•试验研究•

通过超快烧结法制备高性能硒化银热电材料

廖义燕1,李盼盼1,王泽高1,周重见2,3,杨 磊1

(1.四川大学材料科学与工程学院,四川 成都 610065;2.西北工业大学材料学院,陕西 西安 710072;3.西北工业大学凝固技术国家重点实验室,陕西 西安 710072)

摘 要: Ag2Se 是一种本征热电性能和机械性能良好的n 型室温热电材料,近年来受到研究者的广泛关注。 本文将冷压工艺和碳热法相结合开发了一种超快烧结法来制备Ag2Se 块体材料,可在1 min 内完成烧结。 通过调整烧结温度,Ag2Se 样品的电输运性能可以得到调控,而超快烧工艺能够获得多孔样品,使热导率显著降低,在300 K 时,超快烧结样品的总热导率能低至0.56 W/(m·K),相比于放电等离子体烧结法制备的纯相Ag2Se 块体,降低了约44%。 最终在673 K 温度下烧结的Ag2Se 样品获得了约为0.66 的室温zT 值,与传统方法制备的室温热电材料相当。本工作展示了一种便捷、高效的热电材料烧结方法,可以制备出热电性能优异的Ag2Se 块体,同时为Ag2Se 进一步的性能优化提供了基础。

关键词: Ag2Se;室温;快速烧结;热电性能

热电技术可以实现热能和电能的直接相互转换,在缓解能源危机和减轻环境污染方面表现出极大的应用潜力,吸引了研究者的关注[1]。 热电器件在实际应用过程中具有安静、零排放、体积小和无运动部件等特点[2-3],能量转换效率由材料的无量纲参数热电优值衡量[4-6]

式中,S 和σ 分别为塞贝克系数和电导率;S2σ 为功率因子(power factor,PF);T 为绝对温度;κ 为材料的总热导率, 由电子热导率κe 和晶格热导率κl 组成,用下式表示:

zT 值越大,材料的能量转化效率越高。 近年来,随着低品级废热回收、无振动小型化制冷元件和人体可穿戴设备等应用场景的需求增多[7-8],热电材料在室温附近的器件应用逐渐突出,高性能室温热电材料受到广泛关注。

Ag2Se 是一种n 型窄带隙半导体, 电子迁移率高,具有好的本征σ 和低的κl,在室温附近表现出较优的热电性能[9-11]。 此外,Ag2Se 的组成元素Ag 和Se 元素相比Bi2Te3 拥有着较高的地壳丰度,对环境友好,且块体Ag2Se 具有较佳的力学性能[10,12-13],有望取代室温范围内研究最广泛、商业化应用较成功的Bi2Te3 基热电材料,促进室温热电材料与器件的发展。 目前报道的Ag2Se 基热电材料的制备工艺有高温熔融法(high temperature melting,HTM)[14]、湿化学法(wet chemical method,WC)结合放电等离子烧结法(spark plasma sintering, SPS)[10]、机械合金化法(mechanical alloying, MA)结合SPS[9]、手工研磨(hand grinding,HG)结合冷压法(cold pressing,CP)[15]等。 然而由于高温熔融过程的高温环境中Ag 离子易迁移,导致以上工艺控制Ag2Se 的计量比困难,工艺稳定性差;另一方面,虽然SPS 过程中脉冲电流产生的等离子体有利于加快烧结速率,但其设备较昂贵;HG 结合CP 过程快速简便, 但手工研磨影响因素过多且难以统一,致使实验的重复性不好。 因此,开发一种简单、快速,重复性高,能够保持材料化学计量比的制备工艺,有利于更高效地进一步开展热电材料本征性能和性能优化的系统、深入研究。

