 方程计算的激活能数值更大。 通过对比锆基非晶合金及其复合材料的激活能数值,可以得出非晶复合材料的抗晶化能力更高、热稳定性更强,并且根据Avrami 指数n(x)可以得出非晶合金及其复合材料的晶化过程均由三维扩散长大模式进行。

关键词:锆基非晶合金;非晶复合材料;非等温晶化;玻璃化转变;Avrami 指数

自20 世纪60 年代非晶合金问世以来,人们就对其产生了浓厚的兴趣。 随着研究的深入,逐渐开发出了Zr 基、Fe 基、Cu 基、Ni 基、Nb 基等体系非晶合金[1]。 由于非晶具有独特的结构,其具备了很多优于晶态合金的性能,并且很多体系已制备出厘米级的非晶合金,甚至有的体系能制备出接近分米级的非晶合金,这为其在工程上的应用提供了可能。 其中,Zr 基非晶合金制备方法简单,非晶形成能力高,能通过传统的制造工艺就能制备出性能优异的样品或者产品, 故对Zr 基非晶合金的研究最为广泛。非晶合金相比于对应的晶态合金,能量上处于更活跃的状态即处于亚稳态。 当非晶合金承受加热或者辐射时极易出现结构弛豫和晶化现象,将使其力学性能发生很大的改变,在工程上的应用存在着极大的隐患, 所以防止非晶合金晶化就成了当务之急,因此对非晶合金及其复合材料的晶化动力学行为的研究在工程上有很大的意义[2]

非晶合金晶化动力学的研究方法主要有两种:①等温晶化动力学;②非等温晶化动力学。 等温晶化动力学通常采用比较统一的Johnson-Mehl-Avrami方程(JMA 方程)和Arrhenius 方程进行分析计算。非等温晶化动力学目前还没有统一的计算方法,但比较常用的分析方法有Kissinger 方法、Ozawa 方法等。 非等温晶化动力学与等温晶化动力学相比有很多显著的优势, 其中最为显著的优势为从1 条热分析曲线就能获得相关的动力学数据,同时可以在整个温度范围内连续测定其晶化动力学[3]

本文通过研究非晶合金及其复合材料非等温晶化动力学行为,评价非晶合金及其复合材料的热稳定性和抗晶化能力, 为非晶材料的工程化应用提供坚实的理论基础和实验依据。 利用差示扫描量仪(differential scanning calorimetry, DSC)对(Zr40.08Ti13.30Cu11.84Ni10.07Be24.71)99Nb1 非晶合金及其W/(Zr40.08Ti13.30Cu11.84Ni10.07Be24.71)99Nb1 非晶复合材料进行非等温晶化动力学研究, 分析二者的晶化机制和扩散长大原理。

1 实验材料及方法

按照(Zr40.08Ti13.30Cu11.84Ni10.07Be24.71)99Nb1 名义成分(按原子百分比计), 称取Zr、Ti、Ni、Cu、Be 和Nb 金属(纯度高于99.9%),然后用无水乙醇对纯金属进行超声波清洗以去除其表面的油污, 采用非自耗真空电弧熔炼法在高纯氩气保护气氛下制备母合金锭,采用铜模喷铸法制备直径2 mm 的合金棒[4],并记为Nb1。 通过熔体浸渗法将钨丝与Nb1 合金复合得到W/Nb1 非晶复合材料。 对Nb1 非晶合金和W/Nb1非晶复合材料分别取样, 使用X 射线衍射仪(XRD)分析合金的结构和相组成, 设备为Rigaku D/max 2400 衍射仪,扫描速度为4 (°)/min;使用差示扫描量热仪进行热力学特征分析, 设备为Netzsch DSC 204F1,加热速率分别为5、10、20 和40 K/min[5]

2 实验结果与分析

2.1 Nb1 非晶合金及其复合材料的晶化和玻璃化转变

图1(a)为Nb1 非晶合金的XRD 曲线图,图1(b)为W/Nb1 非晶复合材料的XRD 曲线图。 在Nb1 非晶合金XRD 图中可以看到没有明锐的衍射峰,在37°左右有一个明显的漫散射峰, 说明Nb1 非晶合金为完全的非晶态; 在W/Nb1 非晶复合材料的XRD曲线图可以看到明锐的衍射峰,标定为W 增强相[6]

图1 Nb1 非晶合金和W/Nb1 非晶复合材料的XRD 图谱:(a)Nb1 非晶合金,(b)W/Nb1 非晶复合材料
Fig.1 XRD patterns of Nb1 amorphous alloy and W/Nb1 amorphous composites:(a)Nb1 amorphous alloy,(b)W/Nb1 amorphous composites

