电场辅助镁锰超疏水类水滑石膜的制备及耐蚀性研究

张兆裕1,黄 予1,王 燕1,孙天逸1,汪永民1,2,巴志新1,2

(1.南京工程学院材料科学与工程学院,江苏 南京 211167;2.江苏省先进结构材料与应用技术重点实验室,江苏 南京 211167)

摘 要:为了进一步提升镁合金作为生物医用材料的临床应用,本研究采用电场辅助法在ZK60 镁合金表面制备了超疏水类水滑石膜(SH)以提高耐蚀性,并用X 射线衍射仪(XRD)、扫描电镜(SEM)分析了膜层的表面成分和形貌,实验结果表明膜层表面主要成分为肉豆蔻酸钙(Ca[CH3(CH2)12COO]2)和镁锰类水滑石膜(Mg6Mn2(OH)16CO3·4H2O)。用电化学测试和接触角测试表征了膜层的耐蚀性,最佳制备工艺下超疏水膜层试样接触角达到152.5°,腐蚀电流密度(4.73×10-7 A·cm-2)与基体(6.53×10-5 A·cm-2)相比下降了约2 个数量级,显著减缓了镁合金基体在模拟体液(SBF)中的降解速率。

关键词:镁合金;电场辅助;耐蚀性;超疏水;类水滑石

由于镁(Mg)及其合金密度低,比刚度和比强度较高,被誉为“21 世纪的绿色工程材料”,广泛应用在汽车制造、航空领域及3C 产业中[1-3]。此外,镁合金具有和人体相似的密度和弹性模量,常用于骨科植入物。ZK 系镁合金为商用镁合金,因其以Zn、Zr作为强化元素,在保留镁合金性能的同时,Zn 元素增强了镁合金的耐蚀性,Zr 元素可以细化晶粒,提升基体的强度,从而受到广泛关注。其代表为ZK60镁合金,该合金具有优异的生物相容性和可降解性,正成为一种具有广阔应用前景的生物医用植入材料[4],然而相对于其他金属材料,Mg 合金腐蚀电位较低[5]、耐蚀性较差,导致降解速率过快。目前对Mg合金进行表面处理是常用的方法,如微弧氧化、离子注入、化学转化膜等技术。Lin 等[6]对ZK60 镁合金进行微弧氧化处理,基体的降解速率明显降低。Jin 等[7]将Nd 注入稀土镁合金WE54 获得光滑疏水表面,注入样因含有Nd2O3 和MgO 的防护性梯度层,使其在模拟体液(simulated body fluid,SBF)和细胞培养液中腐蚀减缓。Gao 等[8]在Mg-Li 合金表面制备了均匀植酸转化膜,相较基体植酸膜试样腐蚀电流密度降低了3 个数量级,有效改善了耐蚀性。以上几种镁合金表面处理方法虽然都能够提高基体的耐蚀性能,但工艺成本较高,且会产生对环境有害的离子如Nd3+

水滑石(layered double hydroxide, LDH)是一种具有层状结构的阴离子插层黏土材料,(OH)2]x+(An-)x/n·mH2O 为其表达式,M2+和M3+分别为二价和三价金属离子,具有同晶替代性,即可以通过取代形成不同特性的化合物[9];An-为夹层阴离子;n 是夹层阴离子的电荷;x 是M3+/(M2++M3+)摩尔比;m 是相关水分子的数量。LDHs 独特的层间阴离子交换能力使其能够捕获Cl-等侵蚀性阴离子,延缓腐蚀反应[10]。Wu 等[11]采用电化学沉积法在AZ91D镁合金表面制备Zn-Al LDHs,经测试该涂层可有效抑制阴极析氢反应,使得腐蚀电位上升,腐蚀电流密度下降一个数量级,为镁合金基底提供了更好的防腐保护。Lin 等[12]采用一步浸泡法将AZ91D镁合金在碳酸溶液中浸泡24 h 制备了Mg-Al LDHs,实验结果表明腐蚀性Cl-阴离子的捕获和镁合金表面水滑石结构的抗分解能力可提高基体的耐蚀性。Peng等[13]在JDBM 镁合金上,通过水热法将Mg-Al LDHs引入到Mg(OH)2 涂层中,通过测试发现涂层的腐蚀电位(-1.5 V)相较于基体腐蚀电位(-1.8 V)更正,证明了涂层具有良好的耐蚀性。实验还发现该涂层让合金的抗蚀性和体外细胞的粘附性得到了巨大的优化和提升。然而,LDHs 表面疏松多孔,所以Cl-等腐蚀介质会通过裂纹进入基体,同时由于铝是对人体有害的元素,限制了其在生物医用植入材料领域的发展[14-15]