本研究开发了一种具有时间和成本优势的Ag2Se 热电材料制备工艺。采用溶剂热法合成Ag2Se粉体, 再通过基于冷压工艺进行粉体定形和碳热工艺进行粉体间凝固两步骤结合的超快烧结法(ultrafast sintering,US)制备成Ag2Se 块体。 物相和显微结构分析结果表明,通过US 工艺能制备纯相多孔非致密的Ag2Se 块体, 且具有不错的机械性能与稳定性。系统分析US Ag2Se 样品在300~345 K 室温区间内热电性能的演变规律后发现, 通过US 法制备的多孔Ag2Se 样品由于晶粒间融合较好, 能够保持较佳的电导率。 得益于多孔结构,热导率极低,特别是在673 K 烧结温度下制备的Ag2Se 样品拥有低至0.56 W/(m·K)的超低总热导率。 最终,在673 K 温度下烧结的Ag2Se 样品室温zT 值达到~0.66,具有很好的发展潜力。

1 实验材料与方法

1.1 实验材料

所采用的试剂分别为: 硝酸银(AgNO3, 纯度99.9%,成都科隆),硒粉(Se,纯度99.99%,上海阿拉丁),乙二醇((CH2OH)2,纯度99%,成都科隆),氢氧化钠(NaOH,纯度98%,成都科隆)。

1.2 实验方法

采用溶剂热法合成Ag2Se 粉体, 利用超快高温炉, 基于冷压法和碳热法相结合的快速烧结法,将Ag2Se 粉体烧结为块体。 制备Ag2Se 块体的流程如图1 所示。

图1 超快烧结Ag2Se 块体制备流程示意图
Fig.1 Schematic diagram of the preparation process of ultrafast sintered Ag2Se

(1)溶剂热法制备硒化银粉体 称量45 ml 的(CH2OH)2 加入100 ml 聚四氟乙烯内胆中,先后称取1.698 7 g AgNO3 和0.394 8 g Se 粉加入到乙二醇中形成浆料,搅拌15 min,再加入5 ml 浓度为10 mol/L的NaOH 溶液形成浆料,搅拌15 min。 将聚四氟乙烯内胆转移到不锈钢反应釜中, 反应釜移至高温烘箱,在503 K 温度下反应24 h,随炉冷却至室温。 使用去离子水和无水乙醇将得到的产物在高速离心机中交替清洗3 次, 将样品置于333 K 真空干燥箱中干燥12 h,得到粉体产物。

(2)冷压 将通过溶剂热法制备得到的Ag2Se 粉体称取1.50 g 装入内径为12.7 mm 的圆柱形高强模具后,置于冷压机上,在10 MPa 的压力下将粉体冷压成圆盘样品。

(3)碳热烧结 向冷压圆盘表面喷洒一层碳化硼,保护样品不会被大电流冲击造成损耗。 将处理好的圆盘样品使用碳纸包裹并装在小石英管中,置于超快高温炉腔体内,抽真空并通入氩气,反复2 次,设置好参数开始烧结(烧结温度分别设置为673、723、773、823 和873 K,烧结时间为30 s)。 烧结完成后,待腔内温度降至室温再取出样品。 清理块体样品表面并打磨抛光,根据需求将样品切割用于表征与测试。

(4)将冷压样品命名为CP,将烧结得到的块体样品分别命名为SPS-623(放电等离子体烧结,对照组),US-x(x=673、723、773、823 和873)。

1.3 表征

样品的物相结构采用X 射线衍射仪(X-Ray Diffraction,XRD-6100,日本岛津公司)来表征,测试条件为采用Cu 的Kα1 射线,波长为1.540 6 Å。 形貌通过扫描电子显微镜 (scanning electron micro scope, SEM,FEI Inspect F50)来观察。热电性能的测试温区为300~345 K,σ 和S 使用北京柯锐欧CTA-3 同时测试。 热扩散系数D 使用德国林赛斯LFA1000 基于激光闪射法测量;样品密度ρ 使用密度天平基于阿基米德排水法测试; 比热容CP 使用Dulong-Petit 值,总热导率通过式(3)计算得到:

室温霍尔系数RH 采用范德堡法测试, 样品的载流子浓度nH 和载流子迁移率μH 分别通过式(4~5)计算求得:

样品的维氏硬度HV 用维氏硬度计HV100BZ 采用压痕法测试,测试条件为1 kgf,10 s。

2 实验结果及讨论

图2(a)为烧结后得到的Ag2Se 块体的XRD 谱图。 从图中可以看到,US 烧结样品的XRD 谱图与正交相Ag2Se 的标准PDF 卡片(PDF#24-1041)相对应,与烧结前的Ag2Se 粉末相比,在38°左右发现微弱的Ag 的(111)衍射峰,可能来源于高温烧结时导致的些许Se 挥发和Ag 的迁移析出[9]。 在图中未观察到其他杂峰,峰位置也未发生偏移,表明Ag2Se 粉体样品在经过不同US 温度烧结为块体后其组成成分无明显变化。 图2(b)是Ag2Se 粉体经过冷压后的块体的SEM 照片, 可以看出,CP 样品结构不致密,这与其自身通过阿基米德排水法测定都得到的密度和致密度相符合,如表1 所示。图2(d~h)表征了不同US 温度得到的Ag2Se 块体样品的断面SEM 图,可以看出Ag2Se 块体中颗粒尺寸大约在2 μm 左右。与图2(c)中SPS 制备的致密Ag2Se 块体相比,在US样品的断面形貌中, 可以发现颗粒间存在较多的空隙,与CP 样品的形貌相似,同样呈现非致密结构。从表1 中数据可以得到,US 样品的致密度均在79%左右(与CP 样品致密度接近),低于SPS 制备的Ag2Se 块体的致密度(致密度>95%),这源于在碳热烧结过程中, 对碳纸包覆的Ag2Se 冷压圆片未施加额外的烧结压力, 使得样品保持了冷压后的非致密结构。 此外,不同US 温度下,样品的形貌结构和致密度相似,说明空隙生成受碳热烧结温度影响不大。对抛光样品进行背散射电子像观察, 也能清楚观察到孔洞的存在,如图2(i)所示,这种非致密结构能有效降低κl

表1 不同烧结温度下Ag2Se样品密度和致密度
Tab.1 Densities and relative densities of Ag2Se samples obtained with different sintering conditions

Sample IDDensity/(g·cm-3)Relative density/%CP6.53179.5 SPS-6238.13699.0 US-6736.51179.2 US-7236.42778.2 US-7736.44678.4 US-8236.48878.9 US-8736.49379.0

图2 Ag2Se 样品的物相与结构表征:(a)Ag2Se 粉末和通过US 法制备的Ag2Se 块体的XRD 谱图,(b~h)通过不同烧结方法得到的Ag2Se 块体的SEM 照片,(i)US-773 样品抛光后的背散射SEM 照片
Fig.2 Phase and structure characterization of Ag2Se samples:(a)XRD patterns of Ag2Se powder and as-sintered bulks,(b~h)SEM images of Ag2Se bulk prepared by different sintering methods,(i)backscattered SEM images of polished US-773 sample

