强磁场下Ni-Co-Mn-Sn 合金近平衡凝固的组织调控

翟 强1,2,卜 凡1,2,马昌尧1,刘子瑜1,贺一轩1,2,王 军2,李金山2

(1.西北工业大学先进润滑与密封材料研究中心,陕西 西安 710072;2.西北工业大学凝固技术国家重点实验室,陕西 西安 710072)

摘 要:利用先进材料处理技术持续优化Ni-Mn-Co-Sn 记忆合金(Heusler 合金)性能是智能材料领域的研究热点,其磁控记忆性能和机械性能的协同提升强烈依赖于合金凝固得到的微观结构。本文探究了磁场强度对Ni42Co8Mn39Sn11合金近平衡条件下凝固组织演变的影响规律。结果表明,在无磁场条件下,合金凝固组织主要由D03 型粗大枝晶及L21 枝晶间Heusler 相组成,在枝晶间上还析出蠕虫状γ相,其中γ相富Co 贫Sn,D03 相富Sn 贫Co,L21 相的成分接近名义配比;D03 结构由L21 结构产生的成分偏析区域形成,析出γ相并非低温下L21 相的固态反应得到。施加10 T 强磁场后,合金的相组成、成分及其形貌未发生明显变化,各相间由于热流作用大于磁场引起的取向排列作用而未产生明显择优分布特征,但因偏析产生的D03 相含量减少,L21 相含量增加,这与强磁场促进Heusler 相元素分布均匀化,减少偏析有关。

关键词:强磁场;Ni-Co-Mn-Sn 合金;近平衡凝固;微观结构

Ni-Mn-Sn 新型智能合金可在外界温度、磁场等驱动下,发生铁磁性奥氏体相与弱磁性马氏体相的可逆转变,产生如磁控应变效应、巨逆磁热效应、磁阻效应等诸多丰富效应,实现“传感”与“驱动”一体化[1],在医疗器械、微电子、汽车能源等领域具有极大应用潜力。但其Heusler 金属间化合物相固有的脆性则严重恶化合金的机械性能和可加工性。通过掺入第四组元Co,有利于析出具有优异塑性的固溶体第二相,一定程度弥补该体系合金塑性差的短板。此外Co 还可调控Mn-Mn 键对相互作用[2],增加奥氏体与马氏体的磁化强度差ΔM,进一步提高相转变驱动力[3-4]。但当第二相的含量多、尺寸粗大时,会产生“海绵效应”屏蔽马氏体相变过程中的应力场,阻碍甚至使相变过程消失。因此,进一步认识Heusler 合金中的相析出过程,并有效调控第二相的含量、尺寸、分布形式等至关重要。早期主要以常规热处理消除第二相、获得单一奥氏体组织为主要目标来提高合金物理性能,如Sierra 等[5]通过对铸态Ni44.5Co5.5Mn39.5Sn10.5、Ni45Co5Mn40Sn10、Ni43Co7Mn39Sn11 3 类合金950 ℃连续72 h 退火后发现第二相γ 相完全溶入L21 基体。Chen 等[6]利用熔体甩带法,发现大冷速可完全抑制γ 相的析出。但也有研究者提出即使高温长时间退火也不能完全使γ 相溶解[7]。Cong 等[8]发现在Ni50-xCoxMn39Sn11(x=6,8,10)中,当x<10 时经均匀后退火后,合金没有第二相出现,而Co 含量增加后,退火后第二相仍分布于基体上。在第二相的分布形式调控性能方面,近年来,通过改变Co、Fe、Cr 等第四元素的含量,可得到Heusler/γ 完全共晶片层,最高可获得21%的压缩塑性[9],但其设计原则仍不清楚,第二相片层形貌对性能的贡献仍研究不足。而要厘清该组织调控的背后机制,目前亟需对于Ni-Co-Mn-Sn 体系在凝固过程的基本相析出行为进行探究,并不断探索新型调控方式对合金的微观结构演化的影响,从而实现修饰第二相形貌、提升合金综合性能的目标。

近年来,强磁场作为一种高密度、绿色清洁的新型外场,被广泛应用于材料冶金加工与后处理过程,其通过对导电流体施加洛伦兹力[10]、热电磁力、磁化力[11]等多种作用方式,在调控材料微观组织和性能方面展现了极大潜力,如影响溶质原子迁移、排列、扩散等[12],影响晶体取向、减少合金偏析[13]等,提升如电学、磁学、力学等综合性能。将强磁场应用于Heusler 体系合金的组织调控,已开展了初步研究,如Zhong 等[14]发现强磁场可使Ni-Mn-Ga 合金定向凝固后形成环状结构等。强磁场因其丰富的能量场和力场效应在合金组织和相调控方面具有极大优势[15-17],有望突破材料已有极限。基于此,本文选取典型Heusler/γ 双相Ni42Co8Mn39Sn11 合金为研究对象,首先阐明该体系合金在近平衡凝固过程中相析出过程,随后研究了磁场强度对近平衡凝固态Ni42Co8Mn39Sn11 合金凝固组织演化规律,旨在开发一条基于强磁场调控Heusler 合金组织和性能的新型技术。