锰是人体重要的微量元素之一,在生物应用中起着多种作用,例如参与蛋白质和核酸的合成,以及通过参与碳水化合物的代谢和骨结构中粘多糖的合成来促进自身的生长和发育。Bigi 等[16]认为,与不含Mn 的羟基磷灰石(hydroxyapatite,HA)涂层相比,Mn2+离子的存在通过构象变化增加了整联蛋白的配体结合亲和力。此外,锰缺乏会削弱成骨细胞的活性,从而导致成骨过程延迟,导致骨骼变形,生长抑制,运动协调性降低。因此,在生物镁合金表面制备镁锰类水滑石膜在生物医用方面有较好的应用前景。

近年来,构建超疏水表面(superhydrophobic,SH)以提高材料在防腐蚀[17]、油水分离[18]、防污[19]等方面的应用价值,已得到了广泛关注和探究。接触角大于150°且滚动角小于10°的表面被定义为超疏水表面[20],它能为基体提供一层空气膜,从而有效地防止表面与水介质或潮湿的空气接触发生腐蚀,有效提高耐腐蚀性。Gao 等[21]采用水热法在AZ31 镁合金上制备了分层结构纤维状硼镁石薄膜,通过氟烷基硅烷改性后,接触角为166°,膜层腐蚀电流密度为(9.71×10-8 A·cm-2),比镁合金基体(4.81×10-5 A·cm-2)和硅镁石膜层(2.23×10-5 A·cm-2)的腐蚀电流密度降低了3 个数量级以上,为镁合金提供良好的保护作用。然而大多数在镁合金上制备超疏水表面的方法存在价格昂贵、工艺周期长、工艺步骤繁琐等缺点,而电场辅助可以提高离子沉积的速率,改善膜层的结构和成分,有效缩短膜层制备时长[22]。超疏水膜层的制备条件为低表面能表面和微纳粗糙结构组合[23]

本研究采用酸碱两步法浸泡工艺,以ZK60 镁合金为基体材料,在其表面制备生物相容性较好的Mg-Mn LDH,提供了微纳粗糙结构;以低表面能物质肉豆蔻(CH3(CH2)12COOH,MA)和CaCl2 为电解液进行电场辅助修饰得到超疏水表面,并通过改变电场辅助时间研究了膜层的成分、结构及性能的演变规律。电场辅助条件相较于普通浸泡法(浸泡时间2 h)可有效促进反应的进行,极大地缩短了时间,改善了制备工艺。

1 实验材料与方法

1.1 实验材料

对ZK60 镁合金(含6%Zn,0.6%Zr(质量分数))试样进行预处理。使用W50、W20、W10、W5 SiC 砂纸磨砂至表面划痕一致,并去除氧化物和杂质,再使用无水乙醇超声清洗5 min,静置风干。

1.2 膜层制备

采用酸碱两步浸泡法制备LDH,制备0.025 mol/L MnCl2 的溶液,然后通入CO2 气体5 min 以获得溶液A,再配置0.5 mol/L Na2CO3 形成溶液B。将预处理后的镁基体置于50 ℃的酸性溶液A 中浸泡2 h,以溶解镁基体并提供Mg2+,反应形成前驱体膜。然后将该样品取出并浸泡在50 ℃恒温的碱性溶液B中反应20 h,最终获得Mg-Mn LDHs。

