•前沿进展 Research Progress•

近室温La(FeSi)13 型磁热材料研究现状及展望

靳一博1,王 军1,魏 桐2,李 超2,李金山1

(1.西北工业大学凝固技术国家重点实验室,陕西西安 710072;2.西安聚能超导磁体科技有限公司,陕西西安710018)

摘 要磁制冷作为传统气体压缩制冷的替代技术具有独特和显著的优势,有望在近室温进行应用以应对环境保护与能源短缺的问题。 La(FeSi)13 型磁热材料作为能够应用于近室温的磁热材料之一,具有高磁热效应,宽可调节温区,成本低等优势,但由于其制备方法复杂、耐用性差等因素目前仍处于研究阶段。 本文简要介绍了La(FeSi)13 型磁热材料的发展与其巨磁热效应原理,并详细综述了不同元素含量下材料居里温度、磁熵变与磁滞热滞的变化规律,以及热处理、制备方法和材料复合对材料性能的影响,重点探讨了对应用于近室温的该类型材料的性能调控方法。 最后,对近室温La(FeSi)13 型磁热材料的性能调控方法进行展望,指出其未来可能的发展方向。

关键词磁制冷技术;磁热材料;La(FeSi)13;材料设计

随着世界经济发展、全球人口的增加以及人类居住质量的提高,空调、冰箱等制冷设备的需求急剧增加,制冷系统在国民经济体系具有非常广阔的市场。 但是传统气体压缩制冷机存在着排放温室气体,能量利用效率低等问题。 作为传统气体压缩制冷的替代,磁制冷技术由于具有环保、高效、体积小等特点受到学者们的广泛关注。 与传统气体制冷相比, 磁制冷技术利用固体磁性物质作为制冷工质,不产生温室气体。 在当下碳达峰和碳中和的大背景下, 磁制冷系统作为100%绿色科技也符合发展需求。并且由于磁热材料的磁熵密度较大,其能拥有更高的效率与更小的体积, 热效率能达到卡诺循环的30%~60%,远大于气体制冷的5%~10%[1]。 通过与超导磁体配合, 磁制冷能达到气体制冷无法达到的超低温, 这使得其在低温物理领域已有了广泛应用并成为现代低温物理学不可缺少的关键技术之一[1]

磁制冷技术是利用材料的磁热效应(magnetocaloric effect,MCE)进行制冷的技术。 磁热效应又称磁卡效应,是材料一种固有特性。 当外磁场变化时,材料的磁熵变化引起吸热放热,利用磁热效应显著的材料即可在其磁热效应峰的温度范围内进行高效的磁制冷。 通过热力学第一定律以及Maxwell关系式的推导可以得出, 利用磁熵变化制冷的材料,其在循环中的等温熵变为[2]

式中,H 为磁场强度;M 为磁化强度;T 为温度。研究者们一般选用测量磁化曲线的方法,通过实验测出不同温度下的磁化曲线计算求得材料等温熵变,从而表征材料的磁制冷能力。 这是因为测得不同温度下的磁化曲线不仅能够得到材料的磁熵变与居里温度, 还能测出材料的磁滞大小并通过Arrott 曲线分析材料磁相变类型,从而得到更多与材料磁热性能相关的信息。

通过一个世纪的发展,磁制冷技术目前在低温领域已有大量相关研究与应用,但应用于室温的磁制冷技术目前还不够成熟。 随着磁制冷技术的不断发展,研究者们开始将研究重点从低温制冷转变为高温和近室温范围的技术研究。 在近室温,由于晶格震动剧烈,晶格熵远高于低温,材料的制冷能力受到限制。 尽管如此,室温磁制冷仍有其广泛和重要的应用潜力,目前包头稀土研究院[2]、巴斯夫[3]、海尔[4]以及Ubiblue(前Cooltech)[5]等公司均有能够用于磁制冷的原型机, 且Ubiblue 公司利用室温磁制冷设计了一种制冷的自助售卖机并已经投入应用。

近室温磁制冷实验最早是在1976 年,由Brown[6]利用Gd 完成的。 随着研究的进行,研究者们开发了许多可应用于室温范围的磁制冷材料, 其中包括Gd5(Si,Ge)4[7-8],La(FeSi)13[9-10],F2P 型[11-12]、Heusler合金型[13-15]等。 近室温磁制冷材料的工作温区与磁热效应对比如图1 所示,从图中可以看出La(FeSi)13型磁制冷材料在近室温范围具有很宽的可调节工作温区,同时具有较高的磁热效应,是一种有应用潜力的材料[1,9]

图1 不同种类磁热材料的绝热温变(ΔH=2 T)。 二级相变材料纯磁跃迁温度Tc 由阴影表示;一级磁结构耦合转变温度Tm 由填充表示[15]
Fig.1 Variation in ΔTad and Tc/Tm of different types of magnetocaloric materials(ΔH=2 T).Tc of the SOPT material is represented by a shaded pattern;Tm of the FOPT material is represented by a solid pattern[15]

对La(FeSi)13 型材料,Shen 等[9]在2009 年曾作出详细综述,Shao 等[10]在2022 年对其材料复合方法及表现进行了总结,并且在Franco 等[1-2]在2012与2018 年的综述中对该材料均有所提及。

在该材料研究初期,学者们主要研究了元素含量以及制备方式和热处理对其影响。 不同的元素含量会使材料具有不同的居里温度,这也让La(FeSi)13型磁热材料拥有了更广泛的工作温区, 不同类型La(FeSi)13 型材料的居里温度与最大磁熵变关系如图2 所示,数据来自于自2000 年以来发表的关于元素含量对La(FeSi)13 型磁热材料影响的文献[1,9,16-47]。并且由于La(FeSi)13型磁热材料的巨磁热效应主要来自于τ1 相,该相的比例越高,材料的磁热效应越明显[48-52]。 但τ1 相需要经过长时间的退火才能形成,所以通过改变制备方法使材料尽可能以更高的效率得到更多的τ1 相也是该类型材料的研究重点[48-61]。除此之外, 研究者们在近些年还进一步探究了材料复合对该类型材料的影响。 由于材料中含有稀土元素,其在近室温与空气和水接触后易氧化,从而降低耐用性[62-63]。同时该类型材料的机械性能较差[64-66],不利于材料应用。 为了解决这些影响材料稳定性的问题,学者们利用了材料复合的方法,采用不同性质的材料与La(FeSi)13 型材料复合从而同时改善材料的机械性能[67-68]、导热性[69-72]、抗氧化性[72-76]等。

图2 不同元素含量La(FeSi)13 型化合物的磁熵变峰值|ΔSM|与居里温度Tc,不同颜色表示不同体系的材料[1,9,16-47]
Fig.2 |ΔSM|and Tc of La(FeSi)13,in which different colors represent different material systems[1,9,16-47]

目前对La(FeSi)13 型材料的主要研究包括材料复合、制备方法优化、成分优化等。 其目的是在减少变温元素、杂相或强化材料对磁热效应负面影响的基础上尽量减少磁滞,提升其导热性与耐用性,并优化其制备效率。 在成分优化方面,Yang[45]、Liu[46]、Lai 等[47]均对额外稀土元素对该类型材料的显著磁滞降低与磁制冷能力的提升进行了研究,同时也有学者开始利用机器学习等方法,通过建立模型提出对该材料成分以及制备方法进一步优化的可行性[77-78],这也为该类型材料的成分、加工方法优化及复合材料设计提供了新的思路。 因此,本文简要介绍了La(FeSi)13 型磁热材料的发展, 综述了近年来对La(FeSi)13 型的主要研究进展,分析了目前研究存在的不足,最后对La(FeSi)13 型磁热材料的成分优化、制备方法优化以及材料复合方法进行展望,并指出发展趋势。

1 La(FeSi)13 型磁热材料简介

La(FeSi)13 型磁热材料属于R(T,M)13 型化合物,该类型的材料最早由Palstra[79]制备成功,其中R 为稀土元素,T 为过渡族金属元素,M 为Si 或Al。Liang 等[80]于1997 年对R(T,M)13 型化合物进行了详细研究。 在理想状态下La(Fe)13 合金为NaZn13 立方结构,空间点群为Fm3c,如图3 所示。 由于La 和Fe之间的形成焓为正, 这种构型的化合物不能稳定存在,但通过添加Si 或Al 替换一部分Fe 可以使形成焓转变为负值, 达到结构相似的伪二元化合物La(FeSi/Al)13, 这种NaZn13 结构的化合物可以稳定存在。 在该化合物中,Si 会取代Fe原子,当Si 含量为1.2~2.6 时,晶体构型为NaZn13 型。 在低Si 含量时La(FeSi)13 材料同时具有巡游电子变磁转变现象和磁体积效应,其在居里温度附近拥有巨磁热效应[9],该现象是指材料在Tc 以下施加外磁场,材料由铁磁态(ferromagnetic, FM)转变为顺磁态(paramagnetic,PM)同时晶格结构发生变化,也就是发生一级磁相变(first order magnetic transition, FOMT),从而引起材料发生巨大熵变的现象[27],该类型的相变也被称为磁-结构耦合转变。

图3 La(FeSi)13 型化合物的晶体结构:(a)假想的立方型La(Fe)13,FeI 原子未显示,(b)(001)方向的投影[29]
Fig.3 Crystal structure of La(FeSi)13:(a)hypothetical cubic NaZn13 structure La(Fe)13 with FeI not shown,(b)projection in the(001)direction[29]

Fujita 等[26]发现,La(FeSi)13 化合物发生磁转变时,磁矩的变化会使晶胞体积增大,晶格发生各向同性变化,并在平行磁矩方向产生应变。 在施加0~9 T磁场过程中, 晶胞体积变化能达到1.5%。 在发生PM-FM 转变时晶体的点群不会发生变化,但会产生负晶格膨胀。 研究表明,La(FeSi)13 型化合物的巨磁热效应同时来源于磁相变以及结构相变,其结构变化带来的晶格熵变与自旋熵变为同一数量级。 并且La(FeSi)13 化合物在磁相变过程中,晶格熵增加,晶格熵变为正,晶格熵变与自旋熵变符号相同,二者协同造成了La(FeSi)13 化合物的巨磁热效应[27]

1999 年,Hu 等[30]制备出LaFe11.4Si1.6,发现其拥有巨磁热效应,居里温度在195 K 附近,磁熵变能达到19.4 J/(kg·K)。研究表明,该类型材料的居里温度主要取决于Fe-Fe 交换作用, 也就是说利用元素替换或掺杂,通过改变Fe-Fe 键长,即可调节居里温度[2,9]

Hu 等[16]在2000 年便发现Co 对Fe 的替换能够使La(FeSi)13 型磁热材料的居里温度增加至280 K附近[17-19],接近室温。 随后研究者们利用相似的方法研究了Mn、Ni、Cr 等Fe 的临位过渡族元素对其替换产生的影响[21-22],同时也研究了Ce、Pr、Nd 等稀土元素对La 替换的影响[23-25],以及不同Si 含量和Al对Si 替换的影响[26-30]。随着研究的进行,学者们也探究了H、C、B 间隙元素掺杂[31-42],以及额外的非化学计量比元素[43-47]对材料居里温度、磁熵变、磁滞、稳定性等各方面的影响。 从图2 中可以看出, 通过改变La(FeSi)13 型材料的元素组成,能够得到工作温区位于50~350 K 的磁热材料。具体影响将在本文第2 节进行详细讨论。

未经特殊制备方法得到的La(FeSi)13 型材料铸态组织为粗大的α-Fe 枝晶以及晶间的LaFeSi 相, 所形成的主要功能相τ1(1∶13)较少,特别是在低Si 含量下。因此, 该类型材料必须经过高温热处理, 主要通过γ-Fe+LaFeSi→τ1 包析或包晶反应获得高比例τ1 相。由于该过程时间长、工序复杂,所以研究减少退火时间以及通过热处理工艺提升性能的方法也十分重要。