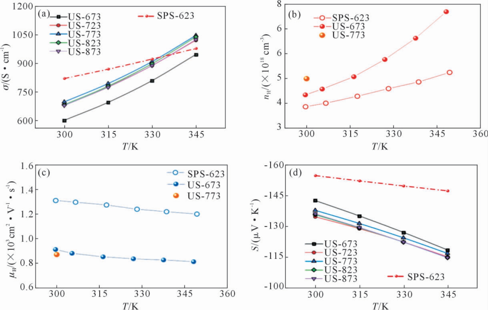
图3 是Ag2Se 样品在300~345 K 近室温区的电性能。 其中,图3(a)展示了σ 与温度相关的变化曲线,所有样品的σ 都是随温度的升高呈现上升趋势,表现为一种典型的半导体特性。从图中可以看到,随着样品的US 烧结温度从673 K 升高至723 K,样品的σ 增大,进一步提高烧结温度后(723~873 K),样品的σ 并没有显著变化,在773 K 温度下烧结的样品具有最高的σ。另外,还可以看到在300~330 K 左右的温度范围内,US 烧结样品的σ 均比SPS 烧结样品低,随着测试温度升至330 K 以上时,观察到US烧结样品的σ 急剧增大,甚至超过了SPS 烧结样品的σ。 因此,US 法制备的样品仍具有较良好的电导率。 为了进一步分析US 样品σ 的变化原因, 对SPS样品和部分US 样品进行了霍尔测试, 得到的随温度变化的nH 和μH 分别如图3(b~c)所示。 从图3(b)中可以看到,US-773 样品的nH 为4.99×1018 cm-3, 高于US-673 样品的4.34×1018 cm-3,因为高温烧结过程中Se 容易挥发[16],所以烧结温度的提升导致烧结后样品的nH 增大。 另外,US 烧结温度的提升可以促进Ag2Se 晶粒的融合,有利于电子传输,但同时颗粒中的部分气体来不及排除,又会在块体中形成孔洞散射载流子。由于缺陷和高nH 都会造成μH 的下降,如图3(c)所示,US-773 样品的μH 略微低于US-673 样品。 综合考虑电子浓度的变化及电子传输受到的影响,所以在US-773 样品中获得了最高σ,这表明优化US 温度还是能对Ag2Se 样品的σ 起到一定提升效果。从图3(b)中还能看到,US 样品的nH 在整个测试温度范围内均高于SPS 样品,这是因为在两种烧结工艺过程中Ag+的活动性不同, 制备出的Ag2Se块体的化学计量比有偏差, 电子能带结构存在差异,导致nH 的不同[17-18]。如图3(c)所示,US 样品的μH均低于SPS 样品, 这是由于US 制备的Ag2Se 样品是非致密结构块体, 其中的缺陷数量高于SPS 样品,对电子传输的阻碍影响更大,使样品的μH 降低。在室温时,我们发现US 样品的nH 的增加并未补偿到μH 降低对σ 的影响,所以室温时US 样品的σ 低于SPS 样品。 Ag2Se 材料的σ 升高由载流子的热激发造成,从图3(b)中观察到当测试温度提高时,由于电子能带结构的不同,US 样品的热激发相比SPS样品更加剧烈,nH 增加得更快, 所以随着温度的升高,US 样品的σ 急剧上升, 逐渐高于SPS 样品。图3(d)所示为US 样品的ST 的变化曲线,所有样品的S 均显示为负值, 这表明所制备的Ag2Se 样品均为n 型半导体,且样品的S 绝对值均随着温度的升高而减小。此外,由于烧结温度和电子能带结构不同造成的nH 差异也反映在S 上。nH 高和电子传输受到的散射强烈使得US 样品的S 绝对值均低于SPS 样品,US-773 样品具有最高的nH 和最低的μH,所以相比较起来它具有低的S。 热激发加剧的情况也致使US 制备样品的S 绝对值降低的幅度明显大于SPS 制备的Ag2Se。

图3 不同烧结温度下Ag2Se 样品随温度变化的电性能:(a)电导率,(b)塞贝克系数,(c)霍尔载流子浓度,(d)霍尔迁移率
Fig.3 Temperature-dependent electrical properties of Ag2Se samples with different sintering temperatures:(a)electrical conductivity,(b)Seebeck coefficient,(c)Hall carrier concentration,(d)Hall mobility

图4 为Ag2Se 块体样品的热性能。 从图4(a)中可以看出,在整个测试温度范围内,所有样品的κ都是随温度升高而升高, 但由于US 烧结样品的非致密结构, 使得其κ 与SPS 样品相比极低,均低于0.75 W/(m·K),甚至在300 K 时最低达到了0.56 W/(m·K),比SPS 烧结的Ag2Se 样品的最低κ(0.98 W/(m·K),300 K 时降低了约44%。 为了深入分析这些样品的κ,κe 通过下式的Wiedemann-Franz定律计算得到:

图4 不同烧结温度下Ag2Se 样品的热性能:(a)总热导率,(b)电子热导率,(c)晶格热导率,(d)zT
Fig.4 Temperature-dependent thermal properties of Ag2Se samples with different sintering temperatures:(a)total thermal conductivity,(b)electronic thermal conductivity,(c)lattice thermal conductivity,(d)zT values

式中,L 为洛伦兹常数,由式(7~9)计算得到:

式中,kB 为玻尔兹曼常数;e 为元电荷;r 为散射因子;η 为约化费米能级;χ 为约化载流子能量;Fn(η)为费米积分。 图4(b)是计算得到的κe,κe 的走势与σ 相似,这是因为不同样品的L 相差不大,所以κe 值几乎取决于σ。在忽略双极热导率的情况下,用κ-κe 就能得到κl,如图4(c)所示。 所有样品具有极低的κl,在300 K时,κl 低至0.24~0.28 W/(m·K),在345 K 时,κl 低至0.06~0.14 W/(m·K),其中0.06 W/(m·K)的超低κl 有部分来源于目前的计算方法导致L 被高估,尤其是本样品中在345 K 时的高σ 更加放大L 的高估对κe 的影响,从而使得κl 的值极低。Ag2Se 本身就具有低κl, 而利用溶剂热法结合US 烧结得到的样品则具有更低的κl。 US 烧结样品中的超低κl 不仅得益于的本征低κl, 也得益于其非致密块体结构中的空隙和孔洞造成的强的声子散射。 图4(d)是根据σ,S和κ 计算得到的zT 值,US 烧结样品的zT 在整个测试温度区间内与SPS 样品相当, 其中,US-673 样品在300 K 时的zT 值为0.66,高于SPS 制备的Ag2Se块体的室温zT

US 法制备的Ag2Se 样品具有与SPS 法相当的近室温区zT 值,但在实际应用中还要注重在一个温度区间的平均zT 值。 图5(a)是Ag2Se 块体样品在300~345 K 温度区间内的平均zT 值,从图中可以看出,US 法制备的Ag2Se 样品在近室温区的平均zT值(0.649)略高于SPS 制备的样品(0.623),表明US法制备的样品也有望用于热电器件的搭建。近年来,热电材料的力学性能逐渐被重视。 为了研究非致密结构对样品机械性能的影响, 采用压痕法测量了不同制备方法和不同US 温度下得到样品的维氏硬度HV,如图5(b)所示,US 样品的HV 虽略高于商业n 型Bi2Te3 基材料[19],但相比其他传统的Ag2Se 制备工艺还有很大的提升空间, 未来需要进一步考虑采用一些力学性能强化策略便于更好地进行器件应用。为了保证热电器件在工作温度下的使用寿命,对通过US 法制备得到的Ag2Se 块体材料进行热稳定性测试。 以具有最高zT 值的US-773 样品为例,在其最高zT 值所在温度(345 K)下连续16 h,间隔6 min 测量1 次σ 和S,如图5(c)所示,在整个测试过程中σ 和S 的值几乎没有波动, 表明US 法烧结的Ag2Se 块体在近室温区使用过程中可以保持优异的热稳定性。

图5 不同US 温度下Ag2Se 块体样品的使用性能:(a)在300~345 K 之间的zT 平均值,(b)维氏硬度和商业Bi2Te3 基材料的维氏硬度,(c)连续16 h 在345 K 下对US-773 样品的电导率和塞贝克系数的热稳定性测试
Fig.5 Evaluation of the application performance of US samples:(a)average zT values between 300~345 K,(b)Vickers hardness compared to commercial Bi2Te3-based materials,(c)thermal stability test of σ and S coefficient for US-773 sample at 345 K for 16 h