为了获得表面超疏水性,以0.05 mol/L CaCl2 和0.05 mol/L MA 乙醇溶液为电解液对LDHs 进行表面改性,LDHs 试样作为阴极,石墨片作为阳极,两个电极之间距离2 cm,采用直流电源,恒定电流为50 mA,恒定电压为30 V,电解液温度为50 ℃,电沉积时间分别为10、20、30 min,最终试样分别表示为10、20、30 min-SH。将改性后的样品取出,用去离子水洗净后在室温下干燥。普通浸泡法为获得表面超疏水性,需对所制备水滑石膜样品进行肉豆蔻酸改性,即浸泡于肉豆蔻酸溶液中,恒温50 ℃保持2 h。

1.3 表征测试方法

通过X 射线衍射仪(XRD,UltimaIV,Rigaku)对样品进行激光检测,使用Cu 靶进行衍射,扫描角度2θ 为:5°~80°,扫描速率:5(°)/min。采用红外吸收光谱仪(FT-IR,Nicolet Is 10,Thermo)研究涂层中物相化学键或官能团,扫描范围为4 000~400 cm-1。用配有能谱仪的扫描电子显微镜(SEM,JSM-6360LV,JEOL)观察膜层表面微观形貌,并测试试样区域元素组成及相对含量。

采用JY-82C 型接触角测试仪测试样品的接触角。使用CCD 型照相机用于测试和记录。该实验利用SBF 溶液测试,溶液成分如表1 所示,体积为3 μL,并用量角法记录数值,拍摄前静置30 s,为了数据的可靠性至少在3 个不同的位置测量3 次。

表1 SBF溶液化学成分
Tab.1 Chemical composition of SBF solution

CompositionContent/(g·L-1)NaCl8.00 KCl0.40 MgCl2·6H2O0.10 Na2HPO4·12H2O0.06 CaCl20.14 NaHCO30.35 KH2PO40.06 MgSO4·7H2O0.06 Glucose1.00

采用美国PARSTAT 2273 型电化学工作站(Ametek)表征样品电化学腐蚀行为。实验采用标准三电极体系,试样为工作电极(测试面积为1 cm2),金属铂片为对电极,饱和KCl 甘汞电极(saturated calomel electrode,SCE) 为参比电极,SBF 为腐蚀电解质溶液,测试温度为室温。

开路电位测试开始时,首先需要测定试样的开路电位(open circuit potential,OCP)。电化学阻抗谱(electrochemical impedance spectroscopy,EIS)是研究材料界面结构和表面化学性质的有力工具[24]。进行阻抗-频率扫描,扰动电位为10 mV,扫描频率范围100 000~100 kHz。通过Zsimpwin 软件对EIS 进行数据拟合,分析膜层腐蚀过程。极化曲线扫描电位范围为-1.9~-1.2 V(vs.OPC),扫描速度为5 mV/s,极化曲线测试完成后使用线性拟合法计算测试样品的腐蚀电位(Ecorr)和腐蚀电流密度(icorr)。

2 结果与分析

2.1 表面形貌及润湿性

图1 为Mg-Mn LDHs 和不同电场辅助时间超疏水膜层SEM 图。图1(a)中的LDHs 膜层表面均匀平整,由紧密堆积的纳米片层状结构组成,纳米层的长度约为3 μm,宽度约为30~50 nm。而电沉积修饰后得到的超疏水膜层形貌变化较大,表现为类似玫瑰花瓣的微纳米簇状结构。电场辅助刚开始时,由于低表面能物质只有部分沉积到LDHs 表面,因此表面呈现不均匀的沟壑结构。电沉积时间为20 min 时,膜层生长完全,颗粒状结构分布均匀致密,表面无孔洞和裂纹,膜层表面均匀完整,能够有效阻挡裂纹的进入(图1(c));而电沉积时间过长则导致膜层表面物质沉积疏松,致密度下降。当电沉积时间为30 min时如图1(d)所示,膜层中每部分类似玫瑰花瓣的簇状结构被层片状结构包围,结构发生较大变化,膜层表面物质变得疏松,变成杂乱的条状颗粒且被拉长,玫瑰花瓣状的纳米簇状结构逐渐消失,膜层质量下降。SH 形貌发生变化是由热力学因素和动力学因素共同作用引起的。随着电沉积时间延长,膜层形貌由不均匀的沟壑结构到均匀致密的颗粒状结构,随着时间进一步增加,膜层表面物质被拉长,纳米簇状结构消失,这就是热力学因素。而动力学因素是指电场的加入使得反应速率比普通浸泡法快。