1 实验材料与方法

采用纯度为99.9%的Ni、Co、Mn、Sn 纯金属块体作为原材料,按42∶8∶39∶11 的原子比换算为质量比后,采用高纯氩气气氛下的真空感应熔炼法得到成分为Ni42Co8Mn39Sn11 的纽扣锭,在单个合金锭熔炼过程中,首先将铜模中心的纯钛熔融,吸收炉膛残余氧气,并反复熔炼3~5 次保证均匀性。为补偿Mn的挥发,实际熔炼时额外添加3%(质量分数)的Mn。随后利用电火花线切割机将纽扣锭加工为10 mm×5 mm×5 mm 的长方块,进行打磨和超声清洗以去除表面杂质和氧化物等。将实验样品放置在石英玻璃管底部,并抽真空至1×10-3 Pa 后回充Ar 气作为保护气体,随后用氢氧焰枪进行封管处理。将已封好的石英玻璃管置入自行搭建的强磁场材料处理平台装置,过冷实验时利用红外测温仪实时测量样品温度变化,具体方法参见文献[18]。将样品加热至1 200 ℃使其熔化,并保温10 min 后,随炉冷却,整个样品处理过程分别在0 T(无磁场)和10 T 强静磁场环境下进行。

对上述样品依次使用80#至4000#砂纸将待观察面打磨至无明显划痕,随后进行机械抛光。使用TESCAN MIRA3 扫描电子显微镜(scanning electron microscope,SEM)对试样的显微组织进行观察,通过SEM 上配备的能量色散X 射线光谱(energy dispersive spectrometer,EDS) 测定各相元素的分布情况,采用Struers 电解抛光机对样品表面进行电解抛光,电解抛光所采用电压和抛光时间分别为15 V 和10 s,抛光液为质量分数为10%高氯酸-乙醇溶液。使用电子背散射衍射仪(electron back-scattered diffraction,EBSD)分析样品相组成及其形貌。采用STA449C型差示扫描量热仪(differential scanning calorimetry,DSC) 测量合金在室温至1 200 ℃范围内的吸放热曲线。

2 实验结果及讨论

图1 为Ni42Co8Mn39Sn11 合金在无磁场条件下和10 T 强磁场下凝固后形成的微观组织。未施加磁场时,如图1(a)所示,合金主要由浅色的枝晶、灰色的枝晶间及其内部的条状黑色的第二相组成,该种形貌在Pérez-Sierra 等[5]报道的同成分合金中也得到证实,其中浅色的枝晶是具有D03 型结构的FCC相,枝晶间灰色相为L21 型结构的FCC 相,以上两相均称为Heusler 相。黑色的γ 析出相同样为FCC结构,其为固溶体结构。施加10 T 强静磁场后,如图1(b)所示,整体相组成和形貌等未发生显著变化,但浅色枝晶区域D03 相含量则减少,而灰色枝晶间区域L21 相明显增加,黑色第二相分布更加连续。对各相的含量进行了粗略统计,结果如图1(c)所示,施加磁场后,浅色枝晶D03 相含量(34.59%) 相比无磁场(43.28%)减少了20.07%,灰色枝晶L21 相含量则由50.2%提升至约59.56%,即强磁场对凝固产物影响不大,但可促进/抑制不同相的析出过程。

图1 有无磁场下Ni42Co8Mn39Sn11 合金的微观组织:(a)无磁场,(b)10 T,(c)各相含量分布统计图
Fig.1 The microstructure of Ni42Co8Mn39Sn11 alloys:(a)without magnetic field,(b)10 T,(c)statistical diagram of phase fractions