在对La(FeSi)13 型材料热处理的研究中,Liu等[48]与Chen 等[49]均发现高温短时退火能够形成较多τ1。 而Liu 等[50]详细探究了退火时间与温度对1∶13 相形成比例的影响, 认为在1 323~1 373 K 为最佳退火温度。 Fujieda 等[51]的文献也表明在1 373 K退火能得到更均匀、比例更高的τ1 相。Niitsu 等[53]通过总结实验结果、 相关文献及二元相图, 得到了LaFeSi 三元相图。 其中便包含了τ1 相区,该研究为热处理的进一步完善奠定了基础。

由文献[50-51,81]可知,在1 173~1 407 K 热处理时主要发生的反应为γ-Fe+LaFeSi→τ1 包析反应,该反应发生于γ-Fe 与LaFeSi 相界面的过渡区,过渡区为类似珠光体的富Fe 相与富La 相片层结构。在高温下初始α-Fe 粗化为块状γ-Fe,La 在其周围富集并形核,进一步使富La 相核周围的Fe 原子富集,从而使γ-Fe 形核。 这两相交替形核并长大形成片层, 同时片层结构可以通过共析体内的自扩散直接转变为τ1 相。 所以包析反应τ1 相转变过程为:富La 相→片层结构→τ1[50-51]。 该反应速度慢,若反应时间不足则易残留较多α-Fe 与LaFeSi 相。在1 407 K 以上时富La 相转变为液态,发生包晶反应,由于液相原子迁移速度更快,1 423 K 以上退火能显著提升反应速度, 但退火时间过长液相容易在重力的作用下富集,造成宏观偏析[48-49]。 在1 445 K 以上退火会发生LaFeSi→La5Si31 共析反应, 导致退火后的材料残留La5Si3,降低材料整体的τ1 相比例[48-49,81-82]。 在1 590 K 以上τ1 相分解为γ-Fe 与富La 液相, 这会进一步降低τ1 相比例[49,82]

随着该类型研究的发展, 目前主要的退火方式有1 323~1 423 K 长时间退火[50-51],1 523 K 附近短时退火[48-49],以及分步退火等处理方式[48,81]。在制备方法上学者们探讨了与传统电弧熔炼不同的方法以改善材料性能并缩短退火时间,例如离心铸造法[54]、连铸法[55]、粉末冶金[56]、增材制造[57]、粉末制备[58-59]等,并且探讨了冷却方法对材料性质的影响 [60-61]。 热处理及制备工艺对La(FeSi)13 型材料生产效率及性能的改善将在第3 节重点论述。

2 元素含量的影响

La(FeSi)13 型材料的巨磁热效应主要是由于在居里温度附近同时发生的晶体结构与磁结构转变,通过改变其中的元素能够改变Fe-Fe 交换作用,可以影响居里温度,改变其工作温区。不过在改变居里温度的同时, 新加入的元素也会通过影响电子态密度,晶格参数等影响磁热效应。如何将材料的工作温区改变至室温,同时尽可能保留其巨磁热效应,并尽量降低磁滞与热滞,对近室温La(FeSi)13 型材料的设计至关重要。

2.1 Si 和Al 对La(FeSi)13 型材料磁热性能的影响

自2000 年以来, 学者们首先详细研究的便是Fe/Si 比例对La(FeSi)13 型材料的磁热效应的影响。Palstra 等[79]在1985 年发现Si 含量为1.5~2.5(化学计量比,下同)时能够稳定NaZn13 结构,并且Si 含量越高越容易形成NaZn13 结构的τ1 相,而Hu 等[16]发现在Si 含量为1.2 时也可以生成NaZn13 结构,并且该元素含量下材料磁热效应更大。 Fujita 等[26]发现,随着Si 含量的增加,La(FeSi)13 型材料居里温度增加,并且磁熵变降低,材料相变类型由一级转变为二级,磁滞与热滞降低。Si 含量超过1.6 后材料在居里温度附近的相变类型由一级相变转变为二级(Second order magnetic transition,SOMT),磁热效应大幅降低,所以在制备一级相变材料时Si 的添加量一般不会超过1.6。 Shen 等[9]与Palstra 等[79]均发现Si 的添加导致材料电子结构发生变化, 饱和磁化强度随Si 的添加而下降,其速率快于简单稀释作用。 当Si含量较低时材料表现出更好的磁热性质, 但同时低Si 含量更难形成τ1 相。 从图4(a~b)中蓝色方块的变化可以看出,Si 对Fe 的替换降低了晶格间距,结合图4(b)居里温度随Si 含量增加的上升可以看出其呈负相关。 而Si 含量的增加也使材料磁矩降低,宏观体现为磁热效应的下降,如图4(a~b)中黑色方块所示。

图4 Si 与Al 的含量对LaFe13-x(Si/Al)x 的影响:(a)晶格常数与磁矩随Si 含量的变化,(b)居里温度Tc 与磁熵变峰值|ΔSM|随Si与Al 含量的变化[9,83-85]
Fig.4 Influence of Si and Al on LaFe13-x(Si/Al)x material:(a)variation of lattice constant and magnetic moment with Si content,(b)variation of peak magnetic entropy change|ΔSM|and Curie temperature Tc with Si and Al content[9,83-85]

除了Si 能够稳定NaZn13 结构外,Al 也有相似的作用,当Al 含量在1.6~2.3 时同样可以形成稳定的NaZn13 型化合物[28],不过该类型材料的磁熵变普遍低于La(FeSi)13 型,如图4(b)所示。

2.2 过渡族金属元素替换对La(FeSi)13 型材料磁热性能的影响

过渡族金属能够通过类似的方式, 改变Fe-Fe交换作用以调整居里温度。 不过随着过渡族金属原子对Fe 的替换,晶体的3d 电子态密度也会有所变化,一般表现为巡游电子变磁转变的削弱, 磁熵变峰的峰值降低,半高宽增加,材料磁滞降低,相变类型由一级向二级转变[9,17]。由于Co-Co 与Co-Fe 的强交换作用,Co 替换部分Fe 会使材料居里温度升高,如图5(a)所示[86-92]。 从图中可以看出,不同Si 含量下Co的增加均会显著增加居里温度, 且居里温度与Co含量近似线性关系。 而磁熵变随Co 含量的增加不呈简单线性关系,而是在Co 含量在0~0.6(化学计量比)时显著降低,在超过0.6 后降低趋势放缓。 Hu 等[17]的文章中指出,Co 的添加降低了一级磁相变晶格常数的变化,在低Co 含量时晶格变化更大,所以Co的替换不仅影响了磁矩,同时能够通过降低τ1 相相变时晶格熵对熵变的贡献从而降低磁热效应。 图6(a)[22,88-89,93]表现了过渡族金属元素替换对τ1 相晶格常数的影响,可以看出,尽管是原子半径小于Fe 的Co,其替换Fe 后晶格常数依然增加,而原子半径大于Fe 的Cr,替换后晶格常数减小。 也就是说,过渡族金属元素替换后晶格常数的变化不止取决于原子半径,同时也会被金属元素间相互作用力所影响。

图5 过渡族金属元素对0~2 T 磁场下材料|ΔSM|与Tc 的影响:(a)Co 对LaFe13-xCoxSiy 的影响,(b)Mn,Co,Ni,Cr 对LaFe13-xTMxSi1.4/1.48 的影响[86-92]
Fig.5 Influence of transition metal element on peak magnetic entropy change|ΔSM|and Curie temperature Tc for the magnetic field changed from 0 to 2 T:(a)influence of Co on LaFe13-xCoxSiy,(b)influence of transition metal elements on LaFe13-xTMxSi1.4/1.48[86-92]

图6 不同元素对晶格常数以及材料磁矩的影响:(a)晶格常数随Ni、Cr、Co、Mn 替换元素含量的变化,(b)磁矩随C、Ni 和Mn 含量的变化[22,88-89,93]
Fig.6 Influence of different elements on lattice constant and magnetic moment:(a)changes of lattice constant with the content of Ni,Cr,Co and Mn,(b)μschanged with C,Ni and Mn content[22,88-89,93]

类似的, 在元素周期表中临近Fe 的元素Mn、Ni、Cr 对Fe 的替换均会改变居里温度的同时降低磁熵变[21-22]。 与Co 不同的是,Mn 替代Fe 后反平行排列的Mn-Mn 与Mn-Fe 交换作用弱于Fe-Fe 交换作用,其会降低Tc[22,86]。 Cr 与Ni 的添加对材料性能影响较小[21,87-88]。 过渡族金属元素对磁熵变峰值与居里温度的影响如图5(b)所示,可以看出,过渡族金属元素含量变化与居里温度Tc 基本呈线性关系,其中Co 对Tc 有明显提升作用,Mn 有明显的降低,而Cr与Ni 对居里温度提升并不明显。结合图5(b)与图6(b)分析磁熵变与磁矩变化可以看出,Mn 对磁矩的影响要强于Cr,过渡族金属元素的替换均会显著降低磁熵变最大值, 并且距离Fe 较近的元素Mn 与Co 对磁熵变峰值的降低更加显著。 所以尽管Co 的添加能降低磁滞热滞并将材料居里温度提升至室温,但其牺牲了材料的巨大磁熵变,同时该体系材料磁热效应峰的半高宽较小, 所以仅依靠Co 元素替换得到二级相变的近室温La(FeSi)13 型磁热材料其室温的性能表现不及Gd[17,20]

2.3 稀土金属元素替换对La(FeSi)13 型材料的磁热
性能的影响

替换稀土元素同样能改变材料的居里温度与磁熵变。由于在该化合物中,除了最强的Fe-Fe 交换作用外,还同时具有RE-Fe 与RE-RE 交换作用,对RE的替换同样会对原子间交换作用产生影响, 从而影响居里温度。 并且稀土元素的替换可能会同时改变4f 与3d 层电子态密度, 同时影响材料磁相变时的晶格熵变化,从而影响磁热效应[9,24-25]

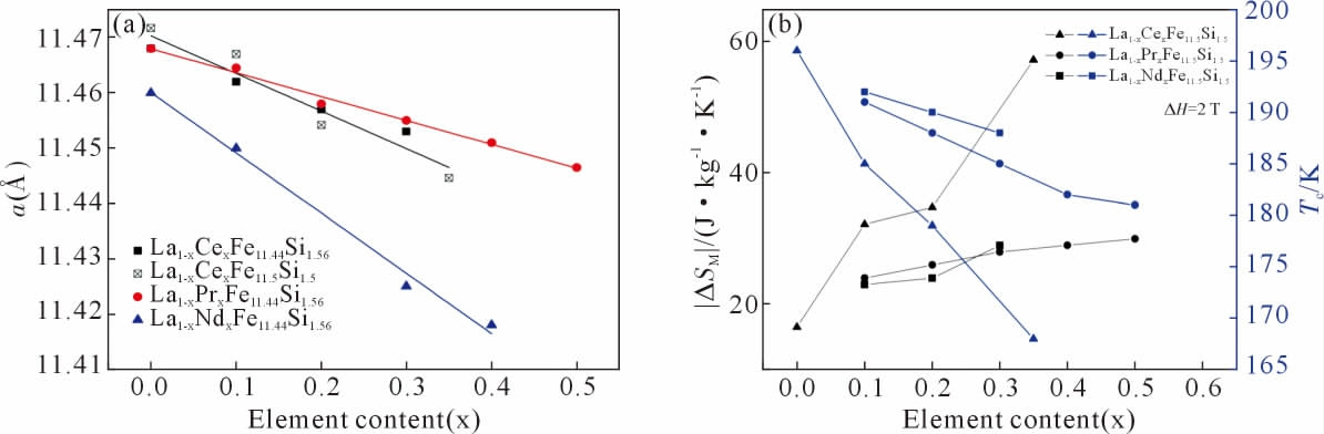
从图7(a)[9,19,23,94-99] 中可以看出Ce、Pr、Nd 对La的替换均使晶格常数降低, 这里一部分原因是因为替换原子半径的降低,还有一部分是因为RE-Fe 的作用。通过图像看出,相比于Pr,原子半径更大的Ce的替换对晶格常数的降低作用反而更强, 这也反应了Ce-Fe 更强的相互作用, 其进一步影响晶格常数的降低。通过图7(b)分析得出,稀土元素替换的大致规律为降低居里温度同时显著提升磁熵变。 通过分析图8 中不同Ce 含量下La1-xCexFe11.44Si1.56 材料的Arrott 曲线可以得知, 稀土元素的替换显著增强了一级磁相变的效果,虽然提升了磁熵变,但同时使得材料拥有更大的磁滞与热滞, 这对材料的制冷效率不利[24-45]。Pr 和Nd 的作用与Ce 类似,同样能够降低Tc 同时提升磁熵变[25]