图1 不同电场辅助时间形成的Mg-Mn LDHs 和超疏水类水滑石膜的SEM 图:(a)Mg-Mn LDHs,(b)10 min-SH,(c)20 min-SH,(d)30 min-SH
Fig.1 SEM images of Mg-Mn LDHs and superhydrophobic layer double hydroxide film formed at different electric field assisted time:(a)Mg-Mn LDHs,(b)10 min-SH,(c)20 min-SH,(d)30 min-SH

LDHs 及不同电场辅助时间形成的SH 接触角变化曲线图如图2 所示,LDHs 的组成成分是一种无机化合物,无机化合物的比表面能比较高,其表面存在亲水性羟基-OH,因此其表面呈与水接触时表现为一种亲水的状态[25],水与表面接触时角度达到(9.6±3.5)°。用于作对照的MA 改性后未经电场辅助的超疏水膜层接触角为(152.2±2.1)°,而经MA 改性后不同时间电场辅助超疏水膜层(10,20,30 min-SH)表面接触角分别达到 (139.3±2.4)°,(152.5±2.3)°和(134.5±2.8)°。电场辅助时间为20 min 时,试样的静态水接触角超过150°,为超疏水状态,能为基体提供良好的保护作用。膜层表面具有超疏水的原因是,水滑石的表面具有粗糙的微纳结构,在水滑石表面的粗糙结构之上进行低表面能修,使膜层表面与水接触时的角度变大,使得膜层的表面疏水性提高并达到超疏水的效果。改性后的试样接触角随着电场辅助的时间先增加后减小,这是因为电场辅助刚开始时LDHs 表面的微纳结构与MA 的低表面能修饰协同作用,使得膜层的表面疏水性提高并达到超疏水的效果,致密度上升;但当电沉积时间超过20 min,由于电沉积时间过长,膜层结构变得疏松且致密度下降,导致接触角下降,这与SEM 分析结果一致。

图2 Mg-Mn LDHs 及不同电沉积时间下超疏水膜的接触角变化曲线
Fig.2 Contact angle variation curve of Mg-Mn LDHs and superhydrophobic film at different electrodeposition time

2.2 膜层成分

图3 为LDHs 和超疏水膜层(20 min-SH)的XRD图谱,2θ=32.2°、34.4°、36.6°位置的衍射峰分别对应Mg 的(100)、(002)、(101)晶面,而2θ=11.3°、22.9°位置分别对应于Mg-Mn LDHs 的(003)、(006)晶面,是Mg6Mn2CO3(OH)16·4H2O 的特征衍射峰[26],这证明通过浸泡法在ZK60 上成功获得了LDHs 涂层,酸性溶液A 溶解镁基体并提供了Mg2+离子。此外,SH还显示出一系列可分别归属于MnO(OH)、Mg6Mn2CO3-(OH)16·4H2O 和Ca[CH3(CH2)12COO]12 的特征衍射峰,说明电沉积改性获得了超疏水膜层,并且在形成过程中产生了MnO(OH)、Mg6Mn2CO3(OH)16·4H2O和Ca[CH3(CH2)12COO]12,电解液中的Ca2+与电离的CH3(CH2)12COO-形成了Ca[CH3(CH2)12COO]12,并沉积在基体表面上。此外,在2θ=21.2°的衍射峰对应MnO(OH)的(110)晶面;在2θ=6.5°和24.6°位置的衍射峰对应Ca[CH3(CH2)12COO]12,这表明在LDHs 上成功制备了超疏水Mg-Mn 类水滑石膜层。

