功能晶体材料的制备与性能

双折射晶体最新研究进展

陈闪闪1,2,李雁强2

(1.福建师范大学,福建 福州 350117;2.中国科学院福建物质结构研究所结构化学国家重点实验室,福建 福州 350002)

摘 要:双折射晶体可有效调制光的偏振,在偏光显微镜、光隔离器和偏振片等一系列光学器件中发挥着重要作用。为了获得大双折射率的双折射晶体,根据结构与性能的关系,关键在于寻找具有大的微观极化率各向异性的功能基团。目前,研究人员已经发现一系列双折射功能基团,例如,(BO3)3-、(CO3)2-、(B3O6)3-、(C3N3O3)3-等,并构筑了相应的双折射晶体。在本综述中,将介绍我们团队关于新型功能基团及相应的新型双折射晶体的最新研究进展。论文报告的双折射晶体分为两大类,即无机双折射晶体和有机-无机杂化双折射晶体,讨论了这些双折射晶体的晶体结构特征、光学性能以及结构与性能的关系等。

关键词:双折射率;各向异性;功能基团;结构与性能的关系

双折射晶体可以将入射光分解成两束折射角不同、传播速度不等的光(对于单轴晶体而言,称为普通光和非常光)(图1),从而有效地调制偏振光的传播[1-4]。双折射晶体在一系列光学元件中都发挥重要的作用,例如,偏光显微镜、光学隔离器、消色差四分之一波片和相位补偿器等(图2)[2,5-9]。这些光学元件的性能主要取决于普通光和非常光之间的相位延迟R。双折射率通过下式计算:

图1 双折射效果及其应用
Fig.1 Birefringence effect and its application

图2 双折射原理[17]
Fig.2 Birefringence principle[17]

式中,Δn 为双折射率;d 为双折射晶体的厚度[3-4]。因此,相关光学元件的性能和双折射率的大小成正比,大的双折射率更加有利于构建紧凑和高效的光学元件[6-10]。以制作光隔离器为例,由于YVO4 晶体的双折射率是LiNbO3 晶体的3 倍左右,若以YVO4 晶体代替LiNbO3 晶体作为双折射晶体制作成为光隔离器,其器件尺寸显著缩小[11-12]。可见,晶体双折射性能越优异,越有应用前景。经过科研工作者几十年的不断努力,目前已有多种商业双折射晶体被发现和报道[11-16],例如,MgF2[14]、α-BaB2O4(α-BBO)[15]、方解石(CaCO3)[16]、LiNbO3[12]和YVO4[11]等。遗憾的是,这些传统的商业双折射晶体的双折射率较小,严重阻碍了相关光学元件的小型化。因此,探索新型大双折射率的双折射晶体是迫切而必要的。

根据结构和性能的关系,结合著名的阴离子基团理论,晶体的宏观光学性能主要取决于晶体结构中的功能基团[18-21]。因此,探索具有大的微观极化率各向异性的新型功能基团对于发展新型双折射晶体十分必要。考虑到(BO3)3-[22-23]、(CO3)2-[16]、(NO3)-[24-25]和(B3O6)3-[15,26-27]等功能基团表现出大的微观极化率各向异性,传统上,对于双折射晶体功能基团的探索主要集中在硼酸盐、碳酸盐和硝酸盐中[15,22,24-28]。例如,商业双折射晶体α-BBO 由平面六圆环构型的(B3O6)3-功能基团构成,其表现出较大的双折射率,为0.12@532 nm[15]。基于平面三角形构型的(BO3)3-功能基团,Chen 等[29]合成并报道了Ca(BO2)2 双折射晶体,它显示出大的光学各向异性,其实验双折射率为0.247 1@193 nm。基于平面三角形构型的(NO3)-功能基团,Wu 等[25]合成并报道了Sc(IO3)2(NO3)双折射晶体,它显示出大的光学各向异性,其实验双折射率为0.348@546 nm。最近,一些新型功能基团表现出更大的微观极化率各向异性而受到科研工作者的特别关注,例如,(HxC3N3O3)(3-x)-[30-34]、(C2O4)2-[35-37]和(C4O4)2-[37-38]等。(HxC3N3O3)(3-x)-功能基团具有和(B3O6)3-相似的平面六圆环构型,但是(HxC3N3O3)(3-x)-具有更短的键长、更强的pπ-pπ 相互作用和更均匀的p 电子分布,从而表现出更强的平面π 共轭作用和更大的极化率各向异性[30-31]。因此,(HxC3N3O3)(3-x)-被认为是一类优异的双折射晶体功能基团。目前,科研工作者发现了一系列性能优异的氰尿酸盐双折射晶体,例如Ca3(C3N3O3)2[27-28]、KLi(HC3N3O3)·2H2O [32]和Rb2(HC3N3O3)[33]等。这些双折射晶体具有比商业双折射晶体α-BBO 更大的双折射率。Lu 等[33]合成并报道了Rb2(HC3N3O3),其双折射率达到了0.4 左右。此外,基于(C2O4)2-功能基团,Tong 等[37]合成并生长了(NH4)2C2O4·H2O 晶体,其实验双折射率为0.248@546 nm。