图7 稀土元素对材料晶格常数与磁热性质的影响:(a)分别在La1-xREx(Fe0.88Si0.12)13 和La1-xRExFe11.5Si1.5 体系中,Ce、Pr 与Nd对材料晶格常数a 的影响,(b)稀土替换元素对La1-xRExFe11.5Si1.5 材料居里温度与2 T 磁场变化下磁熵变峰值的影响(RE=Ce,Pr,Nd)[9,19,23,94-99]
Fig.7 Influence of rare earth element substitution on the lattice constant and magnetocaloric effect of materials:(a)Ce,Pr and Nd on the lattice constant a of La1-xREx(Fe0.88Si0.12)13 and La1-xRExFe11.5Si1.5,respectively,(b)rare earth element substitution on the Curie temperature Tc and peak magnetic entropy change|ΔSM|for the magnetic field changed from 0 to 2 T of La1-xRExFe11.5Si1.5(RE=Ce,Pr,Nd)[9,19,23,94-99]

图8 La1-xCexFe11.44Si1.56 与La1-xCexFe11.44Si1.56Hy(插入图)Arrott曲线[24]
Fig.8 Arrott plots of La1-xCexFe11.44Si1.56 and La1-xCexFe11.44Si1.56Hy(insert figure)at different Ce[24]

正因稀土元素的替换对材料相变类型的作用与过渡族金属替换相反, 研究者们可以同时利用稀土元素与过渡元素调控材料性能, 不过从结果上看调控能力有限。 居里温度达到近室温后稀土元素的添加对磁熵变的提升远不及低温区, 推测是由于稀土元素的替换使居里温度降低,在更低的温度下,材料晶格熵更低,磁相变所带来的熵变更大;而在近室温时材料晶格熵较大, 稀土元素的添加并不能显著增强一级磁相变中的晶格熵变, 所以对磁熵变的提升有限。 在已发表的文献中,仅依靠稀土元素与过渡族元素替换得到的近室温磁热材料在0~2 T 下磁熵变峰值最高仅能达到8 J/kg·K[101]

2.4 间隙元素掺杂对La(FeSi)13 型材料的磁热性能的影响

尽管稀土元素的添加能一定程度上改善近室温La(FeSi)13 型磁热材料的性能,但仅靠过渡族金属元素与稀土元素的作用,居里温度接近室温的La(FeSi)13 型材料性能还是不及Gd, 该类型材料想要应用于室温,迫切的需要其他调控手段。 由于改变Fe-Fe 的键长能够调整居里温度, 利用间隙元素的掺杂能起到与临位元素替换相似的效果。

元素掺杂的实验最早是在2002 年,Fujita 等[102]和Chen 等[103]发现一定程度上充氢能使居里温度显著增加,磁滞降低,效果类似Co 元素的替换,但其对磁熵变影响远小于Co。 Fujita 等[102]发现居里温度随H 含量的增加而线性增加,同时相变类型保持一级。 除了以H 作为间隙原子外,研究者们还利用C和B 作为间隙原子,研究其对材料性能的影响[33-35]。 由图9 分析得出,间隙原子的添加均能提高晶格常数,其原因主要是由于添加的间隙原子改变了晶格体积,使晶格膨胀。

图9 间隙元素掺杂对LaFe13-ySiyHx,LaFe11.6Si1.4Cx,LaFe13-ySiyBx材料晶格常数的影响[32,35,93-103]
Fig.9 Influence of interstitial element on lattice constant of LaFe13-ySiyHx,LaFe11.6Si1.4Cx,and LaFe13-ySiyBx[32,35,93-103]

Phejar 等[35]利用中子粉末衍射(neutron powder diffraction,ND)实验确定LaFe13-xSix(H,C)y 材料间隙原子位置,实验结果表明H 原子在24d 和48f 位置的占位率分别约为1.40(7)和1.33(5),而对C 原子来说,其会占据48f 位置而非24d,通过分析该结果,该文章提出H 和C 原子更倾向于占据48f 位置。 而Hai 等[40]同样通过ND 实验测得C 与H 原子更偏向于占据24d,这与Phejar 等的结论不同,文章通过分析认为间隙原子占据48f 位点后La-C 键长的不匹配, 并且综合结果可靠性最终认为间隙原子会占据24d 位点。 Shao 等[41]进一步利用同步辐射X 射线技术(XAFS)证明了该观点,该文章揭示了充氢后LaFe11.6Si1.4,La-Fe13.9Si1.4 材料的晶格结构, 结果显示间隙氢原子优先占据24d 位置,且不受第二相的影响。并通过La 原子X 射线吸收近边结构(XANES)谱证明了价电子由H 向Fe 的转移, 表明电子结构与吸氢能力之间存在密切关系。综上所述,就目前主流观点来看间隙原子会占据24d 位点, 并导致Fe-Fe 距离的增加,从而使材料居里温度显著上升[35,40-41]

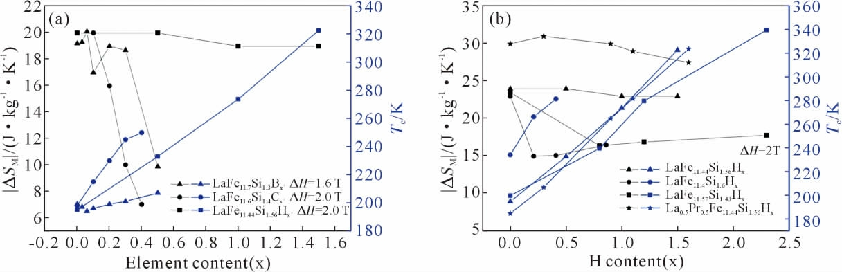
由图9[32,35,93,103]结合图10(a)[35,93,100-101,104-106]可以看出,间隙元素对居里温度的提升、元素含量与晶格常数的变化高度相关,材料晶格常数变化越大,居里温度提升效果越明显。 这是由于间隙原子的添加使晶格膨胀,进一步导致Fe 原子3d 轨道重叠面积减小,Fe-Fe 磁矩耦合加强,所以居里温度显著提升[9,33]。除了H 以外,尽管间隙原子能一定程度上提升居里温度,但其提升效果有限,同时对磁熵变的降低效果强于H 并略弱于Co。 其中,C 的添加对居里温度提升较为明显[33,35],而B 则并不明显[34,102]。 结合图6(b)得出,C 的添加也会降低磁矩, 但其降低效果低于Fe的临位替换,同时对居里温度的提升效果强于Fe 的隔位替换。 类比推测H 对磁矩也有相似的影响,但其对磁矩的影响可能更小,所以H 原子的大量溶入对磁熵变降低较小,但对居里温度提升很大。

图10 间隙元素对La1-zREz(Fe1-ySiy)13INx 居里温度Tc 与磁熵变峰值|ΔSM|的影响(IN=B,C,H):(a)Tc 与|ΔSM|随B、C 与H 掺杂量的变化规律,(b)Tc 和0~2 T 磁场变化下|ΔSM|随H 掺杂量的变化规律[35,93,100-101,104-106]
Fig.10 Influence of interstitial elements on Tc and|ΔSM|of La1-zREz(Fe1-ySiy)13INx(IN=B,C,H):(a)variation of Tc and|ΔSM|with doping amounts of B,C and H,(b)variation of Tc and peak magnetic entropy change|ΔSM|with H doping for the magnetic field changed from 0 to 2 T[35,93,100-101,104-106]

由此得出,相比于其他间隙元素,充H 不仅能显著提升磁熵变,降低磁滞,同时会在近室温保持材料的巨磁热效应,这使得La(FeSi)13 型材料在近室温的高效制冷成为可能。图10(b)为部分充氢材料的居里温度与磁熵变峰值随H 含量变化曲线, 可以看出,磁熵变随H 含量的增加,降低并不明显。 一般与未充氢的材料相比差距在6 J/(kg·K)左右,而充氢量对磁熵变影响较小。 通过调整材料充氢时装置的压力可以实现部分充氢,Fujieda 等[104]通过制备添加Pr后部分充氢的La0.5Pr0.5Fe11.44Si1.56Hx 材料,能够使其在近室温磁熵变能达到25 J/(kg·K)以上。

但是部分充氢的材料稳定性存在问题,其会随着磁热循环发生相分离。 材料中的H 在磁热循环中会发生富集,最终分离为富H 相和贫H 相,磁熵变峰由一个单峰分解为两个峰[36-38]。 尽管完全充氢稳定性会好于部分充氢的材料, 但完全充氢会使得La(FeSi)13H材料的居里温度超过室温工作温区5~30 K, 并且材料的H 含量会因此变得难以控制[1,107]。 这是由于在添加其他元素后,材料的晶格常数发生变化,其溶氢能力会发生改变,比如高Si 含量会导致材料晶格常数下降,使溶氢能力显著降低,在完全充氢后Si 含量为1.2(化学计量比)的材料居里温度高于Si 含量1.8[107]。 含Mn 的完全充氢材料La(Fe1-x-zMnxSiz)13Hy氢含量随其他元素变化如图11(a)[36,39,107]所示,可以看出探究H 的固溶度随元素组成的变化是一个较为复杂的问题,这也是该类型材料成分不易设计的原因之一。

图11 完全充氢的La(Fe1-x-zMnxSiz)13Hy 材料的溶氢能力以及磁热性能变化:(a)在不同Mn 与Si 元素含量下,完全充氢后材料氢含量变化,(b)完全充氢材料Tc、|ΔSM|随Mn 含量的变化[36,39,107]
Fig.11 Changes in hydrogen dissolving capacity and magnetocaloric properties of fully hydrogenated La(Fe1-x-zMnxSiz)13Hy:(a)influence of Mn and Si on hydrogen content after full hydrogenation,(b)changes in Tc and|ΔSM|with Mn content[36,39,107]

目前看具有应用潜力的La(FeSi)13 型近室温磁热材料为完全充氢的La(FeMnSi)13H 材料,可以通过调整Mn 的含量控制其居里温度, 使之位于室温附近[39],如图11(b)所示。 控制Mn 的含量变化能制备居里温度位于270~330 K 区间的材料, 不过用于降低居里温度的Mn 会显著降低磁熵变, 所以在近室温范围内La(FeMnSi)13H 的磁熵变峰值仍低于部分充氢的材料。 由文献得知磁熵变峰位于近室温的该类型材料峰值要高于Gd,尽管半高宽较小,其仍然拥有可观的磁热效应[39,108]

2.5 过量元素对La(FeSi)13 型材料的磁热性能的影响

除了通过调整替换元素、 间隙元素的比例对材料性能进行调整外, 研究者们还分别研究了超出1∶13 的额外稀土元素或过渡族金属对其的影响。Chen等[108]分别利用电弧熔炼与快淬薄带制备含额外的Fe 的LaFe11.6Si1.4, 结果表明额外的Fe 并未进入τ1相,而是以α-Fe 的形式存在,这使得材料的居里温度变化并不明显, 并且对材料的磁相变类型无明显影响。 额外的Fe 会降低磁熵变,同时无明显改变居里温度和减弱磁滞的作用,不过加入额外的Fe 能够改善材料的机械性能和循环性能[109]。这使得额外Fe的添加更类似于材料的复合,其并非改变τ1 相中Fe的比例,而是靠α-Fe 相改善材料的机械性能。 额外的稀土元素对相组成的影响与Fe 相似,但其对材料磁热性能的影响有所不同。