进一步放大图1(a~b)可看到,在灰色区域上除了析出的黑色第二相γ 相外,还分布有大量细小片层状马氏体结构,其片层方向朝向杂乱,如图2(a~b)所示,马氏体被认为是由L21 结构在低温下相变得到的[6],而D03 结构则不发生马氏体相变,这与成分变化有关。对马氏体结构进行进一步表征,如图2(c)的透射电镜明场像所示,在基体上析出大量片层状相,进一步对两相界面区域进行选区电子衍射分析,如图2(d)所示,进一步证实基体相(灰色相)为L21相,其具有面心立方型结构,经过计算得到的晶格常数约为6.012 Å,与文献[5]中报道相近。马氏体的衍射斑点呈现周期性排布特征,这是调质类马氏体在某些晶带轴下的典型衍射花样[19],可看到2 个相邻的主斑点之间有4 个弱斑点,将其进行了5 等分,如白色箭头所示,呈现5M 调质马氏体的特征,其具有正交结构,晶格常数计算后约为a=8.53 Å,b=5.65 Å,c=4.33 Å。在Ni42Co8Mn39Sn11 合金中,由于马氏体相变温度接近室温,故在室温的样品观察中,马氏体和L21 结构可共存。本文不侧重讨论马氏体,后续主要探究合金的凝固路径及强磁场对合金相分布的影响方面。

图2 Ni42Co8Mn39Sn11 合金微观组织放大图:(a)无磁场,(b)10 T,(c)无磁场样品的明场像,(d)(c)图对应的选区电子衍射花样图
Fig.2 Enlarged microstructure of Ni42Co8Mn39Sn11 alloys:(a)without magnetic field,(b)10 T,(c)bright field TEM image of the sample without magnetic field,(d)electron diffraction patterns corresponding to(c)

图3 为图1(a~b)两种微观组织的EDS 元素面分布图。未施加磁场时,如图3(a)所示,Ni、Mn 元素含量在枝晶、枝晶间及第二相间分布相对均匀,而Co、Sn 元素分布则呈现明显的偏析现象,其中第二相富含Co 元素,而Sn 含量贫乏。而剩余区域则富Sn 贫Co。施加10T 强静磁场后,元素分布趋势未有明显变化。进一步半定量研究了各相元素含量,如表1所示为各相元素含量点分析结果,未施加磁场时,D03 相Sn 含量最高,Co 含量最低,而γ 相则是Sn 含量最低,而Co 含量最高,L21 相居中,且其元素含量最接近合金原子比42∶8∶39∶11。强磁场凝固后,各相的元素含量基本不变,这表明强磁场并未对各相成分和结构产生影响。

表1 有无磁场下Ni42Co8Mn39Sn11 合金各相化学成分/%(原子分数)
Tab.1 Elementcontentsindifferentphasesof Ni42Co8Mn39Sn11 alloys solidified with or without magnetic field

磁场强度 相类型NiCoMnSn 0 T D03 相43.515.7533.8516.89 L21 相40.628.3541.229.81 γ 相36.9018.3343.281.49 10 T D03 相43.106.0634.8715.97 L21 相41.179.0040.799.04 γ 相37.2417.8843.611.27

图3 Ni42Co8Mn39Sn11 合金面扫成分分布图:(a)无磁场,(b)10 T
Fig.3 Element distribution of Ni42Co8Mn39Sn11 alloys:(a)without magnetic field,(b)10 T

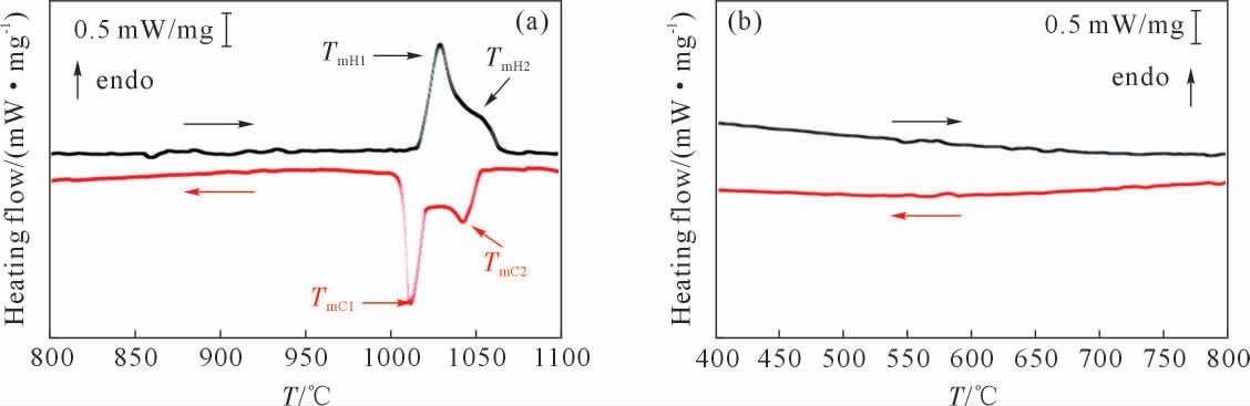
关于合金的凝固路径,目前大多数研究观点认为在该体系的凝固组织中,具有D03 型结构的浅色枝晶相,其在凝固过程中首先从液相中析出(L→D03),随后过量的残余液相与D03 相发生包晶型反应形成了灰色的L21 枝晶间结构(L+D03→L21),至此凝固过程结束。随着进一步冷却,黑色γ 第二相在约600 ℃时从L21 相中经由固态相变而析出(L21→γ),从而在室温下形成了该种形貌的三相结构(不考虑L21 奥氏体转变为5M 马氏体的相变过程)[5]。而Czaja等[20]则认为浅色枝晶区域和灰色枝晶间区域均为L21 型Heulser 相,但由于凝固过程中Mn、Sn 的强烈偏析作用使得区域成分出现差异,但其对于γ 相是否为L21 相在低温下析出未作分析。近些年来,在与本合金相似成分的体系中也获得了L21/γ 的双片层共晶结构[9],这直接提供了γ 相作为其中的一种共晶相从液相直接析出的证据。针对以上说法,我们对原始合金进行热分析,并通过高温热处理获得单相合金,对其进行模拟热分析过程后观察其组织形貌来确定γ 相的来源。