图2(a~b)分别为Nb1 非晶合金和W/Nb1 非晶复合材料分别在5、10、20 和40 K/min 时的DSC 曲线图。图中的每一条DSC 曲线中均存在两个明显的放热峰, 对应着Nb1 非晶合金和W/Nb1 非晶复合材料各自的两个晶化过程, 表明Nb1 非晶合金和W/Nb1 非晶复合材料均为多级晶化[7]。 从图2(a~b)均可以看出,随着加热速率的增大第一级晶化峰和第二级晶化峰的位置均向更高温度方向移动,同时各个特征温度也向高温方向移动,过冷液相区逐渐加宽, 这说明Nb1 非晶合金和W/Nb1 非晶复合材料的玻璃转化和晶化转变均是一种对温度具有依赖性的动力学行为[8]

图2 Nb1 非晶合金和W/Nb1 非晶复合材料在不同加热速率下的DSC 曲线:(a)Nb1 非晶合金,(b)W/Nb1 非晶复合材料
Fig.2 DSC curves of the Nb1 amorphous alloy and W/Nb1 amorphous composites under different heating rates:(a)Nb1 amorphous alloy,(b)W/Nb1 amorphous composites

表1~2 分别为Nb1 非晶合金和W/Nb1 非晶复合材料的各个特征温度的具体数值,ΔT(即Tx1-Tg)表示过冷液相区。 Nb1 非晶合金的ΔT 为45.9~67.0 K;W/Nb1 非晶复合材料的ΔT 为51.2~52.7 K。 说明Nb1 非晶合金比W/Nb1 非晶复合材料的玻璃形成能力要强,并且加热速率对Nb1 非晶合金的玻璃形成能力的影响更大[9]

表1 Nb1非晶合金的特征温度
Tab.1 The characteristic temperatures of the Nb1 amorphous alloy

b/(K·min-1) Tg/K Tx1/K Tp1/K Tx2/K Tp2/K ΔT/K 5 647.7 693.6 708.5 722.8 726.7 45.9 10 655.1 708.5 720.3 730.1 735.7 53.4 20 663.9 722.6 734.7 744.1 749.1 58.7 40 671.3 738.3 761.8 762.2 765.7 67.0

表2 W/Nb1 非晶复合材料的特征温度
Tab.2 The characteristic temperatures of W/Nb1 amorphous composites

b/(K·min-1) Tg/K Tx1/K Tp1/K Tx2/K Tp2/K ΔT/K 5 610.5 661.7 683.5 714.7 725.1 51.2 10 620.4 671.8 693.3 721.8 731.4 51.4 20 627.2 679.2 703.5 729.4 741.1 52.0 40 638.6 691.3 716.7 744.1 756.1 52.7

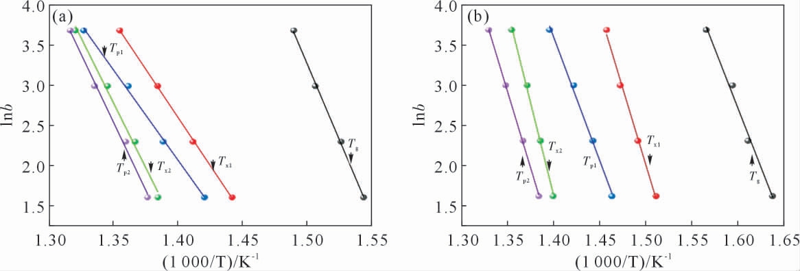
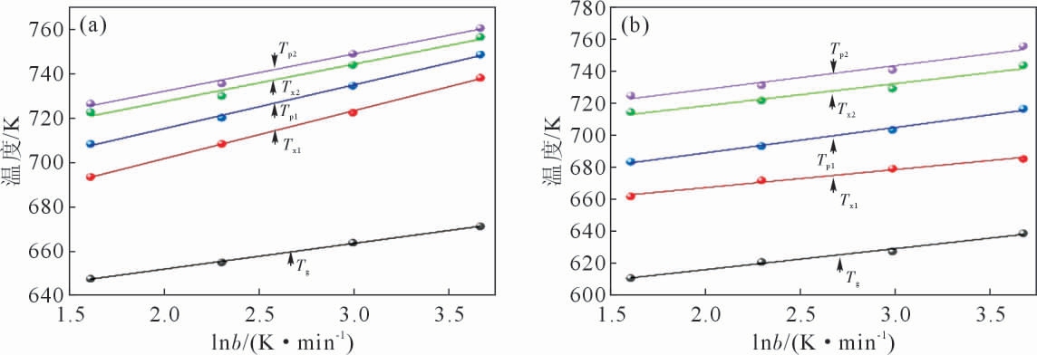
图3(a~b)分别为Nb1 非晶合金和W/Nb1 非晶复合材料的Tg、Tx1、Tp1、Tx2 和Tp2 与lnb(b 为加热速率)关系曲线。 从图3 可以看出,Tg、Tx1、Tp1、Tx2 和Tp2 与lnb 均成很好的线性关系。可以用最小二乘法拟合出直线方程,其表达式为:

图3 Nb1 非晶合金和W/Nb1 非晶复合材料的特征温度与lnb 的关系图:(a)Nb1 非晶合金,(b)W/Nb1 非晶复合材料
Fig.3 The relationship between the characteristic temperature and lnb of the Nb1 amorphous alloy and W/Nb1 amorphous composites:(a)Nb1 amorphous alloy,(b)W/Nb1 amorphous composites

式中,T 为特征温度,K;AT 和BT 为与T 相关的 系数,b 为加热速率,K/min。表3 分别列出了Nb1 非晶合金和W/Nb1 非晶复合材料各个特征温度所对应的AT 和BT 值。

表3 Nb1 非晶合金和W/Nb1 非晶复合材料的AT 和BT
Tab.3 AT and BT values of the Nb1 amorphous alloy and W/Nb1 amorphous composites

合金种类 参数 Tg Tx1 Tp1 Tx2 Tp2 Nb1 AT 628.9 658.7 676.0 693.9 698.7 BT 11.6 21.6 19.7 16.8 16.8 W/Nb1 AT 589.5 644.6 657.3 690.9 699.2 BT 13.1 11.3 15.8 13.8 14.8

从图3 和表3 可以看出加热速率对Nb1 非晶合金和W/Nb1 非晶复合材料晶化的影响要比其对玻璃化转变的大,即晶化动力学效应较玻璃化转变更为显著。 并且Nb1 非晶合金和W/Nb1 非晶复合材料的AT 和BT 值的变化有所不同,总的来说,Nb1非晶合金的晶化及其玻璃化转变要比W/Nb1 非晶复合材料更明显[10]

2.2 Nb1 非晶合金及其复合材料的晶化激活能

Nb1 非晶合金和W/Nb1 非晶复合材料在能量上处于亚稳状态,所以当承受加热或者辐射时,有向晶态转变的趋势,即发生晶化。 Kissinger 方程[11]和Ozawa方程[12]是目前用来研究非晶合金及其非晶复合材料晶化行为最常用的两种方法,其表达式分别为:

式中,T 为各个特征温度,K;R 为理想气体常数;C为常数;E 为激活能,kJ·mol-1。 根据Kissinger 方程分别做出Nb1 非晶合金和W/Nb1 非晶复合材料的ln(T2/b)~1 000/T 的关系图如图4;再根据Ozawa 方程分别做出Nb1 非晶合金和W/Nb1 非晶复合材料的lnb~1 000/T 的关系图如图5。

图4 Nb1 非晶合金和W/Nb1 非晶复合材料的Kissinger 关系图:(a)Nb1 非晶合金,(b)W/Nb1 非晶复合材料
Fig.4 Kissinger diagram of the Nb1 amorphous alloy and W/Nb1 amorphous composites:(a)Nb1 amorphous alloy,(b)W/Nb1 amorphous composites

图5 Nb1 非晶合金和W/Nb1 非晶复合材料的Ozawa 关系图:(a)Nb1 非晶合金,(b)W/Nb1 非晶复合材料
Fig.5 Ozawa diagram of Nb1 amorphous alloy and W/Nb1 amorphous composites:(a)Nb1 amorphous alloy,(b)W/Nb1 amorphous composites

由图4~5 可以得出ln(T2/b)~1 000/T、lnb~1 000/T均成线性关系, 可用最小二乘法拟合求出其斜率即可得出激活能E,具体数值(玻璃转变激活能Eg、第一级晶化起始激活能Ex1、第一级晶化峰激活能Ep1、第二级晶化起始激活能Ex2 和第二级晶化峰激活能Ep2)表示在表4~5 中。

表4 Kissinger 方程求得的激活能
Tab.4 Activation energy obtained by the Kissinger equation

合金 E/(kJ·mol-1)Eg Ex1 Ep1 Ex2 Ep2 Nb1 303.4 187.2 186.9 216.6 223.8 W/Nb1 234.6 308.1 242.6 384.4 296.1