Wang 等[43]探究了少量的额外La 对材料磁热效应的影响,结果表明La 含量的增加会增加富La 相以及α-Fe 的比例,磁滞显著提升,磁熵变有所增加。Hu 等[44]在2019 年探究了较多的额外La 对材料磁热效应的影响, 结果表明居里温度随La 的增加无明显变化,磁熵变随La 的增加先提升后降低。 该现象的主要原因是额外的La 弥补了熔炼损耗的部分,使得退火后剩余的杂相更少,τ1 相比例更高。 该文章结论是过多或过低的La 均会增加杂相的比例从而降低磁熵变, 所以最佳La 的添加量应比原比例多5%(质量分数)。

Yang 等[45]制备了La2-xCexFe11Si2 含量下的该材料,并表征了其磁热性能。 结果表明,在高La 与Ce下,材料内不仅会存在τ1、α-Fe 和LaFeSi 相,也会生成Ce2Fe17,即2∶17 相,该相的出现降低了材料的磁热性能。 随着Ce 的添加,材料居里温度持续降低,磁熵变先增加后降低,磁滞不断增大。

Fujita[20]在2019 年发表的文章中表示,较大磁滞出现的原因之一可能是晶间存在的LaFeSi 相对τ1 相磁相变产生了钉扎作用, 通过改变相的分布能够明显降低磁滞。 通过总结先前的经验,Lai 等[47]探究了额外La 含量下(La1-xCex)y(MnzFe11.4-z)Si1.6 材料的性能,由于在较低Ce 下LaFeSi 相集中于晶界,而在更高Ce 下LaFeSi 相不会在晶界呈网状分布。 同时在更高La 的比例引入了更多等轴α-Fe 和Ce2Fe17相,这些铁磁性相能为τ1 相的一级磁相变提供更多形核位点,降低相变阻力,所以在添加额外La 后改变La/Ce 的比例能够降低磁滞。

同时,Liu 等[45-46]在2018 年研究基础上,利用Ce的替换以及间隙原子H 的添加,得到了在近室温工作温区拥有较大磁熵变与低磁滞的材料, 其性质如图12 所示。 在该研究中,材料经退火后均为稳定的τ1 相,不过完全充氢后的(La1.6Ce0.4)2Fe11Si2H 材料出现了5~50 nm 的微晶,文章认为该结构形成的原因是由于Ce 的替换和充氢所导致的较大局部应力。从图12(a)可以看出,充氢前和充氢后磁滞随Ce 的变化规律不同,充氢后磁滞随Ce 的增加而减少。 文章认为这是显微结构变化所导致的, 更细的晶粒增加了相变形核位点,降低了形核阻力,从而减小了磁滞。 从图12(b)中可以看出,尽管充氢后额外添加的Ce 并未明显增加磁熵变, 但由于其对磁滞的降低,材料的循环制冷能力依旧有所提升, 且接近低温下添加Ce 的高磁熵变材料。 并且对该材料进行制冷循环稳定性测试后, 实验表明该材料在多个制冷循环下依旧能保持稳定性。

图12 (La1-xCex)2Fe11Si2 与(La1-xCex)2Fe11Si2Hy 磁热性能随Ce 含量的变化(Cex 表示未充氢的材料,CexH 表示完全充氢的材料):(a)磁滞损耗,(b)磁熵变峰值|ΔSM|与磁制冷循环效率RC[45]
Fig.12 Changes in magnetocaloric properties of(La1-xCex)2Fe11Si2 and(La1-xCex)2Fe11Si2H with Ce content(Cex represents unhydrogenated materials,CexH represents fully hydrogenated materials):(a)hysteresis loss,(b)peak magnetic entropy change|ΔSM|and reversible efficiency RC[45]

通过以上文献不难看出, 改变元素含量与元素比例,从而调整晶粒大小、第二相类型、第二相分布等方法也能够通过改善磁滞的方法提升材料性能。当第二相对材料磁熵变影响不大, 并呈细小等轴状均匀分布时,以及τ1 相显微结构细小时都能有降低磁滞的效果。

2.6 未来调控元素含量提高La(FeSi)13 型材料磁热
性能的方向

总而言之, 在一定范围内改变元素比例不会改变τ1 相的结构,而是使新加入的元素与原有元素位置替换,或进入晶体间隙中,从而改变Fe-Fe 交换作用, 并且金属元素还会影响3d 或4f 层电子状态从而影响磁矩, 同时其还会对材料磁相变时晶格变化产生影响,进而影响主要功能相τ1 相的居里温度以及磁热效应。 自2000 年以来关于元素对La(FeSi)13型材料性能影响的主要文章数据中不同元素关于居里温度与磁熵变峰值的变化规律如图13 所示。

图13 元素含量对La(FeSi)13 型磁热材料居里温度Tc 与0~2 T 磁场变化下磁熵变峰值|ΔSM|的影响:(a)Co、C、H、B 对材料居里温度的影响,(b)Co、C、H、B 对磁熵变的影响,(c)Ce、Pr、Mn 对居里温度的影响,(d)Ce、Pr、Mn 对磁熵变的影响[1,2,9,43-47]
Fig.13 Influence of element content on peak magnetic entropy change|ΔSM|for the magnetic field changed from 0 to 2 T and Curie temperature Tc of La(FeSi)13 magnetocaloric material:(a)influence of Co,C,H,and B on Tc of the material,(b)influence of Co,C,H,and B on|ΔSM|,(c)influence of Ce,Pr,and Mn on Tc,(d)influence of Ce,Pr,and Mn on|ΔSM|[1,2,9,43-47]

其中图13(a)与13(b)中描述的特征为提升居里温度的元素,13(c~d)为能够降低居里温度的元素。从图13(a)中居里温度随Co、C、H、B 含量变化的规律可以分析得出, 居里温度对替换元素Co 以及间隙元素C 含量的变化最为敏感,而间隙元素H和B对居里温度的提升效果相似。 Co 和C 的添加对磁熵变负面影响显著,B 对磁熵变也有明显的降低,但是H 对磁熵变影响较小。 从图13(c)中可以看出,过渡族金属替换元素Mn 对居里温度的影响强于稀土替换元素Ce 和Pr,并且同时添加Mn 与Ce 对降低居里温度会有更强的效果。 而图13(d)中则能看出,Mn 对磁熵变有明显的降低作用。 而Ce 和Pr 都表现出了一定的提升作用,且Ce 含量在0.3(化学计量比) 以内时提升效果略高于Pr,Ce 含量在0.3 以上时表现为MCE 随Ce 的增加而降低。

目前近室温的二级相变材料La(FeCoSi)13 由于发展较早已近成熟, 但由于磁熵变峰值较低所以材料总体制冷效率不够高, 其在室温应用的竞争力不足。目前从成分对材料磁热性能的影响来看,充氢是将La(FeSi)13 型材料居里温度提升至近室温的最佳选择。La(FeMnSi)13H 型材料是目前比较完善的近室温一级相变材料。 不过近年来的研究发现的非化学计量比的额外元素对材料总体制冷效率以及耐久性能仍有提升的空间[45-47],也证明了目前仍旧能够通过改变元素含量优化材料的制冷性能。

由文献中得知,La(FeSi)13 型材料的磁热性质不仅取决于τ1 相所含元素, 也取决于τ1 相的比例,材料的晶粒尺寸以及杂相的磁性质与分布。 相同元素含量的材料也会因为不同比例的τ1 相以及相分布,表现出不同的磁热性质[20]。 未来通过元素含量对材料性能提升的研究主要会集中在通过改变元素含量影响材料的显微结构进而优化材料的制冷效率或耐久性上。 如添加额外稀土元素的(La1-xREx)y(Fe-Si)13H化合物对材料制冷效率的改善等。

3 制备方法与热处理的影响

改变元素含量主要作用是通过改变τ1 相性质,从而改变材料的居里温度和磁热效应。 而τ1 相在整个材料中的比例对材料的磁热性能同样重要。 制备方式与热处理会显著影响τ1 相所占比例、杂相的类型、形貌以及分布,从而影响材料的磁制冷效率[48-51]。如何利用先进的制备方法与热处理, 利用短时高效的方法得到均一稳定的τ1 相,或者磁热性能更好的显微结构对该类型材料能否应用于市场至关重要。

3.1 退火温度与时间对La(FeSi)13 型材料的磁热性能的影响

La(FeSi)13 型材料巨磁热效应的来源是τ1 相,这是一种需要经过较长时间以及较高温度退火得到的亚稳相。 仅经过电弧熔炼后得到的铸锭成分一般为粗大的α-Fe 枝晶与枝晶间的富La 相, 需要靠退火得到高比例的均一τ1 相。 如何更高效地得到高比例的τ1 相,同时降低杂相对材料磁热效应的干扰一直是值得研究的问题。

在2009 年,Liu 等[48]探究了LaFe11.6Si1.4 不同短时退火条件下得到最多τ1 相的方法。 结果表明,在1 423 和1 473K 温度下退火1 h均会残留较多的α-Fe 和LaFeSi 相,1∶13 相比例分别只有23%和74%(体积分数),而在1 573 K 退火时能形成较多的1∶13相,比例达到总体的91%(体积分数)。Chen 等[52]在2011 年详细研究了不同退火条件对La0.8Ce0.2Fe11.5-xCoxSi1.5 化合物的影响。 研究结果表明,超过1 523 K 的退火温度会导致残留更多α-Fe 相,同时出现La5Si3 相,也就是说通过短时退火得到最佳比例的1∶13 相需要将退火温度保持在1 523 K 附近, 在该温度附近时能保证位于生成1∶13 相的相区内,仅发生γ-Fe+LaFeSi→τ1包晶反应, 避免LaFeSi→τ1+La5Si3 反应的消耗,同时拥有较高温度即较高扩散速率, 退火不需要太长时间。2012 年,Chen 等[49]通过XRD、DSC 与SEM分析各退火温度、退火时间下的相组成,详细分析了退火过程中关于LaFe11.6Si1.4 的相变。该分析得出,在1 407 K 以上时LaFeSi 相为液态,与固态的α-Fe 发生包晶反应生成τ1 相,这与1 373 K 附近发生的包析反应不同,也就是高温下LaFeSi 相的熔化显著加快了反应。 最终该文章指出,在1 523 K 退火7 h后,再在1 323 K 退火2 h,节省时间的同时能得到更高比例的τ1 相,同时材料拥有较好的磁热性能。

而针对较低温度下退火,Liu 等[50]以及Fujieda等[51]的研究表明,退火温度在1 323~1 373 K 为最佳温度,如图14(a)所示。长时间退火时,退火温度过高或过低都会存在较多的α-Fe 和LaFeSi 相, 而含Si量较高样品的最佳退火温度要低于低Si 含量的样品。 最佳退火时间大致在4~6 天。 从图14(b)中可以看出,在最佳退火温度退火时,τ1 相比例随退火时间呈三段式增长,即先缓慢增加,后快速增加,最后趋于稳定, 第三阶段后更长的退火时间不会显著增加τ1 相体积分数[50-51,106]。Niitsu 等[53]在2012 年结合二元相图、文献调研以及实验,绘制出LaFeSi 三元系的相图,该相图可为探究元素含量为退火温度作参考,只要退火相区位于τ1 内选取尽可能更高的退火温度便能显著降低退火时间。 不过该文献中指出LaFeSi 相的熔化温度在1 553 K, 其不同于Chen[49]所分析的1 407 K。之后Yang等[110]通过显微分析,发现枝晶间分布的富La 相不仅是LaFeSi 相, 同时存在着多种微小的相, 这些富La 相的集合会在1 410 K附近熔化,并与α-Fe 反应。