图4 为原始态三相合金的热分析曲线图,黑线为升温曲线,红线为降温曲线。在800~1 100 ℃范围内,如图4(a)所示,可知合金在升温和降温过程中在1 000 ℃以上时存在明显吸热和放热的峰,这对应合金熔化和凝固现象。同时可发现该过程中存在双峰现象,这表明在凝固过程中,应为一相作为领先相在TmC2=1 042.9 ℃先析出,随后在TmC1=1 012.0 ℃发生下一级相变,而在凝固完成后,在800 ℃以下的范围内,如图4(b)所示,则无明显吸放热峰出现,初步认为低温下L21 相未析出γ 相。为进一步证实这一说法,将原始态合金进行950 ℃高温热处理后,获得L21 相单相合金,随后冷却至600 ℃、700 ℃保温后炉冷,空冷,以及直接加热至950 ℃后炉冷,观察其组织和成分变化,如图5 所示,可发现合金中均未观察到γ 第二相的形成。分别对每个样品随机选取10 个点进行成分扫描后平均,结果如表2 所示,可发现不同工艺下热处理的合金成分接近原子分数比,仍为L21 相单相合金。这粗略表明γ 相并非是在低温下经由L21 相转化而来,更深入的相变研究分析将在后续工作中展开。

表2 热处理态Ni42Co8Mn39Sn11合金成分点扫结果统计表
Tab.2 Element contents of the heat-treated Ni42Co8Mn39Sn11 alloys in Fig. 5

样品号Sn/%(atomic percent)a42.237.8938.8711.01 b42.367.6238.8511.17 c41.417.8441.4111.23 d41.647.8039.3611.19 e41.447.9939.3911.18 Ni/%(atomic percent)Co/%(atomic percent)Mn/%(atomic percent)

图4 原始态Ni42Co8Mn39Sn11 合金熔化凝固过程中的热分析曲线:(a)高温段800~1 100 ℃,(b)低温段400~800 ℃
Fig.4 Thermal analysis curve of the as-cast Ni42Co8Mn39Sn11 alloys during melting and solidification:(a)high temperature range 800~1100 ℃,(b)low temperature range 400~800 ℃

图5 热处理态Ni42Co8Mn39Sn11 合金的微观组织:(a)700 ℃保温0.5 h 后炉冷,(b)700 ℃保温0.5 h 后空冷,(c)700 ℃保温10 h后炉冷,(d)600 ℃保温10 h 后炉冷,(e)直接加热至950 ℃后炉冷
Fig.5 The microstructure of the heat-treated Ni42Co8Mn39Sn11 alloys:(a)furnace cooling after heating at 700 ℃for 0.5 h,(b)air cooling after heating at 700 ℃for 0.5 h,(c)furnace cooling after heating at 700 ℃for 10 h,(d)furnace cooling after heating at 600 ℃for 10 h,(e)furnace cooling after heating to 950 ℃