表5 Ozawa 方程求得的激活能
Tab.5 Activation energy obtained by the Ozawa equation

合金 E/(kJ·mol-1)Eg Ex1 Ep1 Ex2 Ep2 Nb1 298.9 189.9 177.2 254.5 266.8 W/Nb1 233.1 301.2 243.5 364.4 300.3

表观激活能代表原子间的相互作用, 当激活能越大时,原子间的相互作用越强,即结晶过程中需要克服的能垒越高,说明热稳定性越好[13]。从表4~5 可知,Kissinger 方程和Ozawa 方程得出的Nb1 非晶合金和W/Nb1 非晶复合材料的各个激活能数值均较高, 说明Nb1 非晶合金和W/Nb1 非晶复合材料的热稳定性均较好。Nb1 非晶合金的Eg 要大于其他激活能,这表明从固态到过冷态的原子扩散要比在过冷态下的原子晶化困难的多,因此需要跨越更大的能量壁垒。

2.3 Nb1 非晶合金及其复合材料的晶化体积分数

图6~7 分别为Nb1 非晶合金和W/Nb1 非晶复合材料的第一级晶化峰、第二级晶化峰在不同升温速度下晶化体积分数x 随温度的变化图, 其表达式为:

图6 Nb1 非晶合金和W/Nb1 非晶复合材料的第一级晶化峰体积分数图:(a)Nb1 非晶合金,(b)W/Nb1 非晶复合材料
Fig.6 The first crystallization peak volume fraction diagram of the Nb1 amorphous alloy and W/Nb1 amorphous composites:(a)Nb1 amorphous alloy,(b)W/Nb1 amorphous composites

图7 Nb1 非晶合金和W/Nb1 非晶复合材料的第二级晶化峰体积分数图:(a)Nb1 非晶合金,(b)W/Nb1 非晶复合材料
Fig.7 The second crystallization peak volume fraction of Nb1 amorphous alloy W/Nb1 amorphous composites:(a)Nb1 amorphous alloy,(b)W/Nb1 amorphous composites

式中,A(T)为温度为T 时DSC 曲线上的晶化峰的面积;A为整个晶化峰的面积。

从图6~7 可以看出, 在所有的加热速率下,随着温度的升高,Nb1 非晶合金和W/Nb1 非晶复合材料的晶化体积分数曲线均呈“S 型”特征[14]。 在任意的加热速率条件下,起始和结束阶段时的晶化速率较小, 在晶化体积分数10%~90%之间晶化速率较大。 在起始阶段,由于其形核速率小导致晶化速率小;当温度继续升高时,原子吸收的能量足以克服能量壁垒带来的障碍时将会产生大量的晶核,所以晶化速率增大;在最后阶段,由于择优形核位置导致晶化速率减小。

在Nb1 非晶合金和W/Nb1 非晶复合材料相同的加热速率曲线可以得出,W/Nb1 非晶复合材料的晶化曲线的斜率要小于Nb1 非晶合金的晶化曲线的斜率, 即在相同的加热速率下W/Nb1 非晶复合材料的晶化速率要小于Nb1 非晶合金。 这是因为在相同的加热速率下,W/Nb1 非晶复合材料内的金属原子吸收和Nb1 非晶合金内的金属原子相同的热量所需的时间更长,从而导致复合材料内的原子扩散形核的速度缓慢即晶化缓慢,所以其抗晶化能力更强[15]

2.4 Nb1 非晶合金及其复合材料的晶化机制

JMA 方程中的Avrami 指数n 可以用来表征晶化过程中的形核及核长大行为和晶化机制。 Lu 等[16]在之前的基础上进行推导出可适用于非等温晶化的Avrami 指数n(x)表达式(式(5)):

式中,Ec(x)是晶化体积分数x 时的激活能。 结合式5、图8~9 可以得出在不同的扫描速度下n 值并不是一成不变的, 表明在不同阶段的结晶行为具有不同的机制。n(x)表示晶化机制n 值随着晶化体积分数x的变化趋势,即晶化过程中不同阶段的机制,凸现了晶化过程中动力学特征与变化。 图8~9 为ln[-ln(1-x)]与1 000/T 的关系图,图10~11 为n(x)与x 的关系图。 表6~7 为非晶合金和复合材料第一阶段和第二阶段的Avrami 指数n(x)的变化,表8 为n(x)值对应的形核长大方式。

表6 非晶合金和复合材料第一阶段的Avrami指数n(x)的变化
Tab.6 Variation in the Avrami exponent n(x) of amorphous alloys and composites in the first stage

加热速率 5 K/min 10 K/min 20 K/min 40 K/min Nb1 2.35→1.95 2.54→2.89 2.97→2.44 3.86→3.03复合材料 4.21→4.77 3.43→3.89 3.47→4.05 2.54→2.87