图3 类水滑石膜和电场辅助超疏水膜层的XRD 图
Fig.3 XRD patterns of LDH andel ectric field-assisted superhydrophobic layer double hydroxide film

2.3 耐蚀性

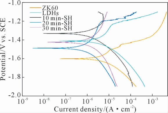
通过电化学测试分析ZK60、LDHs 以及不同电沉积时间形成的SH 试样在SBF 中的瞬时耐蚀性。通常试样腐蚀电位Ecorr 越大,腐蚀电流密度icorr 越小,耐蚀性越高。图4 为试样的动电位极化曲线图,Ecorricorr 的数值如表2 所示。LDHs 的腐蚀电位与ZK60相比正移,腐蚀电流密度(5.97×10-6 A·cm-2)下降约一个数量级,这表明LDHs 的阴离子交换性将Cl-等腐蚀性介质滞留在层板间,对基体有一定的防护效果。经电场辅助的超疏水试样的耐蚀性进一步提升,最佳试样20 min-SH(4.73×10-7 A·cm-2)的腐蚀电流密度较LDHs 下降了一个数量级,这表明超疏水表面能够在基体表面形成空气膜,将腐蚀溶液SBF 隔离在基体外,显著提升了基体的耐蚀性。

图4 ZK60 镁基体、类水滑石膜和不同电沉积时间的超疏水涂层在模拟体液中的极化曲线图
Fig.4 Polarization curves of the ZK60 magnesium substrate,layer double hydroxide film and superhydrophobic film at different electrodeposition times in SBF

表2 基于不同试样的极化曲线拟合后所得的腐蚀电流密度与腐蚀电位
Tab.2 Corrosion current density and corrosion potential based on polarization curve fitting of different samples

SampleEcorr/Vicorr/(A·cm-2)ZK60-1.606.53×10-5 LDHs-1.475.97×10-6 10 min-SH-1.453.10×10-6 20 min-SH-1.404.73×10-7 30 min-SH-1.431.10×10-6

通过EIS 测试进一步研究膜层在SBF 中的腐蚀行为,图5~6 分别为不同试样的Nyquist 图和Bode 图,其中点为实际测得的数据,实线为拟合后得到的数据。通常Nyquist 图中试样的电容弧直径越大,试样的耐蚀性越强。SH 试样的电容弧直径明显比ZK60 以及LDHs 试样大,表明超疏水作用显著提升了基体的耐蚀性,与极化曲线结果相符。通常低频阻抗膜值|Z|(f=0.1 Hz)越大,越能有效抑制Cl-等腐蚀介质进入镁基体,降低镁基体的腐蚀速率。20 min-SH(65 000 Ω·cm2)试样和ZK60(2 500 Ω·cm2)相比具有最大的阻抗值,耐腐蚀性最佳,可有效保护基体。

图5 ZK60 镁基体、类水滑石膜以及不同电沉积时间下SH的Nyquist 图
Fig.5 Nyquist diagrams of the ZK60 magnesium substrate,layered double hydroxide film and SH at different electrodeposition time

图6 不同电沉积时间下SH 的Bode 图
Fig.6 Bode diagram of SH at different electrodeposition time

图7 为使用ZsimpWin 软件拟合得到的等效电路图,拟合后的相关数据如表3 所示。由于膜层多孔且粗糙度不同等原因而导致电流变化分布不均匀,致使产生时间常数的弥散效应,因此纯电容C 用常相位角原件CPE 代替[10]。通常电荷转移电阻Rct 值越大表明基体对侵蚀性离子的抵抗能力越强,即膜层的保护效果越好。Cdl 代表膜层与基体间的双电层电容。RsRf 分别为溶液电阻和膜层电阻,缓蚀效率(η)可由下式计算得到:

图7 ZK60、LDHs 和SH 在电化学阻抗测试中的等效电路:(a)ZK60,(b)LDHs,(c)SH
Fig.7 Equivalent circuits of ZK60,LDHs and SH in the electrochemical impedance test:(a)ZK60,(b)LDHs,(c)SH