图14 LaFe11.8Si1.2 材料在不同退火条件下τ1 相所占比例:(a)不同温度下退火7 天所得到τ1 相的体积比例,(b)在1 323 K 退火不同时间材料的相组成(数据来源于已发表文献)[50-51]
Fig.14 Proportion of the τ1 phase of LaFe11.8Si1.2 under different annealing conditions:(a)volume ratio of the τ1 phase obtained by annealing for 7 days at different annealing temperatures,(b)phase composition after annealing for different times at 1 323 K(data adapted from published literature)[50-51]

对近年来退火方式对磁热性质影响的总结得出,尽管高温退火能降低退火所需的时间,得到拥有较高τ1 相比例的材料,但在更高的温度会引入更多的反应从而生成更多的杂相,并且组织更加粗大,其磁热效应还是略逊色于1 373 K 附近的长时退火。因此找到制备高效同时尽可能使材料拥有高磁热性能的加工方式需要进行进一步研究。近期研究表明,通过细化显微组织的制备方式可显著降低退火时间,在短时间内得到大量τ1 相,从而增加制备效率。

3.2 冷却速度对La(FeSi)13 型材料的磁热性能的影响

除了退火温度与时间外,退火后的冷速对其也会对τ1 相的比例产生影响。 Chen 等[60]比较了1 503 K退火5 h 后不同冷速得到的LaFe11.6Si1.4 样品, 分别用炉冷、空冷和水冷的方法,得到了退火后不同冷速下的样品, 结果表明冷速对τ1 相的比例影响较小,并且对材料的磁熵变和居里温度的影响也较小,如图15(a)所示。不过利用水冷能够一定程度上降低材料的磁滞,通过图15(b)所示的Arrott 曲线可以看出炉冷材料相变类型更偏向于一级, 而水冷与空冷一级相变特征较弱。

图15 冷却方式对LaFe11.6Si1.4 材料性能的影响(炉冷,空冷,水冷):(a)3 种不同冷却方法制得样品的0~2 T 磁熵变曲线,(b)Arrott 曲线[60]
Fig.15 Influence of cooling method on material properties of LaFe11.6Si1.4(furnace cooling,air cooling,quenching):(a)magnetic entropy curve for the magnetic field changed from 0 to 2 T of samples prepared by three different cooling methods,(b)Arrott plot[60]

Liang 等[61]比较了升温至1 573 K 后利用不同冷速冷却至1 473 K,然后用氩气快速冷却至室温得到的样品。 结果发现,利用该10 K/min 的冷速冷却至1 473 K 后, 再用氩气快速冷却能得到较高含量的1∶13 相(81%)。

3.3 制备方式对La(FeSi)13 型材料的磁热性能的影响

Xu 等[54]利用离心铸造法制备LaFe11.6Si1.4 盘体并对其进行了磁热性能表征。 该方法能够加速τ1 相的形成,降低退火要求。 在该研究中,仅需在1 373 K 退火3 h 便可得到90%(体积分数)的τ1 相。 Yang 等[81]在2022 年详细分析了退火对离心铸造法制得LaFe11.6Si1.4样品的影响, 文章发现利用离心铸造法制备的铸态组织样品, 在1 423 K 只需退火2 h 便可得到97%(体积分数)的τ1 相。 2021 年Li 等[55]在研究薄带连铸的薄片型LaFe11.8Si1.2 时同样探讨了短时退火时不同退火温度的影响。 结果表明该材料制成薄片所需退火时间显著缩短, 在1 373 K 退火2 h 即可达到88%(体积分数)的τ1 相,而退火时间在8~10 h 时能得到更高比例的τ1 相,如图16(a)所示。并且从图16(b)中可以看出短时退火所得到材料的磁熵变相似, 且均远高于未退火前的铸态组织。Imaizumi 等[57]使用Fe 和LaySiz 粉末进行激光选区融化, 制得具有微小显微结构的样品,并显著降低了样品生成τ1 相所需的退火时间。 该样品退火24 h 即可生成较高比例的τ1相,并且拥有较高的磁熵变。

图16 薄片型LaFe11.8Si1.2 材料的相组成与0~2 T 磁熵变峰值随退火条件的变化:(a)1 373 K 退火温度下相组成随退火时间的变化,(b)原始样品以及不同时间退火后样品磁熵变峰值变化[55]
Fig.16 The phase composition and magnetic entropy change of LaFe11.8Si1.2 flakes under different annealing conditions:(a)variation of phase composition with annealing time annealed at 1 373 K,(b)comparison of peak magnetic entropy change|ΔSM|for the magnetic field changed from 0 to 2 T of the original sample and samples with different annealing time[55]

针对非块体LaFeSi 材料,Liu 等[58]利用滴管铸造法制备了LaFe11Co0.8Si1.2 球形粉末样品,该方法制备的样品表现出比块体材料更强的磁熵变, 并能显著缩短退火时间。Xu 等[59]利用等离子旋转电极雾化法(plasma rotating electrode process,PREP)制备了不同颗粒度的LaFe11.3Co0.2Si1.5 球形粉末, 该方法同样能显著缩短热处理时间, 仅退火处理120 h 后τ1 相比例便能接近100%, 并且颗粒度较大的粉末具有更高的磁熵变,如图17 所示。 不过制备得到的粉末样品机械性能差, 加压充氢改变其居里温度时需要保证其结构不被破坏以稳定材料磁热性质。经对比,需要加压充氢的球形PREP 粉末材料需要较小压力(100 Pa),这样才能防止较大压力使样品破碎。 可以看出,大部分加工方式的改变主要针对增加τ1 相的比例,减少杂相的析出以提高磁熵变。在保证材料具有较高比例τ1 相的的同时改善制备流程,尽量使得材料的制备更高效。 材料的最佳制备方法是使用能够显著细化显微结构,并且效率较高的制备方式,之后利用位于1 323~1 423 K 的最佳退火温度,在短时间内得到均一稳定的τ1 相。 冷却方式对材料性能影响较小,所以利用相对高效的冷却方式即可。

图17 利用PREP 法制得不同颗粒度的粉末型LaFe11.8Si1.2 材料(样品1~3 粉末直径分别为450~600,250~450 和100~250 μm):(a)1 373 K 退火温度下τ1 相比例随退火时间的变化,(b)3 种不同直径粉末样品的0~1.5 T 磁熵变曲线[59]
Fig.17 Characteristics of powdered LaFe11.8Si1.2 materials with different particle sizes prepared by PREP(powder diameters of particles 1~3 are 450~600,250~450 and 100~250 μm,respectively):(a)variation in the τ1 phase ratio with annealing time at 1373 K,(b)magnetic entropy curve for the magnetic field changing from 0 to 1.5 T of three powder samples with different diameters[59]

3.4 未来通过制备方法与热处理提高La(FeSi)13 型材料磁热性能的方向

图18为2000 年以来所发表的部分文献中La-(FeSi)13 型磁热材料退火温度,退火时间与材料磁熵变的关系。其中图18(a)为退火参数与材料最大磁熵变和样本数量的气泡图,其颜色代表磁熵变大小,气泡大小代表数据数量, 气泡越大说明在该退火条件下实验数量越多。 图18(b)为图18(a)中黑色框中的部分,即退火时间小于6 h 的部分。 由图18(a)可以看出,大部分具有较高磁熵变材料的退火参数,集中于蓝色框内,即退火温度在1 323~1 423 K,退火时间在90~380 h,较低的退火温度所得到的材料磁熵变均相对较低,而随着退火时间的增加,材料平均磁熵变有增加的趋势。

图18 La(FeSi)13 型磁热材料退火温度Ta、退火时间ta 与材料磁熵变|ΔSM|的关系:(a)不同退火条件下文献中实验样品数量以及磁熵变大小气泡图, 气泡大小表示相同退火条件下的实验次数, 蓝色区域代表理想退火参数区域,(b)退火时间小于6 h 的样品磁熵变与数量,(c)样品磁熵变随退火时间变化规律,(d)样品磁熵变随退火温度变化规律[1,48-61]
Fig.18 Relationship between annealing temperature Ta,annealing time ta and|ΔSM|of the La(FeSi)13 magnetocaloric material:(a)bubble plot of |ΔSM|under different annealing conditions.The bubble size represents the number of experiments under the same annealing conditions,and the blue area represents the area of ideal annealing parameters,(b)|ΔSM|of samples with ta less than 6 h,(c)variation of sample|ΔSM|with ta,(d)variation of sample|ΔSM|with Ta[1,48-61]

具体的材料磁熵变随退火温度与时间的变化由图18(c~d)所示,从这两张图中可以看出,磁熵变有明显的随退火时间增加而增加的趋势,在20~200 h有更明显的增加, 而200 h 后增加趋势变缓, 这与Liu[50]和Fujieda[51]总结出的规律相似。 具有较高磁熵变的材料退火温度主要集中于1 323~1 423 K,这也与先前通过分析图18(a)得到的结论一致,同时也印证了研究者们对退火温度规律的总结[50-51]

由于Fe 的熔点与Si 和La 相差较大,其通过电弧熔炼获得的初始显微组织为粗大的α-Fe 枝晶以及枝晶间分布的富La 相[48-50]。 想要获得τ1 相需要靠升温使α-Fe 与富La 相完全转变, 这个过程是靠包析反应中通过原子扩散导致的界面迁移实现的[61]。由LaFeSi 相图得知,当材料升温至1 373 K 附近时能达到较大的包含τ1 相的的三相区,发生γ-Fe+LaFe-Si→τ1 转变[53]。 但由于传统电弧熔炼制得的枝晶粗大,固态相变速率慢,材料的制备需要一周甚至两周的时间, 并且由于富La 相与α-Fe 距离随反应不断增加,浓度梯度随着反应的进行会有所降低,从而导致扩散速度的降低,最终仍会残余一部分成为杂相[50-51]

通过改善制备方法能够有效解决该问题。图18(b)中在1 323~1 423 K 利用6 h 内短时退火得到的高磁热性能材料均是由于采用了特殊的制备方法,使得退火时间显著缩短[55-57]。对传统电弧熔炼制备的块体或片状化合物来说,在1 323~1 423 K 退火90~200 h为较合适的退火参数。 利用粉末冶金、薄带连铸、离心铸造等成本较低同时能够细化显微结构的方法既能节省成本,又能显著降低退火时间,增加材料制备效率, 仅在最佳温度范围退火24~48 h即可使τ1 相比例达到90%(体积分数)以上[55-56]。若通过La(FeSi)13粉末制备复合材料,则可利用滴管铸造法直接熔炼[58],或经电弧熔炼后利用球磨法或PREP 法等制备粉末[59],这类材料的退火时间也会显著缩短,不过需要额外添加材料复合工序。

目前已存在能够快速获得高比例τ1 相的制备和热处理方法,但材料的制备流程还需要完善,未来可以设计特殊设备,使材料的制备、退火、充氢、复合流程结合,从而增进制备效率。 同时由于晶粒大小,第二相形状与分布等显微结构也会影响材料的磁热性能, 所以在未来也需要进一步寻找通过特殊制备手段和热处理方法调控材料性能的可行性, 比如在制备过程中利用磁场抑制对流从而减少偏析, 细化晶粒,改善第二相分布,在降低退火时间的同时降低磁滞。 也可以进行冷加工或热加工后再退火从而达到细化晶粒的目的[110]

图19则是表现了退火参数与材料居里温度的关系,由图19 和图13 结合文献数据[49-50]可以分析得出退火对磁熵变的影响远大于居里温度, 元素含量对居里温度的影响远大于制备方法与热处理。 相比于元素含量, 制备方法与热处理方式对材料的居里温度影响较小, 所以调整材料的居里温度仅需依靠改变材料的元素含量。

图19 La(FeSi)13 型磁热材料退火温度Ta、退火时间ta 与材料居里Tc 温度气泡图,气泡大小代表相同退火条件下实验数量[1,48-61]
Fig.19 Relationship between annealing temperature Ta,annealing time ta and Curie temperature Tc of La(FeSi)13 magnetocaloric material.The bubble size represents the number of experiments under the same annealing conditions[1,48-61]