表7 非晶合金和复合材料第二阶段的Avrami 指数n(x)的变化
Tab.7 Variation in the Avrami exponent n(x) of amorphous alloys and composites in the second stage

加热速率 5 K/min 10 K/min 20 K/min 40 K/min Nb1 2.85→2.45 3.98→3.39 3.47→2.94 4.36→3.53复合材料 2.79→2.70 3.16→3.02 3.64→3.50 3.40→3.20

表8 n(x)值对应的形核长大方式
Tab.8 Nucleation and growth mode corresponding to the n(x) value

形核长大方式 n(x)形核速率不断增加 >2.5形核速率不变 2.5形核速率降低 1.5~2.5 0 形核速率 1.5

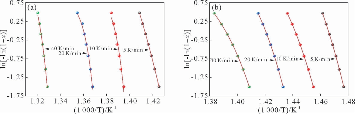
图8 Nb1 非晶合金和W/Nb1 非晶复合材料的第一级晶化峰的ln[-ln(1-x)]与1 000/T 的关系图:(a)Nb1 非晶合金,(b)W/Nb1 非晶复合材料
Fig.8 The relationship between ln[-ln(1-x)]and 1 000/T of the first crystallization peak of the Nb1 amorphous alloy and W/Nb1 amorphous composites:(a)Nb1 amorphous alloy,(b)W/Nb1 amorphous composites

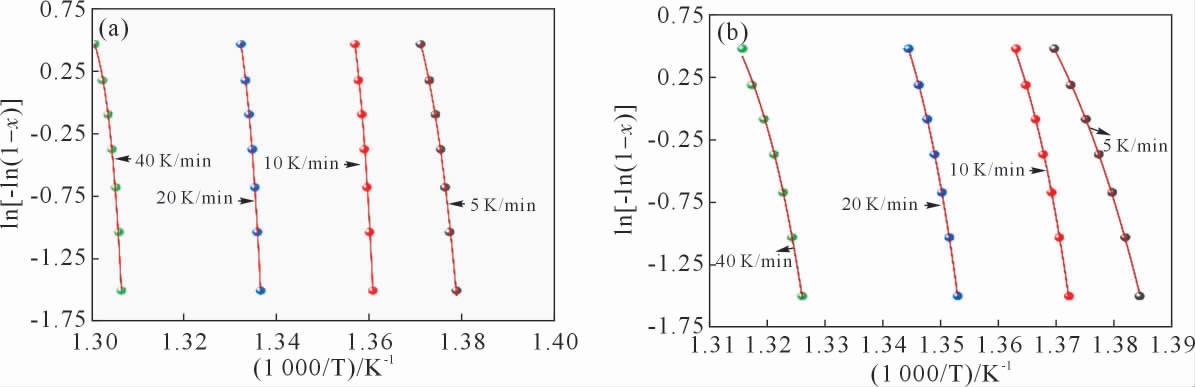
图9 Nb1 非晶合金和W/Nb1 非晶复合材料的第二级晶化峰的ln[-ln(1-x)]与1000/T 的关系图:(a)Nb1 非晶合金,(b)W/Nb1 非晶复合材料
Fig.9 The relationship between ln[-ln(1-x)]and 1000/T of the second crystallization peak of the Nb1 amorphous alloy and W/Nb1 amorphous composites:(a)Nb1 amorphous alloy,(b)W/Nb1 amorphous composites

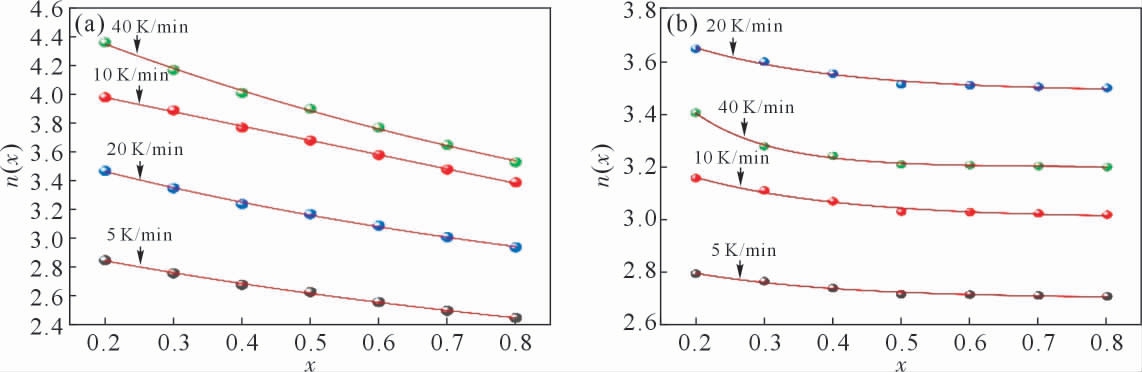
图10 Nb1 非晶合金和W/Nb1 非晶复合材料的第一级晶化峰的n(x)与x 的关系图:(a)Nb1 非晶合金,(b)W/Nb1 非晶复合材料
Fig.10 The relationship between n(x)and x of the first crystallization peak of the Nb1 amorphous alloy and W/Nb1 amorphous composites:(a)Nb1 amorphous alloy,(b)W/Nb1 amorphous composites