因此在本体系中,应是在凝固过程中首先形成了L21 初生相(对应于热分析曲线凝固中的第一个放热峰),随后残余液相在枝晶间形成了L21/γ 片层状结构的亚共晶组织(对应于热分析曲线凝固中的第二个放热峰),浅色区域的形成则是由于短时凝固的成分偏析引起,其未表现出明显的热效应,在随后的凝固中,γ 相局部粗化、球化,使得亚共晶特征消失。由于L21 相极易产生成分偏析,通过长时间高温热处理使得Mn/Sn 均匀化等成为该体系合金常用的处理手段。从上述结果可看出,强磁场可达到同热处理相似的均匀化效果,减弱L21 相的偏析作用。强磁场在金属凝固过程中通过影响溶质迁移行为从而影响偏析过程[21]。史俊芳等[22]认为,随着磁感应强度的增大,恒定磁场对导电熔体中颗粒运动影响的Hamlann 数会持续增大,导致熔体的有效黏度也显著增加,当磁感应强度超过一定值时,根据Stokes 定律[23],颗粒的移动速度也将大大降低。故强磁场可有效增加金属熔体黏度,熔体的运动黏度增大会导致自然对流中的Ra 数和Gr 数的减小,即由于磁场的作用,纵向和横向的自然对流都得到了减缓,从而减缓因自然对流而造成的溶质元素的偏聚和富集,减弱了偏析形成的浅色相区域。该过程将对合金的马氏体相变过程产生重要影响,由于马氏体相变对L21 母相的成分十分敏感,L21 偏析形成的结构和γ结构均对相变过程起到抑制作用,因此通过强磁场处理过程,减弱L21 偏析同时不明显增加γ 含量,这将对合金的综合性能产生重要影响,在后期工作中我们将进一步展开研究。

另一方面,强磁场会对金属凝固过程产生热电磁流,在熔体中产生受迫对流,从而影响微观偏析。一般认为微观偏析是由于溶质原子在固相和液相中存在化学势差,导致溶质原子在两相中发生再分配产生的。在近平衡凝固时,表征溶质原子再分配程度的是k0k0 是一个热力学参数,磁场可以改变合金的热力学性质.施加磁场后得到的平衡分配系数k0′与k0 的关系可由下式给出[24]

式中,μ0 为真空磁导率;χS 和χL 分别为Mn 和Sn 在固相和液相中的偏摩尔磁化率;VSVL 分别为Mn、Sn 在固相和液相中的偏摩尔体积;H 为磁场强度;R 为气体常数;Tm 为Ni 的熔点,可从理论上计算得到Mn 和Sn 在L21 相中的平衡分配系数比值。考虑k0′/k0 的最大值,即χLVL=0,分别代入Sn 和Mn的偏摩尔磁化率(χSn=2.7×10-8,χMn=9.9×10-6)和偏摩尔体积(VSn=16.3×10-6 m3/mol,VMn=7.39×10-6 m3/mol),取R=8.314 J/kmol,μ0=4π×10-7 H/m,H=10 T,计算得到:

可见,强磁场在热力学上对平衡分配系数影响较小。由于施加磁场后,热电流与磁场相互作用,产生Lorentz 力,一方面形成热电磁对流驱使熔体流动,此外,静磁场对熔体中的流动还有抑制作用。综上,强磁场可通过调控熔体对流改变熔体的动力学状态,液相中的对流可对分配系数产生巨大影响[25],影响元素偏析行为。具体的影响程度将在后续工作中通过测量定向凝固溶质分布反映分配系数的变化来定量研究。

图6 为无磁场下合金微观组织的EBSD 分析,图6(a)分别用红色、黄色和蓝色标记出图1 所示的浅色、灰色和黑色区域,可进一步证实了合金由枝晶、枝晶间L21 型Heulser 相,以及在L21 相上弥散分布的少量γ 相组成,枝晶和枝晶间均可用晶格常数约6.02 Å 的FCC 卡片标记,这进一步说明了两个区域的相结构未有明显变化,只是成分发生偏析,这与文献[5]的结论保持一致。图6(b~d)为各相的取向分布,可看出对于先析出相,相邻枝晶在生长过程中近似沿同一取向生长,由于在近平衡凝固条件下的再辉潜热引起的重熔效应可忽略不计,因而枝晶主干未发生显著重熔,故未形成多种杂乱取向。不同枝晶团之间取向相差较大,这可能与凝固过程中不同位置的多点形核有关[26]。枝晶间结构同枝晶相似,但其取向则发生显著杂乱分布特征,这是由于初生相析出完毕时,残余液相形成的共晶两相在冷却时,其可在液相中漂浮、旋转,形成多种取向特征。需要说明的是,本实验采用的采集步长超过了枝晶间细小的M 马氏体结构间距,此处不探讨马氏体结构。

图6 无磁场下Ni42Co8Mn39Sn11 合金的EBSD 分析:(a)相分布图,(b)D03 取向图,(c)L21 取向图,(d)γ 取向图
Fig.6 EBSD analysis of the microstructure of Ni42Co8Mn39Sn11 alloys solidified without magnetic field:(a)phase distribution map,(b~d)IPF of the D03,L21 and γ phases