4 材料复合的影响

在室温附近工作的La(FeSi)13 型材料,由于充氢后带来的脆性,材料的机械性能差,易发生裂纹,导致其加工性质和耐用性降低[64-66]。同时该系列材料抗氧化性能较差,易与空气反应生成La2O3,这对该类型材料的耐用性同样是一个挑战[62-63]

并且材料的磁制冷效率不仅仅取决于材料的磁熵变、磁滞热滞,材料的热导率对其磁制冷能力也有显著影响。由于粉末型的材料具有低退火时间,高磁熵变的优势,但其导热性差,所以研究如何提升其导热性质也十分重要。为了解决这些实际应用的问题,研究者们通过材料复合的方法以提升其耐用性。 这方面Shao 等[10]已在2022 年已做出详细的综述,所以该部分仅做简要介绍。

目前主要研究的复合方法是通过聚合物或金属黏结, 在不同温度下通过压力将强化材料与粉末型的La(FeSi)13 型材料压制,或是通过烧结将其结合。

Zhang 等[67]和Skokov 等[68]利用聚合物黏结的方法以增强其机械性能, 该方法能显著提升其机械性能, 同时对磁熵变影响较小。 这是因为黏结所用的环氧树脂无磁性, 不会影响La(FeSi)13 型材料的磁性质, 而La(FeSi)13 粉末间的树脂会阻碍微裂纹的扩展,从而提升其机械性能[67]。 在该复合材料中,聚合物黏结的La(FeSi)13 材料强化相分布于La(FeSi)13型材料粉末之间,起到对材料的黏结作用,所以基体仍是La(FeSi)13。 由于环氧树脂的导电性能差,并且材料黏合后La(FeSi)13 材料仍然需要与冷却介质和空气接触,该方法无法改善热导率与耐腐蚀性的问题[76]

利用金属黏合剂热压的方法, 能够使金属强化材料覆盖粉末状磁热材料的表面, 可以同时改善其机械性能,热导率以及耐腐蚀性,但该方法往往伴随着磁熵变的降低。 Zhang[69]利用热压Sn 的方法改善其耐腐蚀和热导性, 该方法能显著提升其导热性与机械性能, 但对磁熵变有降低作用。 类似的方法有Cu[70-72]、Al[73]、In[74]等金属黏合剂的复合,这种方法能大幅提高材料导热性,但牺牲了材料的磁熵变[10]。由于Cu 具有很高的热导率,通过热压或者SPS(spark plasma sintering)方法将Cu 与材料复合后对热导率同样有所提升。 Shao 等[75]利用热压法制备的LaFe-Si/Fe 能显著改善其机械性能以及热导率。除了金属单质以外,合金也可用于这种类型的复合。 Radulov等[76]利用热浸涂层等多种方法将Bi32.5Sn16.5In51 合金与之复合以改善热导率,机械性能与耐腐蚀性能,并将该复合材料与聚合物复合的材料性能进行对比。结果表明聚合物黏结对磁熵变影响较小, 但其降低了热导率, 在综合二者效果后金属复合的制冷效果要好于聚合物复合。

由于这种方法制备的材料基体为强化材料,La-(FeSi)13 型材料被强化材料所包覆,所以这种方法能显著提升材料的机械性能和耐腐蚀性能, 这很大程度上取决于两种材料间的界面结合类型, 以及复合方法。并且由于金属的导热性普遍好于La(FeSi)13 型化合物,所以也能一定程度上提升导热性。但是金属元素往往具有磁性, 其在材料工作温区的磁热性质往往弱于τ1 相,这使得材料磁热效应被稀释。 而且,在施加磁场时金属强化材料可能会表现出与τ1 相不同的性质,从而产生界面应力,增加材料磁滞,这一定程度上也降低了材料总体的磁热效应[10]

5 结论与展望

由于La(FeSi)13 型材料无毒、价格低、高磁熵变、具有较宽的可调节工作温区等优势成为具有应用前景的磁热材料候选。研究者们通过改变元素含量、加工方式以及材料复合改善材料性质, 不同调控手段对材料主要应用性质的影响如图20 所示。通过该图可以对目前该系列材料的调控手段及其影响进行总结。 其中,在添加的固溶或替换元素能够保持τ1 相晶格类型不变的条件下,各元素含量对τ1 相的性质具有较大影响。而对于超出范围的元素,其原子并不会溶入τ1 晶格,而是与Fe、La 或Si 结合生成杂相,从而影响磁热性质。正因如此,元素含量作为主要影响材料的工作温区与磁制冷效率的因素, 对材料的磁制冷性能起决定性作用。 加工方式主要影响τ1 相比例与生产效率,τ1 相比例对材料的磁热性质较为关键,所以也十分重要。材料复合主要靠强化相影响材料的热导率、物理与化学稳定性,该手段主要影响材料的耐久性,并对制冷效率有一定影响。相比于元素组成与制备方法,材料复合影响相对较小。

图20 La(FeSi)13 型材料的调控手段,调控对材料各性质的主要影响以及材料主要性能相关性示意图。 其中不同区域间连线表示相关性,虚线的相关度相对弱于实线;材料主要性能重要性区域中红色箭头表示主要性能的重要性, 由箭头所指方向依次降低
Fig.20 Schematic diagram of the regulation methods and the correlation between the regulation methods and the main properties of the La(FeSi)13 magnetocaloric material.Among them,the lines between different regions indicate correlation,and the correlation of the dashed line is relatively weaker than the solid line.The red arrows indicate the importance of the primary properties,which decreases with the direction of the arrow

在设计材料时需要最优先考虑如何优化材料的元素组成, 其次是选择或者开发同时具有高经济效益与高性能的制备方法, 最后是根据材料耐久性测试的表现,选择相应的复合方法进行改善,以得到较为完善和可靠的磁制冷材料。

目前通过改变元素含量、 优化制备方式以及材料复合的方法能够得到磁热循环较为稳定, 室温磁熵变保持较大值并且具有一定耐用性的材料, 不过目前仍有许多问题有待解决:

(1)目前公布的材料元素组成大多是通过传统经验试错法得到的,该方法具有效率低的缺陷,特别是对La(FeSi)13 型材料这种需要长时间退火并且制备方式较为复杂的材料来说。 为了更高效地优化材料成分,得到具有更高磁熵变,更低磁滞热滞的近室温La(FeSi)13 型磁热材料,需要一种能够总结先前文献中发现材料规律的模型, 以指导实验以及工业生产。同时为了建立更为准确的模型,需要进一步扩充La(FeSi)13 型磁热材料性质与元素含量、制备方式关系的数据,从而建立更为详细的材料居里温度、磁熵变、磁滞热滞随元素含量、制备与热处理方式变化数据库。

(2)尽管研究者对材料的制备方法已有较为详细的研究,但目前研究仍不够充分。首先是需要进一步优化材料的制备方法与退火方式, 探究目前能做到的高效制备方式的影响,如3D 打印等,并研究材料制备、退火、充氢、复合一体化的制备方式。其次是目前对该材料性能的调控主要集中于通常环境下,可能存在极端环境下调控材料性能的手段, 如在制备或退火时施加磁场、电场等极端物理场,在细化显微组织的同时改变材料的晶格熵, 从而使材料具有更高的磁熵变。 可以利用这种方法寻找新的可能调控材料性能的方法。

(3)目前的材料复合手段均较为简单。 可以结合材料的制备与材料复合, 通过精准结构设计得到具有特定强化相分布的复合材料, 最大化材料复合对材料劣势的弥补情况下, 尽量降低复合材料对磁热效应的负面影响。同时寻找性能更优,制备方法更简单,价格更便宜的强化材料,为该类型材料的工业化生产与进入市场铺平道路。

参考文献:

[1] FRANCO V, BLAZQUEZ J S, IPUS J J et al. Magnetocaloric effect:From materials research to refrigeration devices[J].Progress in Materials Science,2018,93:112-232.

[2] 高磊,黄焦宏,张英德,等. 室温磁工质与磁制冷机的研究和开发[J].制冷学报,2022,43(4):77-87.GAO L,HUANG J H,ZHANG Y D,et al.Research and development of room-temperature magnetic refrigerant and magnetic refrigerator[J].Journal of Refrigeration,2022,43(4):77-87.

[3] DEEPAK K, RAMANUJAN R V. Magnetocaloric properties of low-cost Fe and Sn substituted MnNi- Si-based alloys exhibiting a magnetostructural transition near room temperature[J]. IEEE Transactions on Magnetics,2018,54(11):1-5.

[4] LEWIN A Y, VALIKANGAS L,CHEN J. Enabling open innovation:lessonsfromhaier[J].International Journal of Innovation Studies,2017,1(1):5-19.

[5] QIAN S X,YUAN L F,YU,J L,et al.Variable load control strategy for room temperature magnetocaloric cooling applications[J].Energy,2018,153:763-775.

[6] BROWN G V. Magnetic heat pumping near room temperature[J].Journal of Applied Phyics,1976,47(8):3673-3680.

[7] PECHARSKY V K, GSCHNEIDNER K A. Effect of alloying on the giant magnetocaloric effect of Gd5(Si2Ge2)[J].Journal of Magnetism and Magnetic Material,1997,167(3):179-184.

[8] PRABAHAR K,KUMAR N P,RAJKUMAR D M,et al.Effect of boron addition on the microstructure,phase transitions and magnetocaloric properties in Gd-Si-Ge alloy[J].Intermetallics,2018,96:18-24.

[9] SHEN B G,SUN J R,HU F X,et al.Recent progress in exploring magnetocaloric materials[J].Advanced Materials,2009,21:4545-4564.

[10] SHAO Y Y,MIAO X F,ZHANG Y J,et al.An in-depth review of La-Fe-Si magnetocaloric composites: Structure design and performance enhancement[J].Journal of Magnetism and Magnetic Materials,2022,564(1):1-13.

[11] CHAUDHARY V, CHEN X, RAMANUJAN R V. Iron and manganese based magnetocaloric materials for near room temperature thermal management[J].Progress in Materials Science,2019,100:64-98.

[12] BRUCK E,TEGUS O,CAMTHANH D T, et al. A review on Mn based materials for magnetic refrigeration:Structure and properties[J].International Journal of Refrigeration,2008,31:763-770.

[13] LIU J, GOTTSCHALL T, SKOKOV K P, et al. Giant magnetocaloric effect driven by structural transitions[J].Nature Materials,2012,11:620-626.

[14] TAVARES S, YANG K S, MEYERS M A, et al. Heusler alloys:past,properties,new alloys,and prospects[J].Progress in Materials Science,2013,132:101017.

[15] KIM Y, KIM E J, CHOI K, et al. Room-temperature magnetocaloric effect of Ni-Co-Mn-Al Heusler Alloys[J].Journal of Alloys and Compounds,2014,616:66-70.

[16] HU F X, SHEN B G, SUN J R, et al. Great magnetic entropy change inLa(Fe,M)13(M=Si,Al)withCodoping[J].Chinese Physics,2000,9(7):550-553.

[17] HU F X,GAO J X,QIAN L,et al.Magnetocaloric effect in itinerant electron metamagnetic systems La(Fe1-xCox)11.9Si1.1[J].Journal of Applied Physics,2005,97:10M303.

[18] HANSEN B R, KUHN L T, BAHL C R H, et al. Properties of magnetocaloric La(Fe,Co,Si)13 produced by powder metallurgy[J].Journal of Magnetism and Magnetic Materials, 2010, 322(21):3447-3454.

[19] CHEN X,CHEN Y G,TANG Y B,et al.The system study of 1∶13 phase formation, the magnetic transition adjustment, and magnetocaloric property in La(Fe,Co)13-xSix alloys[J].Journal of Magnetism and Magnetic Materials,2014,368:155-168.

[20] FUJITA A. Inflfluence of electronic and metallographic structures on hydrogen redistribution in La(Fe,Si)13-based magnetocaloric compounds[J].Acta Materialia,2019,169:162-171.