根据图10、表6 和表8 可以得出Nb1 非晶合金的第一级晶化在不同升温速度下n(x)的变化规律是一样的, 都是随着晶化体积分数x 的增大而不断减小[17]。 Nb1 非晶合金在5 K/min 的升温速度下,是以一个形核速率不断降低的三维扩散长大模式进行;Nb1 非晶合金在10 和40 K/min 的升温速度下,均以一个形核速率不断增加的三维扩散长大模式进行;Nb1 非晶合金在20 K/min 的升温速度下, 在晶化体积分数为0.20~0.73 时, 以一个形核速率不断增加的三维扩散长大模式进行, 在晶化体积分数0.73 时以一个形核速率不变的三维扩散长大模式进行,在晶化体积分数为0.73~0.80 时,以一个形核速率不断减小的三维扩散长大模式进行[18]。 而W/Nb1非晶复合材料的第一级晶化在不同升温速度下n(x)的变化规律也是一样的, 均为随着晶化体积分数x的增大而不断增加。 W/Nb1 非晶复合材料在5、10、20 和40 K/min 的升温速度下, 均以一个形核速率不断增加的三维扩散长大模式进行[19]

由图11、 表7~8 可以得出,Nb1 非晶合金和W/Nb1 非晶复合材料的第二级晶化在不同升温速度下的n(x)的变化规律是一样的,均为随着晶化体积分数x 的增大而不断减小。 Nb1 非晶合金在5K/min的升温速度下,在晶化体积分数0.2~0.68 时以一个形核速率不断增加的三维扩散长大模式进行, 在晶化体积分数为0.68 时,以一个形核速率不变的三维扩散长大模式进行, 在晶化体积分数为0.68~0.80时, 以一个形核速率不断减小的三维扩散长大模式进行;Nb1 非晶合金在10、20 和40 K/min 的升温速度下,均以一个形核速率不断增加的三维扩散长大模式进行[20]。 W/Nb1 非晶复合材料在5、10、20 和40 K/min 的升温速度下,均以一个形核速率不断增加的三维扩散长大模式进行。

图11 Nb1 非晶合金和W/Nb1 非晶复合材料的第二级晶化峰的n(x)与x 的关系图:(a)Nb1 非晶合金,(b)W/Nb1 非晶复合材料
Fig.11 The relationship between n(x)and x of the second crystallization peak of the Nb1 amorphous alloy and W/Nb1 amorphous composites:(a)Nb1 amorphous alloy,(b)W/Nb1 amorphous composites

3 结论

(1)Nb1 非晶合金和W/Nb1 非晶复合材料的Tg、Tx1、Tp1、Tx2 和Tp2 均 随 着 加 热 速 率 的 增 加 而 向 高温方向移动,具有显著的动力学效应,并且晶化的动力学效应比玻璃化转变更为明显。

(2)通过Nb1 非晶合金和W/Nb1 非晶复合材料的各个特征温度的激活能数值的对比分析,W/Nb1非晶复合材料的热稳定性和抗晶化能力均要优于Nb1 非晶合金。

(3)通过Avrami 指数n(x)可以得出非晶合金及其复合材料均由三维扩散长大模式进行。

参考文献:

[1]汪卫华.非晶态物质的本质和特性[J].物理学进展,2013,33(5):177-351.WANG W H.The nature and properties of amorphous matter[J].Progress in Physics,2013,33(5):177-351.

[2]郝奇, 乔吉超,PELLETIER J M.锆基非晶合金的动态弛豫机制和高温流变行为[J].力学学报,2020,52(2):360-368.HAO Q,QIAO J C,PELLETIER J M.Dynamic relaxation characteristics and high temperature flow behavior of Zr-based bulk metallic glass[J].Chinese Journal of Theoretical and Applied Mechanics,2020,52(2):360-368.