3 结论

(1)US 制备的Ag2Se 块体是非致密多孔结构,其致密度应与冷压时所施加的压力有关, 调控US温度对晶粒尺寸与结构的影响效果微弱。

(2)非致密的Ag2Se 块体由于结构缺陷的散射导致载流子输运受到阻碍, 其电性能会低于SPS制备的致密Ag2Se 块体的电性能。 然而缺陷结构对声子的散射增强效果以及非致密结构显著降低了样品的热导率(300 K 时,在US-673 样品中获得了~0.56 W/(m·K)的低总热导率),可以补偿电性能,最终获得了与SPS 制备的块体样品相当甚至略高的室温zT 值(在US-673 样品中,室温zT 值为~0.66)。

(3)US 法合成的Ag2Se 块体极具潜力, 但nH 较高是影响其更高zT 值的关键所在,若能降低Ag2Se块体的载流子浓度,则能够进一步优化其室温zT 值和近室温范围内的平均zT 值,有望取代其他室温热电材料,促进室温热电器件的应用发展。

参考文献:

[1] HOOSHMAND ZAFERANI S, JAFARIAN M, VASHAEE D, et al.Thermal Management systems and waste heat recycling by thermoelectric generators—an overview[J]. Energies, 2021, 14(18):5646.

[2] SHI X L, ZOU J, CHEN Z G. Advanced thermoelectric design:From materials and structures to devices[J]. Chemical Reviews,2020,120(15):7399-7515.

[3] YAN Q Y,KANATZIDIS M G.High-performance thermoelectrics and challenges for practical devices[J].Nature Materials,2022,21(5):503-513.

[4] 赵立东,王思宁,肖钰. 热电材料的载流子迁移率优化[J]. 金属学报,2021,57(9):1171-1183.ZHAO L D, WANG S N, XIAO Y. Carrier mobility optimization in thermoelectric materials[J]. Acta Metallurgica Sinica, 2021,57(9):1171-1183.

[5] YANG L,CHEN Z G,DARGUSCH M S,et al.High performance thermoelectric materials: Progress and their applications[J]. Advanced Energy Materials,2018,8(6):1701797.

[6] QIN B C,WANG D Y,LIU X X,et al.Power generation and thermoelectric cooling enabled by momentum and energy multiband alignments[J].Science,2021,373(6554):556-561.

[7] DING J M,ZHAO W R,JIN W L, et al. Advanced thermoelectric materials for flexible cooling application[J]. Advanced Functional Materials,2021,31(20):2010695.

[8] LI L, LIU W D, LIU Q, et al. Multifunctional wearable thermoelectrics for personal thermal management[J].Advanced Functional Materials,2022,32(22):2200548.

[9] CHEN J,SUN Q,BAO D Y,et al.Hierarchical structures advance thermoelectric properties of porous n-type β-Ag2Se [J]. ACS Applied Materials&Interfaces,2020,12(46):51523-51529.

[10] WANG H Y, LIU X F, ZHOU Z Z, et al. Constructing n-type Ag2Se/CNTs composites toward synergistically enhanced thermoelectric and mechanical performance[J]. Acta Materialia, 2022,223:117502.

[11] LIANG J S,QIU P F,ZHU Y,et al.Crystalline structure-dependent mechanical and thermoelectric performance in Ag2Se1-xSx system[J].Research,2020,2020:6591981.

[12] WANG H Y, HAN G, ZHANG B, et al. AgSbSe2 inclusions enabling high thermoelectric and mechanical performance in n-type Ag2Se-based composites[J].Acta Materialia,2023,248:118753.

[13] CHEN J, SUN Q, BAO D Y, et al. Simultaneously enhanced strength and plasticity of Ag2Se-based thermoelectric materials endowed by nano-twinned CuAgSe secondary phase[J].Acta Materialia,2021,220:117335.

[14] JOOD P, CHETTY R, OHTA M. Structural stability enables high thermoelectric performance in room temperature Ag2Se[J].Journal of Materials Chemistry A,2020,8(26):13024-13037.