[21] WANG C L,LONG Y.Magnetic properties and magnetocaloric effect in La0.7Pr0.3Fe11.5TxSi1.5(T=Ni,Cr)[J].Journal of Applied Physics,2013,113(14):550.

[22] WANG F,CHEN Y F,WANG G J,et al.The effect of Mn substitution in LaFe11.7Si1.3 compound on the magnetic properties and magnetic entropychanges[J].Journal of Applied Physics,2003,36:1-3.

[23] FUJIEDA S, FUJITA A, FUKAMICHI K, et al. Large magne tocaloric effects enhanced by partial substitution of Ce for La in La(Fe0.88Si0.12)13 compound[J].Journal of Alloys and Compounds,2006,408-412:1165-1168.

[24] MU L J,HUANG J H,ZHANG W J,et al.Influence of partial substitution of cerium for lanthanum on magnetocaloric properties of La1-xCexFe11.44Si1.56 and their hydrides[J].Journal of Rare Earths,2014,32(12):1135-1139.

[25] SHEN J, GAO B, YAN L Q, et al. Magnetic properties and magnetic entropy changes of La1-xPrxFe11.5Si1.5 compounds with 0≤x≤0.5[J].Chinese Physics,2007,16(12):3848-3852.

[26] FUJITA A, AKAMATSU Y, FUKAMICHI K. Itinerant electron metamagnetic transition in La(FexSi1-x)13 intermetallic compounds[J].Journal of Applied Physics,1999,85:4756.

[27] 郝嘉政,胡凤霞,尉紫冰,等. 巨磁热材料相变过程晶格熵变和自旋熵变符号问题研究[J].中国科学:物理学力学天文学,2021,51:067520.HAO J Z,HU F X,YU Z B,et al.Sign of lattice and spin entropy change during phase transition in giant magnetocaloric materials[J].Scientia Sinica(Physica, Mechanica & Astronomica),2021,51:067520.

[28] TANG W,LIANG J K,RAO G H,et al.Subsolidus phase relations of the LaFeAl ternary system[J].Journal of Alloys and Compounds,1995,218(1):127-130.

[29] WANG F W,WANG G J,HU F X,et al.Strong interplay between structure and magnetism in the giant magnetocaloric intermetallic compound LaFe11.4Si1.6: a neutron diffraction study[J]. Journal of Physics:Condensed Matter,2003,15:5269.

[30] HU F X, SHEN B G, SUN J R, et al. Great magnetic entropy change inLa(Fe,M)13(M=Si,Al)withCodoping[J].Chinese Physics,2000,9(7):550-553.

[31] KRAUTZ M, MOORE J D, SKOKOV K P, et al. Reversible solid-state hydrogen-pump driven by magnetostructural transformation in the prototype system La(Fe,Si)13Hy[J]. Journal of Applied Physics,2012,112(8):3918.

[32] JIA L,SUN J R,SHEN J,et al.Influence of interstitial and substitutional atoms on the crystal structure of La(FeSi)13[J]. Journal of Alloys and Compounds,2011,509:5804-5809.

[33] ZHANG H,SHEN B G,XU Z Y,et al.Reduction of hysteresis loss and large magnetocaloric effect in the C- and H-doped La(Fe,Si)13 compounds aroundroomtemperature[J].JournalofApplied Physics,2012,111:07A909.

[34] ZHANG K,ZHAO J L,ZHANG H G,et al.The magnetic properties and magnetocaloric effect in LaFe11.5Al1.5Bx compounds[J].Journal of Alloys and Compounds,2014,591:143-146.

[35] PHEJAR M, PAUL-BONCOUR V, BESSAIS L. Investigation on structural and magnetocaloric properties of LaFe13-xSix(H,C)y compounds[J].Journal of Solid State Chemistry,2016,233:95-102.

[36] BARCZA A, KATTER M, ZELLMANN V. Stability and magnetocaloric properties of sintered La(Fe,Mn,Si) H alloys[J]. IEEE Transactions on Magnetics,2011,47(10):3391-3394.

[37] KRAUTZ M, MOORE J D, SKOKOV K P, et al. Reversible solid-state hydrogen-pump driven by magnetostructural transformation in the prototype system La(Fe,Si)13Hy[J]. Journal of Applied Physics,2012,112:083918.

[38] OLIVER L B, ZSOLT G, KRAUTZ M, et al. The dynamics of spontaneous hydrogen segregation in LaFe13-xSixHy[J].Journal of Applied Physics,2014,115:203905.

[39] BASSO V,MICHAELA K,CURCIO C,et al.Specific heat and entropy change at the first order phase transition of La(Fe-Mn-Si)13-H compounds[J].Journal of Applied Physics,2015,118(5):3907.

[40] HAI X Y, MAYER C, COLIN C V, et al.In-situ neutron investigation of hydrogen absorption kinetics in La(FexSi1-x)13 magnetocaloric alloys for room temperature refrigeration application[J].Journal of Magnetism and Magnetic Materials, 2016,400:344-348.

[41] SHAO Y Y, LU B F, ZHANG M X, et al. An X-ray absorption spectroscopy study of La-Fe-Si-H magnetocaloric alloys[J]. Acta Materialia,2018,150:206-212.

[42] SHEN J, GAO B, ZHANG H W, et al. Reduction of hysteresis loss and large magnetic entropy change in the NaZn13-type LaPrFeSiC interstitial compounds[J]. Applied Physics Letters,2007,91:142504.

[43] WANG G F,ZHAO Z R,JING T,et al.Enhanced magnetocaloric properties in off-stoichiometric LaxFe11.5Si1.5alloys[J].Intermetallics,2018,93:355-359.

[44] HU J, DONG Z Q, SHEN Y M, et al. Effect of excess lanthanum on corrosion and magnetocaloric property of LaFe11.5Si1.5 compounds[J].Journal of Rare Earths,2019,37(10):1116-1120.

[45] YANG J,SHAO Y Y,ZHANG M X,et al.The influence of Ce on microstructure, phase forma tion and magnetocaloric properties in off-stoichiometric La2-xCexFe11Si2 alloys[J].Intermetallics,2018,103:97-100.

[46] LIU Y F, FU X Q, YU Q, et al. Signifificant reduction of phase-transition hysteresis for magnetocaloric (La1-xCex)2Fe11Si2Hy alloys by microstructural manipulation[J]. Acta Materialia, 2021,207:116687.

[47] LAI J W, SEPEHRI-AMIN H, TANG X, et al. Reduction of hysteresis in (La1-xCex)y(MnzFe11.4-z)Si1.6 magnetocaloric compounds for cryogenic magnetic refrigeration[J]. Acta Materialia, 2021, 220:117286.

[48] LIU T,CHEN Y G,TANG Y B,et al.Structure and magnetic properties of shortly high temperature annealing LaFe11.6Si1.4 compound[J].Journal of Alloys and Compounds,2009,475:672-675.

[49] CHEN X,CHEN Y G,TANG Y B.High temperature phase transition and magnetic property of LaFe11.6Si1.4 Compound[J].Journal of Alloys and Compounds,2011,509:8534-8541.

[50] LIU J,KRAUTZ M,SKOKOV K P,et al. Systematic study of the microstructure, entropy change and adiabatic temperature change in optimized La-Fe-Si alloys[J].Acta Materialia, 2011,59:3602-3611.

[51] FUJIEDA S , FUKAMICHI K, SUZUKI S. Microstructure and isothermal magnetic entropy change of La(Fe0.89Si0.11)13 in a single-phase formation process by annealing[J].Journal of Alloys and Compounds,2013,566:196-200.

[52] CHEN X,CHEN Y G,TANG Y B.The effect of different temperature annealing on phase relation of LaFe11.5Si1.5 and the magnetocaloric effects of La0.8-Ce0.2Fe11.5-xCoxSi1.5 alloys[J]. Journal of Magnetism and Magnetic Materials,2011,323:3177-3183.

[53] NIITSU K, KAINUMA R. Phase equilibria in the FeLaSi ternary system[J].Intermetallics,2012,20:160-169.

[54] XU Z S,DAI Y T,FANG Y,et al.High-temperature phase transition behavior and magnetocaloric effect in a sub-rapidly solidifified La-Fe-Si plate produced by centrifugal casting[J].Journal of Materials Science&Technology,2018,34:1337-1343.

[55] LI Y X, WU Y C, ZHONG X C, et al. Phase constitution, microstructure evolution and magnetocaloric properties of LaFe11.8Si1.2 strip-casting flakes[J].Intermetallics,2021,139:107373.

[56] HANSEN B R, KUHN L T, BAHL C R H, et al. Properties of magnetocaloric La(Fe,Co,Si)13 produced by powder metallurgy[J].Journal of Magnetism and Magnetic Materials,2010, 322: 3447-3454.

[57] IMAIZUMIA K,FUJITA A,SUZUKI A,et al.Microstructure and magnetocaloric property of homogeneous La(FexSi1-x)13 compounds fabricated by laser fusion using a powder mixture of Fe and LaySiz compounds[J]. Journal of Alloys and Compounds, 2022,901:163706.

[58] LIU J, ZHANG P N, DAI F P, et al. A new approach to prepare spherical La-Fe-Si-Co magnetocaloric refrigerant particles[J].Scripta Materialia,2013,69:485-488.

[59] XU K,HU Y H,SONG H H,et al.Modification of magnetocaloric effect in spherical La-Fe-Co-Si compounds particles by hydrogen permeation[J].Journal of Alloys and Compounds,2022,918:165568.

[60] CHEN X,CHEN Y G,TANG Y B.The influence of different cooling processes on phase, microstructure, and magnetocaloric properties of LaFe11.6Si1.4 compounds[J]. Solid State Communications,2014,186:56-63.

[61] YANG L, ZHOU Z N, FENG S T, et al. Microstructure and magnetic property of LaFe11.6Si1.4 magnetocaloric alloys by a novel short time heat treatment[J].Intermetallics,2019,105:1-5.

[62] FU S, LONG Y, HU J, et al. Influence of the oxidation on microstructure and magnetocaloric effect of LaFe11.5Si1.5C0.2 compounds[J].Materials Letters,2013,112:149-152.

[63] HU J, DONG Z Q, SHEN Y M, et al. Effect of excess lanthanum on corrosion and magnetocaloric property of LaFe11.5Si1.5 compounds[J].Journal of Rare Earths,2019,37:1116-1120.

[64] YI O Y,ZHANG M X,YAN A,et al.Plastically deformed LaFeSi:Microstructural evolution, magnetocaloric effect and anisotropic thermal conductivity[J].Acta Materialia,2020,187(1):1-11.

[65] WANG S Y, LOVELL E, GUO L Y, et al. Environment-assisted crack nucleation in La(Fe,Mn,Si)13-based magnetocaloric materials[J].International Journal of Refrigeration,2022,135:1-4.

[66] WANG S Y,DOUGLAS J O,LOVELL E,et al.Near atomic scale chemical analysis of interfaces in a La(Fe,Mn,Si)13 based magnetocaloric material[J].Scripta Materialia,2013,224:115143.

[67] ZHANG H,SUN Y J,NIU E, et al. Enhanced mechanical properties and large magnetocaloric effects in bonded La(Fe,Si)13-based magnetic refrigeration materials[J].Applied Physics Letters,2014,104:062407.

[68] SKOKOV K P,KARPENKOV D Y,KUZMIN M D,et al.Heat exchangers made of polymer-bonded La(Fe,Si)13[J]. Journal of Applied Physics,2014,115(17):17A941.

[69] ZHANG H, LIU J, ZHANG M X, et al. LaFe11.6Si1.4 Hy/Sn magnetocaloric composites by hot pressing[J].Scripta Materialia,2016,120:58-61.

[70] LI Y Q,WU Q C,SHEN F R,et al.Mechanical and magnetocaloric properties of La(Fe,Mn,Si)13Hδ/Cu plates prepared by Cu-binding prior to hydrogenation[J].Intermetallics,2019,106:124-129.