表3 不同试样基于等效电路模型拟合后的EIS参数
Tab.3 EIS parameters of different samples based on equivalent circuit model fitting

SampleZK60LDHs 10 min-SH 20 min-SH 30 min-SH Rs/(Ω·cm2)98.65106.935.2157152 Rf1/(Ω·cm2) 170.62 1524 2475 0343 578 Cdl/(F·cm-2) 4.03×10-5 5.05×10-4 3.14×10-7 1.54×10-7 1.45×10-7 Rct/(Ω·cm2) 384.9605.82 5794 0333 343 Rf2/(Ω·cm2)--212.4252178.9 η/%-36.4885.0790.4688.49

由表3 得20 min-SH 的Rct 值最大为4 003Ω·cm2,远高于ZK60 基体(384.9 Ω·cm2),且SH-20 min 的η高达90.46%,这表明20 min-SH 试样对侵蚀性离子的抵抗能力最强,耐腐蚀性最好。

2.4 防护机理

图8 为超疏水表面在SBF 中的耐蚀机理模型。腐蚀介质与超疏水表面接触时,超疏水微纳结构中的间隙使空气不能运动,使腐蚀介质和超疏水膜层中间多了一层空气膜[27],导致腐蚀离子如Cl-等很难往基体方向移动并扩散进入基体,避免腐蚀在表面发生,提高了镁合金基体的耐腐蚀性能。随着反应时间的延长,超疏水膜层逐步降解,但LDH 的物理阻隔作用和离子交换性为基体继续提供保护,将Cl-等腐蚀性离子滞留在层板间,延缓了腐蚀进程。然而随着浸泡时间不断延长,膜层逐步降解并脱落,导致腐蚀介质与基体接触。

图8 超疏水膜层腐蚀机理
Fig.8 Corrosion mechanism of superhydrophobic film

3 结论

(1)本文采用电场辅助手段,成功在纯镁表面制得主要成分为肉豆蔻酸钙(Ca[CH3(CH2)12COO]2)和镁锰类水滑石(Mg6Mn2(OH)16CO3·4H2O)的超疏水膜。制得的膜层可有效提高基体在模拟体液中的耐蚀性。

(2)SH 制备的最佳电沉积时间为20 min,其静态接触角最大为(152.5±3.4)°,腐蚀电流密度(4.73×10-7 A·cm-2)较ZK60 下降了2 个数量级,膜层表面形貌最为均匀致密且呈现玫瑰花瓣状。此时SH 具有良好的疏水性、耐腐蚀性最好。

参考文献:

[1] JAVAID A,CZERWINSKI F.Progress in twin roll casting of magnesium alloys: A review[J]. Journal of Magnesium and Alloys,2021,9(2):362-391.

[2] SUN Y, HELMHOLZ H, WILLUMEIT-RÖMER R. Preclinical in vivo research of magnesium-based implants for fracture treatment:A systematic review of animal model selection and study design[J].Journal of Magnesium and Alloys,2021,9(2):351-361.

[3] SEZER N,EVIS Z,KOÇ M.Additive manufacturing of biodegradable magnesium implants and scaffolds: Review of the recent advances and research trends[J].Journal of Magnesium and Alloys,2021,9(2):392-415.

[4] 李存宝.AZ31 镁合金超疏水表面的制备与性能研究[D].吉林:吉林大学,2021.LI C B.Study on the preparation and properties of AZ31 magnesium alloy superhydrophobic surface[D].Jilin:Jilin University,2021.

[5] SHI L T, HU J, LIN X D, et al. A robust superhydrophobic PPS-PTFE/SiO2 composite coating on AZ31 Mg alloy with excellent wear and corrosion resistance properties[J].Journal of Alloys and Compounds,2017,721:157-163.

[6] LIN X, TAN L L, WANG Q, et al. In vivo degradation and tissue compatibility of ZK60 magnesium alloy with micro-arc oxidation coating in a transcortical model[J]. Materials Science and Engineering:C,2013,33(7):3881-3888.