[3]李梦梦,李炳,范新会,等.铪基非晶合金的晶化动力学研究[J].铸造技术,2021,42(12):1017-1020,1025.LI M M, LI B, FAN X H, et al.Crystallization kinetics of Hf26Be18Ti18Zr18Cu7.5Ni2.5 bulk amorphoous alloy[J].Foundry Technology,2021,42(12):1017-1020,1025.

[4]张波.W/Zr 基非晶合金复合材料的制备与性能研究[D].大连:大连理工大学,2013.ZHANG B.Synthesis and properties of W/Zr-based metallic glass composite[D].Dalian:Dalian University of Technology,2013.

[5]QIAOJ C,PELLETIERJ M.Crystallization kinetics in Cu46Zr45Al7Y2 bulk metallic glass by differential scanning calorimetry (DSC)[J].Journal of Non-Crystalline Solids,2011,357(14):2590-2594.

[6]李 正 坤, 秦 鑫 冬, 刘 丁 铭, 等.Y、Gd、La 和Ce 对Zr(-Ti)-Cu-Ni-Al 非晶形成能力和力学性能的影响[J].稀有金属材料与工程,2018,47(9):2755-2760.LI Z K,QIN D X,LIU D M, et al.Effect of Y, Gd, La and Ce on the glass forming ability and mechanical properties of Zr(-Ti)-Cu-Ni-Al metallic glasses[J].Rare Metal Materials and Engineering,2018,47(9):2755-2760.

[7]胡壮麒,张海峰.块状非晶合金及其复合材料研究进展[J].金属学报,2010,46(11):1391-1421.HU Z Q, ZHANG H F.Recent progress in the area of bulk amorphous alloys and composites[J].Acta Metallurgica Sinica, 2010,46(11):1391-1421.

[8]汪波,何顺荣,吴志强.锆基大块非晶合金的非等温晶化动力学效应[J].稀有金属与硬质合金,2009,37(2):17-21.WANG B, HE S R, WU Z Q.Kinetic effects of nonisothermal crystallization of Zr-based bulk amorphous alloy[J].Rare Metals and Cemented Carbides,2009,37(2):17-21.

[9]肖涛.FeSiBPCu 非晶纳米晶制备及晶化和软磁性能研究[D].桂林:桂林电子科技大学,2021.XIAO T.Preparation of FeSiBPCu amorphous nanocrystals and study of their crystallization and soft magnetic properties[D].Guilin:Guilin University of Electronic Technology,2021.

[10]LIUL,WUZF,ZHANG J.Crystallization kinetics of Zr55Cu30Al10Ni5 bulk amorphous alloy[J].Journal of Alloys and Compounds,2002,339(1-2):90-95.

[11]朱满,李俊杰,坚增运,等.Fe71Nb6B23 非晶薄带的非等温晶化动力学研究[J].稀有金属材料与工程,2012,41(10):1730-1734.ZHU M,LI J J,JIAN Z Y,et al.Non-isothermal crystallization kinetics of Fe71Nb6B23 amorphous ribbons[J].Rare Metal Materials and Engineering,2012,41(10):1730-1734.

[12]SCHROER J, JOHNSON W L.Crystallization kinetics of the bulk-glass-forming Pd43Ni10Cu27P20 melt[J].Applied Physics Letters,2000,77(8):1158-1160.

[13]ZHANG Y Y,LIN X,GAO X H,et al.Crystallization mechanism of Zr55Cu30Al10Ni5 metallic glass in an extended range of heating rates[J].Intermetallics,2021,136:107256.

[14]武毅.Zr/Ti 基非晶合金及其复合材料厚带的制备与力学性能[D].沈阳:沈阳理工大学,2020.WU Y.Preparation and mechanical properties of Zr/Ti-based metallic glasses and its composites thick strips[D].Shenyang:Shenyang Ligong University,2020.

[15]秦凤香,张海峰,陈鹏,等.镍基块状非晶合金的晶化动力学行为[J].金属学报,2004, 40(12): 1285-1289.QIN F X, ZHANG H F, CHEN P, et al.Crystallization kinetics of the Ni-based bulk metallic glass[J].Acta Metallurgica Sinica,2004,40(12):1285-1289.

[16]袁子洲,张香云,冯雪磊,等.Cu60Zr33Ti7 非晶合金的非等温晶化动力学行为[J].兰州理工大学学报,2014,40(4):6-8.YUAN Z Z, ZHANG X Y, FENG X L, et al.Kinetic behavior of non-isothermal crystallization of bulk metallic glass Cu60Zr33Ti7[J].Journal of Lanzhou University of Technology,2014,40(4):6-8.