[71] TIAN N, ZHANG N N, YOU C Y, et al. Magnetic hysteresis loss and corrosion behavior of LaFe11.5Si1.5 particles coated with Cu[J].Journal of Applied Physics,2013,113(10):103909.

[72] YOU C Y,WANG S P,ZHANG J,et al.Improvement of magnetic hysteresis loss, corrosion resistance and compressive strength through spark plasma sintering magnetocaloric LaFe11.65Si1.35/Cu core-shell powders[J].AIP Advances,2016,6(5):055321.

[73] ZHANG M X,OUYANG Y,ZHANG Y F,et al.LaFe11Co0.8Si1.2/Al magnetocaloric composites prepared by hot pressing[J].Journal of Alloys and Compounds,2020,823:153846.

[74] WANG Y X,ZHANG H,LIU E K,et al.Outstanding comprehensive performance of La(Fe,Si)13Hy/In composite with durable service life for magnetic refrigeration[J].Advanced Electronic Materials,2018,4(5):1700636.

[75] SHAO Y Y, LIU J, ZHANG M X, et al. High performance solid-state cooling materials:Balancing magnetocaloric and non-magnetic properties in dual phase La-Fe-Si[J].Acta Materialia,2017,125:506-512.

[76] RADULOV I A,KARPENKOV D Y,SKOKOV K P,et al.Production and properties of metal-bonded La(Fe,Mn,Si)13Hx composite material[J].Acta Materialia,2017,127:389-399.

[77] 张博.稀土基化合物的磁熵变及其机器学习研究[D].北京:中国科学院大学,2018.ZHANG B.Magnetic entropy change and machine learning exploration of metallic rare earth based compounds[D].Beijing:Institute of Physics Chinese Academy of Sciences,2018.

[78] MAIORINO A,DUCA M G D,TOMC U,et al.A numerical modelling of a multi-layer LaFeCoSi Active magnetic regenerator by using Artificial Neural Networks[J].Applied Thermal Engineering,2021,197:117375.

[79] PALSTRA T T M, MYDOSH J A, NIEUWEN-HUYS G J, et al.Study of the critical behaviour of the magnetization and electrical resistivity in cubic La(Fe,Si)13 compounds[J].Journal of Magnetism and Magnetic Materials,1983,36:290-296.

[80] LIANG J K, RAO G H, TANG W H, et al. Phase relations of R-T-M ternary system,crystal structure and magnetic properties of R(T,M)13 compounds (R=light rare earth; T=Co, Fe; M=Al,Si)[J].Progress in Natural Science,1996,6:641-650.

[81] YANG Y K,DENG K,XU Z S,et al.Revisiting high-temperature phase transition and magnetocaloric effect of LaFe11.6Si1.4 alloy[J].Journal of Magnetism and Magnetic Materials,2022,551:169168.

[82] FU S, LONG Y, SUN Y Y, et al. Microstructural evolution and phase transition dependent on annealing temperature and carbon content for LaFe11.5Si1.5Cx compounds prepared by arc-melting[J].In termetallics,2013,39:79-83.

[83] HU F X,GAO J,QIAN X L,et al.Magnetocaloric effect in itinerant electron metamagnetic systems[J].Journal of Applied Physics,2005,97:10M303.

[84] HU F X, SHEN B G, SUN J R, et al. Magnetic properties and magnetocaloric effect around phase boundary in La(FexAl1-x)13 compounds[J].Journal of Applied Physics,2007,101:09C525.

[85] VERSHININ A V, SERIKOV V V, KLEINERMAN N M, et al.Magneticphase transitions in La(Fe0.88SixAl0.12-x)13(x=0.033 and 0.096)compounds[J].Journal of Alloys and Compounds, 2015,621:274-282.

[86] KRAUTZ M,SKOKOV K,GOTTSCHALL T,et al.Systematic investigation of Mn substituted La(Fe,Si)13 alloys and their hydrides for room-temperature magnetocaloric application[J].Journal of Alloys and Compounds,2014,598:27-32.

[87] 宗朔通.LaFeSi 系磁致冷材料微观组织和磁性能的研究[D]. 北京:北京科技大学,2018 ZONG S T. Research on the microstructure and magnetic properties of LaFeSi series magnetic refrigerating materials[D].Beijing:University of Science&Technology Beijing,2018.

[88] MORENO-RAMÍREZ L M,ROMERO-MUÑIZ C,LAW J Y,et al.The role of Ni in modifying the order of the phase transition of La(Fe,Ni,Si)13[J].Acta Materialia,2018,160:137-146.

[89] BALLI M,FRUCHART D,GIGNOUX D.Optimization of La(Fe,Co)13-xSix based compounds for magnetic refrigeration[J]. Journal of Physics:Condensed Matter,2007,19:236230.

[90] CHEN X,CHEN Y G,TANG Y B,et al.The system study of 1:13 phase formation, the magnetic transition adjustment, and magnetocaloric property in La(Fe,Co)13-xSix alloys[J]. Journal of Magnetism and Magnetic Materials,2014,368:155-168.

[91] SHEN J, ZHAO J L. Magnetocaloric effect in La0.5Pr0.5Fe11.5Si1.5 compounds with a combined addition of Co and C[J].Journal of Applied Physics,2012,111:07A908.

[92] JIA L,SUN JR,SHEN J,DONG QY,et al.Magnetocaloric effects in the La(Fe, Si)13 intermetallics doped by different elements[J].Journal of Applied Physics,2009,105:07A924.

[93] TEIXEIRA C S,KRAUTZ M,MOORE J D,et al.Effect of carbon on magnetocaloric effect of LaFe11.6Si1.4 compounds and on the thermal stability of its hydrides[J]. Journal of Applied Physics,2012,111:07A927.

[94] CHEN Y F, WANG F, SHEN B G, et al. Large magnetic entropy change near room temperature in the LaFe11.5Si1.5H1.3 interstitial compound[J].Chinese Physics,2002,11:741-744.

[95] KUMAR P,LYUBINA J,GUTFLEISCH O.Magnetic and magnetocaloric effect in melt spun La1-xRx-Fe13-yAlyCz(R=Pr and Nd)compounds[J].Journal of Applied Physics,2009,42:205003.

[96] DIN M F M,WANG J L,STUDER A J,et al.Effects of Cr substitution on structural and magnetic properties in La0.7Pr0.3Fe11.4Si1.6 compound[J].Journal of Applied Physics,2014,115:17A942.

[97] CHEN X, CHEN Y G, TANG Y B. 1∶13 phase formation mechanism and first-order magnetic transition strengthening characteristics in(La,Ce)Fe13-xSixalloys[J].Rare Metals,2016,35(9):691-700.

[98] FUJIEDA S,FUJITA A,FUKAMICHI K.Control of large magnetocaloric effects and hysteresis of La1-zCez(Fe0.86Si0.14)13 compounds[J].IEEE Transactions on Magnetics,2005,41(10):2787-2789.

[99] FUJIEDA S,FUJITA A,FUKAMICHI K.Enhancement of magnetocaloric effects in La1-zPrz(Fe0.88 Si0.12)13 and their hydrides[J].Journal of Applied Physics,2007,102:023907.

[100]ANH D T K,THUY N P,DUC N H,et al.Magnetism and magnetocaloric effect in La1-yNdy(Fe0.88Si0.12)13 compounds[J]. Journal of Magnetism and Magnetic Materials,2003,262:427-431.

[101] XIE S H,LI J Q,ZHUANG Y H.Influence of boron on the giant magnetocaloric effect of La(Fe0.9Si0.1)13 [J]. Journal of Magnetism and Magnetic Materials,2007,311:589-593

[102]FUJITA A,FUJIEDA S,HASEGAWA Y,et al.Itinerant-electron metamagnetic transition and large magnetocaloric effects in La-(FexSi1-x)+compounds and their hydrides[J]. Physics Review B,2003,67:104416.

[103]SHEN J,WANG F,ZHAO J L,et al.Reduction in hysteresis losses and large magnetic entropy change in the B-doped La(Fe,Si)13 compounds[J].Journal of Applied Physics,2010,107:09A909.

[104]FUJIEDA S, FUJITA A, FUKAMICHI K. Large isothermal magnetic entropy change after hydrogen absorption into La0.5Pr0.5-(Fe0.88Si0.12)13[J].Advanced Materials Research, 2007,26-28:577-580.

[105]FU B,LONG Y,SHI P J,et al.Effect of praseodymium and cobalt substitution on magnetic properties and structures in La(Fe1-xSix)13 compounds[J].Journal of Rare Earths,2010,28:611-613.

[106]MANDAL K,PAL D,GUTFLEISCH O,et al.Magnetocaloric effect in reactively-milled LaFe11.57Si1.43Hy intermetallic compounds[J].Journal of Applied Physics,2007,102:053906.

[107] KRAUTZ M , SKOKOV K, GOTTSCHALL T, et al. Systematic investigation of Mn substituted La(Fe,Si)13 alloys and their hydrides for room-temperature magnetocaloric application[J]. Journal of Alloys and Compounds,2014,598:27-32.

[108]CHEN X,CHEN Y G,TANG Y B,et al.Effects of solidification rate and excessive Fe on phase formation and magnetoclaoric properties of LaFe11.6-xSi1.4[J].Transactions of Nonferrous Metals Society of China,2017,27:2015-2021.

[109]LI Y Q,HU F X,SHEN F R,et al.Excellent mechanical properties and age stability of hydrogenated La0.8Ce0.2Fe12.5Mn0.2Si1.3Hd plates with extra Fe[J].Journal of Alloys and Compounds, 2018,743:221-226.

[110] OUYANG Y, ZHANG M X, YAN A, et al. Plastically deformed LaFeSi: Microstructural evolution, magnetocaloric effect and anisotropic thermal conductivity[J]. Acta Materialia, 2020, 187:1-11.

Recent Progress and Perspectives on La(FeSi)13 Magnetocaloric Materials near Room Temperature

JIN Yibo1,WANG Jun1,WEI Tong2,LI Chao2,LI Jinshan1
(1. State Key Laboratory of Solidification Processing, Northwestern Polytechnical University, Xi' an 710072, China; 2. Xi'an Superconductiong Magnet Technology Co.,Ltd.,Xi'an 710018,China)

AbstractMagnetic refrigeration technology has attracted much attention recently due to the potential improvement in the energy efficiency and environmental benefits of traditional technology. La(FeSi)13 magnetocaloric material, as one of the magnetocaloric materials that can be applied at room temperature, has the advantages of a high magnetocaloric effect, wide adjustable temperature zone and low cost, but it is still in the research stage due to its complex preparation method and poor durability. In this review, the development of La(FeSi)13 magnetocaloric materials is briefly introduced, the influence of different element contents, as well as the influences of heat treatment, preparation methods and material recombination on the Curie temperature, magnetocaloric effect and hysteresis, are analysed and discussed, and the performance control methods are discussed in detail. Finally, the performance regulation method of near-room temperature La(FeSi)13 magnetocaloric materials is summarized and prospected, and its possible future development direction is pointed out.

Key wordsmagnetic refrigeration; magnetocaloric material; La(FeSi)13; material design

中图分类号TB64

文献标识码A

文章编号1000-8365(2023)07-0621-19

DOI10.16410/j.issn1000-8365.2023.3142

收稿日期:2023-06-03

基金项目:国家自然科学基金(52174375);国家重点研发计划(2021YFB3700009);陕西省创新能力支撑计划(2020KJXX-073)

作者简介:靳一博,1999 年生,硕士生.研究方向为近室温磁制冷材料设计.Email:auirpt@nwpu.edu.cn

通讯作者:王 军,1985 年生,博士,教授.研究方向为金属材料及其凝固行为.Email:nwpuwj@nwpu.edu.cn

引用格式:靳一博,王军,魏桐,等.近室温La(FeSi)13 型磁热材料研究现状及展望[J].铸造技术,2023,44(7):621-639.

JIN Y B,WANG J,WEI T,et al.Recent progress and perspectives on La(FeSi)13 magnetocaloric materials near room temperature[J].Foundry Technology,2023,44(7):621-639.