[7] JIN W H,WU G S,FENG H Q,et al.Improvement of corrosion resistance and biocompatibility of rare-earth WE43 magnesium alloy by neodymium self-ion implantation[J].Corrosion Science,2015,94:142-155.

[8] GAO L L, ZHANG C H, ZHANG M L, et al. Phytic acid conversion coating on Mg-Li alloy[J].Journal of Alloys and Compounds,2009,485(1-2):789-793.

[9] 罗相萍,游少鸿,刘崇敏,等.LDHs 及其复合材料处理重金属废水的研究进展[J].工业水处理,2022,42(2):51-59.LUO X P, YOU S H, LIU C M, et al. Research progress on treatment of heavy metal wastewaterby layered double hydroxides and their composites[J].Industrial Water Treatment, 2022,42(2):51-59.

[10] 李壮壮,巴志新,王涛,等.电场辅助镁铁类水滑石膜的制备及耐蚀性研究[J].表面技术,2019,48(3):69-75.LI Z Z,BA Z X, WANG T, et al. Fabrication and corrosion resistance of Mg-Fe layered double hydroxide films on pure Mg substrates by electric field[J].Surface Technology,2019,48(3):69-75.

[11] WU F X, LIANG J, PENG Z J, et al. Electrochemical deposition and characterization of Zn-Al layered double hydroxides (LDHs)films on magnesium alloy[J].Applied Surface Science,2014,313:834-840.

[12] LIN J K,HSIA C L,UAN J Y.Characterization of Mg, Al-hydrotalcite conversion film on Mg alloy and Cl- and anion-exchangeability of the film in a corrosive environment[J]. Scripta Materialia,2007,56(11):927-930.

[13] PENG F, LI H, WANG D H, et al. Enhanced corrosion resistance and biocompatibility of magnesium alloy by Mg-Al-Layered double hydroxide[J].ACS Applied Materials Interfaces, 2016,8(51):35033-35044.

[14] WITTE F. The history of biodegradable magnesium implants: A review[J].Acta Biomaterialia,2010,6(5):1680-1692.

[15] PSEAUD-SHARMA D,MEGORON A.Biodegradable magnesium alloys: A review of material development and applications[J].Journal of Biomimetics, Biomaterials and Tissue Engineering,2012,12:25-39.

[16] BIGI A, BRACCI B, CUISINIER F, et al. Human osteoblast response to pulsed laser deposited calcium phosphate coatings[J].Biomaterials,2005,26(15):2381-2389.

[17] ZHU Y J,SUN F L,QIAN H J,et al.A biomimetic spherical cactus superhydrophobic coating with durable and multiple anti-corrosion effects[J].Chemical Engineering Journal,2018,338:670-679.

[18] 彭华乔,石涛,薛森,等.用于油水分离超疏水材料的研究进展[J].化工新型材料,2021,49(7):39-41,51.PENG H Q, SHI T, XUE S, et al. Research progress on superhydrophobic material for oil-water separation[J].New Chemical Materials,2021,49(7):39-41,51.

[19] LIU Y H,LIU Z L,LIU Y P,et al.One-step modification of fabrics with bioinspired polydopamine@octadecylamine nanocapsules for robust and healable self-cleaning performance[J].Small,2015,11(4):426-431.

[20] 钱志强,吴志坚,王世栋.镁合金超疏水表面的制备技术与应用研究进展[J].材料导报,2018,32(1):102-109.QIAN Z Q,WU Z J,WANG S D.Research progress in preparation of superhydrophobic coatings on magnesium alloys and its application[J].Materials Reports,2018,32(1):102-109.

[21] GAO R, LIU Q, WANG J, et al. Fabrication of fibrous szaibelyite with hierarchical structure superhydrophobic coating on AZ31 magnesium alloy for corrosion protection[J].Chemical Engineering Journal,2014,241:352-359.

[22] 汪永民,陈贤,丁玉萍,等.镁合金表面水滑石膜制备及性能研究进展[J].铸造技术,2021,42(6):527-534.WANG Y M, CHEN X, DING Y P, et al. Research progress on preparation and properties of hydrotalcite film onmagnesium alloy[J].Foundry Technology,2021,42(6):527-534.