[17]WANG H R, GAO Y L, YE Y F.Crystallization kinetics of an amorphous Zr-Cu-Ni alloy:calculation of the activation energy[J].Journal of Alloys and Compounds,2003,353(1-2):200-206.

[18]YE F,LU K.Crystallization kinetics of Al-La-Ni amorphous alloy[J].Journal of Non-Crystalline Solids,2000,262(1-3):228-235.

[19]徐翼丰.Fe71.4Cu0.6Nb4Si4B20 非晶合金的晶化动力学及其磁性能[D].沈阳:东北大学,2017.XU Y F.The crystallization kinetics and magnetic properties of Fe71.4Cu0.6Nb4Si4B20 amorphous alloy[D].Shenyang: Northeastern University,2017.

[20]赵德乾,SHEK C H,汪卫华.Zr-Ti-Cu-Ni-Be-Fe 大块非晶合金晶化动力学效应[J].金属学报,2001,37(7):754-758.ZHAO D Q,SHEK C H,WANG W H.Crystallization and kinetics of Zr-Ti-Cu-Ni-Be-Fe bulk metallic glass[J].Acta Metallurgica Sinica,2001,37(7):754-758.

[21]王亮.选区激光熔化成形Fe 基块体非晶合金性能与晶化机理研究[D].深圳:深圳大学,2020.WANG L.Laser melting research on the properties and crystallization mechanism of Fe-based bulk amorphous alloy by selective laser melting[D].Shenzhen:Shenzhen University,2020.

Non-isothermal Crystallization Kinetics of Zirconium-based Amorphous Alloys and Composites

ZHANG Zhen1,2,WANG Jinhe2,LI Zhengkun3,FU Huameng2,YANG Hongwang1,LI Hong3,ZHU Zhengwang3,ZHANG Haifeng3
(1.School of Materials Science and Engineering, Shenyang University of Technology, Shenyang 110870, China; 2.Shichangxu Innovation Center for Advanced Materials, Institute of Metal Research, Chinese Academy of Sciences, Shenyang 110016,China;3.School of Metallurgy,Northeastern University,Shenyang 110004,China)

Abstract: Amorphous alloys and their composites are prone to crystallization transformation when heated, which significantly affects their mechanical properties.Therefore, it is necessary to study the crystallization kinetic behavior of amorphous alloys and their composites, clarify the application environment of materials and quantitatively analyse the microstructure state in the application process of materials, which is of great significance for material engineering applications.In this paper, the non-isothermal crystallization kinetics of the (Zr40.08Ti13.30Cu11.84Ni10.07Be24.71)99Nb1 amorphous alloy and W/(Zr40.08Ti13.30Cu11.84Ni10.07Be24.71)99Nb1 amorphous composites were studied by differential scanning calorimetry(DSC).The results show that with increasing heating rate, the Tg、Tx1、Tp1、Tx2 and Tp2 of Zr-based amorphous alloys and composites move to high temperatures, and the supercooled liquid region ΔT is continuously widened.The crystallization and glass transition of both have obvious kinetic effects.Kissinger and Ozawa equations were used to calculate the activation energy of Zr-based amorphous alloys and composites, respectively.The variation in the activation energy values calculated by the two methods is consistent, but the activation energy value calculated by the Ozawa equation is slightly larger.By comparing the activation energy values of Zr-based amorphous alloys and composites, it can be concluded that the amorphous composites have stronger crystallization resistance and thermal stability.The amorphous alloy and its composites are carried out by a three-dimensional diffusion growth mode according to the Avrami exponent n(x).

Key words: zirconium-based amorphous alloy; amorphous composites; non-isothermal crystallization; glass transition;Avrami index

中图分类号:TG441.8

文献标识码:A

文章编号:1000-8365(2023)08-0763-08

DOI:10.16410/j.issn1000-8365.2023.3118

收稿日期:2023-05-23

基金项目:中国载人航天工程(YYMT1201-EXP08)

作者简介:张 震,1998 年生,硕士生.研究方向为非晶复合材料的制备及性能.Email:zzhang980515@163.com

通讯作者:付华萌,1976 年生,研究员,博士.主要从事非晶合金及其复合材料.Email:hmfu@imr.ac.cn杨红旺,1974 年生,教授,博士.研究方向为非晶合金高温强化机制.Email:hwyang@sut.edu.cn

引用格式:张震,王金贺,李正坤,等.锆基非晶合金及其复合材料的非等温晶化动力学行为[J].铸造技术,2023,44(8):763-770.

ZHANG Z,WANG J H,LI Z K,et al.Non-isothermal crystallization kinetics of zirconium-based amorphous alloys and composites[J].Foundry Technology,2023,44(8):763-770.