[15] YANG D W,SU X L,MENG F C, et al. Facile room temperature solventless synthesis of high thermoelectric performance Ag2Se via a dissociative adsorption reaction[J]. Journal of Materials Chemistry A,2017,5(44):23243-23251.

[16] ZHAI R S,WU Y H, ZHU T J, et al. Thermoelectric performance of p-type zone-melted Se-doped Bi0.5Sb1.5Te3 alloys[J].Rare Metals,2018,37:308-315.

[17] LIU J Y,CHEN L,WU L M.Ag9GaSe6:High-pressure-induced Ag migration causes thermoelectric performance irreproducibility and elimination of such instability[J]. Nature Communications, 2022,13(1):2966.

[18] FANG C M, DE GROOT R A, WIEGERS G A. Ab initio band structure calculations of the low-temperature phases of Ag2Se,Ag2Te and Ag3AuSe2[J].Journal of Physics and Chemistry of Solids,2002,63(3):457-464.

[19] 潘瑜. 碲化铋基热电材料的热电输运特性和性能优化研究[D].北京:清华大学,2018.PAN Y. Optimization of thermoelectric transport properties and performance of bismuth telluride based thermoelectric materials[D].Beijing:Tsinghua University,2018.

Preparation of High-performance Silver Selenide Thermoelectric Materials by an Ultrafast Sintering Method

LIAO Yiyan1,LI Panpan1,WANG Zegao1,ZHOU Chongjian2,3,YANG Lei1
(1. School of Materials Science and Engineering, Sichuan University, Chengdu 610065, China; 2. School of Materials,Northwestern Polytechnical University, Xi'an 710072, China; 3. State Key Laboratory of Solidification Technology,Northwestern Polytechnical University,Xi'an 710072,China)

Abstract: Ag2Se is an n-type room temperature thermoelectric material with excellent intrinsic thermoelectric and mechanical properties and has received increasing attention from researchers in recent years. In this study, we have developed an ultrafast sintering method to prepare Ag2Se bulk materials combining the cold pressing process and the Joule-heating method, which can be completed in less than one minute. By modifying the sintering temperature, the electrical transport properties of the Ag2Se samples can be tuned. The ultrafast sintering process maintains the porous structure of the cold pressed samples, resulting in a significantly reduced thermal conductivity as low as 0.56 W/(m·K) at 300 K, which is ~44% lower than that of the Ag2Se bulk prepared by using the spark plasma sintering method. Eventually,a room-temperature zT value of ~0.66 is obtained in ultrafastsintered Ag2Se at 673 K, which is comparable to the room-temperature thermoelectric materials prepared by conventional methods. This work proposes a convenient and efficient method for sintering thermoelectric materials with promising thermoelectric performance.

Key words: Ag2Se; room temperature; ultrafast sintering; thermoelectric performance

中图分类号: TB34

文献标识码: A

文章编号: 1000-8365(2023)06-0576-07

DOI: 10.16410/j.issn1000-8365.2023.3094

收稿日期: 2023-04-18

基金项目: 国家自然科学基金(52002254,52272160);西北工业大学凝固技术国家重点实验室开放课题(SKLSP202210)

作者简介: 廖义燕,1999 年生,硕士生.研究方向:室温热电材料性能优化研究工作.电话:15008413454,Email:liaoyiyan@stu.scu.edu.cn

通讯作者: 杨 磊,1986 年生,博士,副教授.研究方向:高性能热电材料的纳米化合成及表征研究工作.电话:18585135266,Email:lyang1986@scu.edu.cn

引用格式: 廖义燕,李盼盼,王泽高,等.通过超快烧结法制备高性能硒化银热电材料[J].铸造技术,2023,44(6):576-582.

LIAO Y Y,LI P P,WANG Z G,et al.Preparation of high-performance silver selenide thermoelectric materials by an ultrafast sintering method[J].Foundry Technology,2023,44(6):576-582.