[23] 林章飞,田孟娜,吴文鹏,等.镁合金超疏水涂层的研究进展[J].化学研究,2021,32(6):541-547.LIN Z F,TIAN M N,WU W P,et al. Research progress of superhydrophobic coatings on magnesium alloys[J].Chemical Research,2021,32(6):541-547.

[24] 刘鸿,吴鸣,吴合进,等.氢处理二氧化钛的光催化性能及电化学阻抗谱[J].物理化学学报,2001,17(3):286-288.LIU H,WU M,WU H J,et al.Photocatalytic activity and electrochemical impedance spectroscopy of TiO2 the rmally treated by hydrogen[J].Acta Physico-Chimica Sinica,2001,17(3):286-288.

[25] 姚文娟.类水滑石的合成、表征及其在生物传感器中的应用[D].扬州:扬州大学,2007.YAO W J. Characterization and application to the design of amperometric biosensor of layered double hydroxides[D].Yangzhou:Yangzhou University,2007.

[26] JANET C M,VISWANATHAN B,VISWANATH R P,et al.Characterization and photoluminescence properties of MgO microtubes synthesized from hydromagnesite flowers[J]. Journal of Physical Chemistry C,2007,111(28):10267-10272.

[27] WANG P,ZHANG D,QIU R.Liquid/solid contact mode of superhydrophobic film in aqueous solution and its effect on corrosion resistance[J].Corrosion Science,2012,54:77-84.

Research on the Preparation and Corrosion Resistance of Mg-Mn Superhydrophobic Layered Double Hydroxide Films Assisted by an Electric Field

ZHANG Zhaoyu1,HUANG Yu1,WANG Yan1,SUN Tianyi1,WANG Yongmin1,2,BA Zhixin1,2
(1.School of Materials Science and Engineering,Nanjing Institute of Technology,Nanjing 211167,China;2.Jiangsu Province Advanced Structural Materials and Application Technology Laboratory,Nanjing 211167,China)

Abstract:To further improve the clinical application of magnesium alloys as biomedical materials, a superhydrophobic(SH) layered double hydroxide (LDH) film was prepared on the surface of a ZK60 magnesium alloy by an electric field-assisted method to improve the corrosion resistance. The surface composition and morphology of the film were analysed by X-ray diffraction (XRD) and scanning electron microscopy (SEM). The experimental results show that the main components of the film surface are calcium myristate (Ca[CH3(CH2)12COO]2) and Mg-Mn LDH (Mg6Mn2(OH)16CO3·4H2O). The corrosion resistance of the film was characterized by electrochemical and contact angle tests. Under the optimal preparation process, the contact angle of the superhydrophobic film sample reaches 152.5°, and the corrosion current density decreases by approximately 2 orders of magnitude compared with the substrate, significantly slowing the degradation rate of the magnesium alloy substrate in simulated body fluid (SBF).

Key words:magnesium alloy; electric field assistance; corrosion resistance; superhydrophobic; layer double hydroxide

中图分类号:TG113.23+1

文献标识码:A

文章编号:1000-8365(2023)05-0449-07

DOI:10.16410/j.issn1000-8365.2023.2336

收稿日期:2022-11-23

基金项目:国家自然科学基金(51701093)、江苏省青蓝工程、江苏省大学生实践创新训练计划项目(202211276004Z)

作者简介:张兆裕,2001 年生,本科生.研究方向:材料表面改性.Email:850047245@qq.com

通讯作者:巴志新,1979 年生,博士,教授.研究方向:材料表面改性.Email:bzhx@njit.edu.cn

引用格式:张兆裕,黄予,王燕,等.电场辅助镁锰超疏水类水滑石膜的制备及耐蚀性研究[J].铸造技术,2023,44(5):449-455.ZHANG Z Y,HUANG Y,WANG Y,et al.Research on the preparation and corrosion resistance of Mg-Mn superhydrophobic layered double hydroxide films assisted by an electric field[J].Foundry Technology,2023,44(5):449-455.