当施加10 T 强磁场后,如图7 所示,合金的相组成未发生明显变化,且各相未明显产生大范围的择优取向。研究表明[27-29],该体系合金各相的居里温度均在800 ℃以下,远低于凝固时的温度,这表明在凝固时合金熔体与析出固相均为顺磁性物质,Li 等[16]发现在顺磁性物质中,磁场对整个体系相变吉布斯自由能的影响占整体吉布斯自由能不足1%,因而,可认为强磁场对Ni-Co-Mn-Sn 合金的凝固顺序和产物无明显影响,且由于高温下各相为顺磁性,磁场引入的磁晶各向异性能ΔE 将不足以克服晶体形核和生长过程中的热流扰动kT,因而未明显产生磁致取向转动的现象[30]

图7 10 T 磁场下Ni42Co8Mn39Sn11 合金的EBSD 分析:(a)相分布图,(b)D03 取向图,(c)L21 取向图,(d)γ 取向图
Fig.7 EBSD analysis of the microstructure of Ni42Co8Mn39Sn11 alloys solidified with 10 T magnetic field:(a)phase distribution map,(b~d)the IPF of D03,L21 and γ phases

3 结论

(1)无磁场下,合金的近平衡凝固组织主要由枝晶区域的D03 相、枝晶间的L21 相以及少量弥散分布的γ 第二相组成,D03 相富Sn 贫Co,γ 相富Co贫Sn,L21 相接近名义成分原子比。强磁场对合金凝固组织形貌、各相元素分布等影响较小,但其使得枝晶区域含量明显减少,枝晶间区域增加,对第二相含量影响较小。

(2)合金凝固过程中,从熔体中先形成了粗大的L21 枝晶相,随后残余液相在枝晶间凝固形成了L21/γ 的共晶结构,由于凝固过程中元素扩散的不充分,L21 易于形成成分偏析,形成D03 结构。强磁场可从增加熔体粘度、减弱自然对流方面部分抑制了L21 相的偏析。

(3)在有无磁场下,均发现初生粗大枝晶局部取向单一,相邻取向杂乱的特征,而枝晶间结构在后期的凝固过程中则呈现随机取向分布特征。强磁场对取向排列作用极其有限,这与强磁场对高温下各相的磁晶各向异性能的影响低于晶体生长热扰动的影响有关。

参考文献:

[1] 张浩雷,李哲,乔燕飞,等.哈斯勒合金Ni-Co-Mn-Sn 的马氏体相变及其磁热效应研究[J].物理学报,2009,58(11):7857-7863.ZHANG H L, LI Z, QIAO Y F, et al. Martensitic transformation and magnetocaloric effect in Ni-Co-Mn-Sn Heusler alloy[J].Acta Physica Sinica,2009,58(11):7857-7863.

[2] LAZPITA P, SASMAZ M, BARANDIARAN J M, et al. Effect of Fe doping and magnetic field on martensitic transformation of Mn-Ni(Fe)-Sn metamagnetic shape memory alloys[J]. Acta Materialia,2018,155,95-103.

[3] 仇孟孟.元素替代对Ni-Co-Mn-Sn 磁致形状记忆合金组织结构与性能的影响[D].沈阳:东北大学,2014.QIU M M.Effect of element substitution on the structure and properties of Ni-Co-Mn-Sn magnetic shape memory alloys [D].ShenYang:Northeastern University,2014.

[4] MIYAKAWA T, ITO T, XU X, et al. Martensitic transformation near room temperature and hysteresis in(Ni-Co)50-Mn-Sn metamagnetic shapememoryalloys[J].Journal of Alloys and Compounds,2022,913:165136.

[5] PEREZ-SIERRA A M,PONS J,SANTAMARTA R,et al.Solidification process and effect of thermal treatments on Ni-Co-Mn-Sn metamagnetic shape memory alloys [J].Acta Materialia,2015,93:164-174.

[6] CHEN F,TONG Y X,HUANG Y J,et al.Suppression of γ phase in Ni38Co12Mn41Sn9 alloy by melt spinning and its effect on martensitic transformation and magnetic properties [J].Intermetallics,2013,36:81-85.

[7] LAZPITA P, SASMAZ M, CESARI E, et al. Martensitic transformation and magnetic field induced effects in Ni42Co8Mn39Sn11 metamagnetic shape memory alloy[J].Acta Materialia,2016,109:170-176.

[8] CONG D Y, ROTH S, SCHULTZ L. Magnetic properties and structural transformations in Ni-Co-Mn-Sn multifunctional alloys[J].Acta Materialia,2012,60:5335-5351.

[9] WU Z, LIANG Z, ZHANG Y, et al. A eutectic dual-phase design towards superior mechanical properties of heusler-type ferromagnetic shape memory alloys[J].Acta Materialia, 2019, 181: 278-290.

[10] OGUNTALA G, SOBAMOWO G, ABD-ALHAMEED R. A new hybrid approach for transient heat transfer analysis of convective-radiative fin of functionallygraded material under lorentz force[J].Thermal Science and Engineering Progress,2020,16:100467.

[11] LIN Y C, LEE H S. Machining characteristics of magnetic force-assisted EDM[J].International Journal of Machine Tools and Manufacture,2008,48(11):1179-1186.

[12] YAN J,LIU T,WANG M M,et al.Constitutional supercooling and corresponding microstructure transition triggered by high magnetic field gradient during directional solidification of Al-Fe eutectic alloy[J].Materials Characterization,2022,188:111920.

[13] JIANG P F, WANG J T, HOU L, et al. Controlling and adjusting the concentration distribution during solidification process using static magnetic fields[J].Journal of Materials ScienceTechnology,2020,50:86-91.

[14] ZHONG Q D, ZHONG H Y, HAN H B, et al. Formation mechanism of ring-like segregation and structure during directional solidification under axial static magnetic field[J].Journal of Materials ScienceTechnology,2022,99:48-54.

[15] 刘昱东,魏晨,闫育洁,等.强磁场对CrCoNi 中熵合金过冷凝固组织与性能的影响[J].铸造技术,2022,43(5):346-350.LIU Y D,WEI C,YAN Y J,et al.Effect of high magnetic field on the solidification microstructure and properties of undercooled Cr-CoNi medium-entropy alloy[J].Foundry Technology,2022,43(5):346-350.

[16] LI C J,REN Z M,REN W L,et al.Nucleation and growth behaviors of primary phase in hypoeutectic Al-Cu alloy in high magnetic field[J].Transactions of Nonferrous Metals Society of China,2012,22(S1):s1-s6.

[17] 陈梓健,李杰,闫育洁,等.强磁场对丁二腈枝晶生长速度及特征尺寸的影响[J].铸造技术,2022,43(9):817-822.CHEN Z J,LI J,YAN Y J, et al. Effect of high magnetic field on the growth rate and characteristic size of succinonitrile dendrites[J].Foundry Technology,2022,43(9):817-822.

[18] WANG J,HE Y X,LI J S,et al.Experimental platform for solidification and in-situ magnetization measurement of undercooled melt under strong magnetic field[J]. Review of Scientific Instruments,2015,86:025102.

[19] TIAN H F, LU J B, MA L, et al. Martensitic transformation, and magnetic domains in Mn50Ni40Sn10 studied by in-situ transmission electron microscopy[J].Journal of Applied Physics, 2012,112:033904.

[20] CZAJA P, WIERZBICKA A, ROGAL Ł. Segregation and microstructure evolution in chill cast and directionally solidified Ni-Mn-Sn metamagnetic shape memory alloys[J].Journal of Crystal Growth,2018,492:50-59.

[21] 周天儒,刘铁,阎金戈,等.强磁场下金属凝固过程中的溶质迁移行为及组织演变[J].铸造技术,2022,43(8):573-584.ZHOU T R,LIU T,YAN J G,et al.Solute migration behavior and microstructure evolution during metal solidification under high magnetic field[J].Foundry Technology,2022,43(8):573-584.

[22] 史俊芳,钟云波,任忠鸣,等.强磁场对Cu-90%Pb 合金凝固中比重偏析的影响[J].上海金属,2006,28(1):22-27.SHI J F,ZHONG Y B,REN Z M,et al.Effect of high static magnetic field on solidification structure of Cu-Pb monotectic alloys[J].Shanghai Metals,2006,28(1):22-27.

[23] 赵九洲,贾均,李庆春.电磁场下Al-Pb 合金的凝固[J].铸造,1993,8:18-21.ZHAO J Z,JIA J,LI Q C.Solidification of Al-Pb alloy under electric and magnetic fields[J].Foundry,1993,8:18-21.

[24] YOUDELIS W,COLTON D,CAHOON J.On the theory of diffusion in a magnetic field[J].Canadian Journal of Physics,42(1964):2217-2237.

[25] JIANG P F, WANG J T, HOU L, et al. Controlling and adjusting the concentration distribution duringsolidificationprocess using static magnetic fields[J].Journal of Materials Science Technology,2020,50:86-91.

[26] ZHANG F,LAI C,ZHANG J B, et al. Anomalous eutectics in intermediately and highly undercooled Ni-29.8at.%Si eutectic alloy[J].Journal of Crystal Growth,2018,495:37-45.

[27] ITO K, ITO W, UMETSU R, et al. Metamagnetic shape memory effect in polycrystalline NiCoMnSn alloy fabricated by spark plasma sintering[J].Scripta Materialia,2009,61(5):504-507.

[28] HUANG L, CONG D Y, MA L, et al. Large magnetic entropy changes and magnetoresistance in a Ni41Co9Mn40Sn10 magnetic shape memory alloy[J].Journal of Alloys and Compounds, 2015,647:1081-1085.

[29] 陈枫,佟运祥,田兵,等.NiCoMnSn 高温形状记忆合金的马氏体相变与显微组织[J].稀有金属,2013,37(1):6-13.CHEN F, TONG Y X, TIAN B, et al. Martensitic transformation and microstructure of NiCoMnSn high temperature shape memory alloys[J].Chinese Journal of Rare Metals,2013,37(1):6-13.

[30] HE Y X,LI J S,LI L Y,et al.Magnetic-field-induced chain-like assemblies of the primary phase during non-equilibrium solidification of a Co-B eutectic alloy: Experiments and modeling[J].Journal of Alloys and Compounds,2020,815:152446.

Effect of a Strong Magnetic Field on the Microstructure of Near-equilibrium Solidified Ni-Co-Mn-Sn Metamagnetic Shape Memory Alloy

ZHAI Qiang1,2,BU Fan1,2,MA Changyao1,LIU Ziyu1,HE Yixuan1,2,WANG Jun2,LI Jinshan2
(1.Center of Advanced Lubrication and Seal Materials,Northwestern Polytechnical University,Xi'an 710072,China;2. State Key Laboratory of Solidification Processing,Northwestern Polytechnical University,Xi'an 710072,China)

Abstract:Optimizing the overall performance of Heusler-type Ni-Mn-Co-Sn magnetic shape memory alloys (MSMA) by the application of advanced treatment technology in current smart material research has been a research hotspot. The properties of alloys are strongly related to the solidification microstructures. In this paper, the solidification microstructures of Ni42Co8Mn39Sn11 MSMA under different magnetic field intensities were studied. The results show that in the absence of magnetic field, the microstructure is mainly composed of D03 coarse dendrite trunks and L21 interdendrite, embedded with the vermicular γ phase that is Co-rich and Sn-depleted, and the chemical composition of the D03 phase shows the opposite tendency. The D03 structure is formed due to the chemical segregation of the Heusler L21 phase, and the γ phase is hardly obtained from the decomposition of the L21 phase in the range of 500~700 ℃. After the application of a 10 T high magnetic field, the phase constituent, chemical composition and morphologies of the alloy remain stable, and no obvious alignments or textures are found due to the enhanced thermal energy rather than the weakened anisotropic magnetic energy.In addition, the fraction of the D03 phase decreases efficiently, and the L21 phase rises when a magnetic field is applied, i.e., a strong magnetic field could alleviate the chemical fluctuation and contribute to the formation of a more uniform distribution of Heusler phase elements.

Key words:strong magnetic field; Ni-Co-Mn-Sn alloy; near-equilibrium solidification; microstructure

中图分类号:TG139+.6

文献标识码:A

文章编号:1000-8365(2023)05-0426-08

DOI:10.16410/j.issn1000-8365.2023.3030

收稿日期:2023-02-12

基金项目:国家自然科学基金(52104386);凝固技术国家重点实验室课题(2022-TS-08);陕西省留学人员科技活动择优资助项目

作者简介:翟 强,2000 年生,硕士生.研究方向:Ni-Mn-Sn 体系磁控形状记忆合金组织性能调控研究.电话:19834407341,Email:zhaiqiang1115@163.com

通讯作者:贺一轩,1990 年生,博士,副教授.研究方向:金属熔体结构表征;Co 基二元合金、高熵合金、高温合金等新材料组织性能调控等研究工作.电话:18792688654,Email:yxhe@nwpu.edu.cn

引用格式:翟强,卜凡,马昌尧,等.强磁场下Ni-Co-Mn-Sn 合金近平衡凝固的组织调控[J].铸造技术,2023,44(5):426-433.ZHAI Q,BU F,MA C Y,et al.Effect of a strong magnetic field on the microstructure of near-equilibrium solidified Ni-Co-Mn-Sn metamagnetic shape memory alloy[J].Foundry Technology,2023,44(5):426-433.