近年来,论文作者所在团队也挖掘了一系列新型双折射晶体功能基团,[PO2(NH)3(CO2)]-、(HxC3N3S3)(3-x)-、(HxC6N9)(3-x)-、(HxC3N7O3)(3-x)-、(O2)2-等。以这些功能基团为基础,进一步化学创制了一系列性能优异的新型双折射晶体,从而拓展了新型大双折射率的双折射晶体的探索范围。本文将这些双折射晶体分为两大类,即无机双折射晶体(表1)[39-40]和有机-无机杂化双折射晶体(表2)[41-44],并讨论了其带隙、双折射率和截止波长。

表1 无机双折射晶体
Tab.1 Inorganic birefringent crystals

分子式空间群带隙参考文献Rb2VO(O2)2F P2121212.81 0.189@546 nm441[39]SbB3O6C23.95 0.290@546 nm314[40]/eV双折射率截止波长/nm

表2 有机-无机杂化双折射晶体
Tab.2 Organic-inorganic birefringent crystals

分子式空间群带隙/eV双折射率截止波长/nm参考文献Cs3Cl(HC3N3S3)Pmc213.340.52@550 nm371[41](C3N6H8)PbBr4P21/c3.130.322@550 nm374[42]Ba(H2C6N7O3)2·8H2OFdd24.100.22@550 nm302[43]CsH2C6N9·H2OP1 4.120.55@550 nm301[10]NaPO2(NH)3(CO)2P21/c>6.50.275@550 nm<190[44]

1 无机双折射晶体

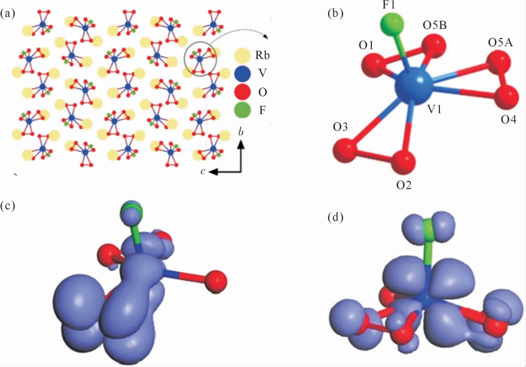
1.1 Rb2VO(O2)2F

对于双折射晶体而言,其长期局限于氧化物。由于在空气中极度吸潮的问题,过氧化物作为双折射晶体的可能性一直被忽视。在本工作中,基于定域π共轭的(O2)2-、d0 金属阳离子V5+和电负性最强的F元素,作者团队通过简便的水溶液法合成了一例新型过氧化物Rb2VO(O2)2F[39]。该化合物具有良好的化学稳定性,其单晶在空气中暴露两周后仍保持稳定。晶体学数据表明,Rb2VO(O2)2F 在非中心对称的正交空间群P212121 中结晶。如图3(a)所示,Rb2VO-(O2)2F 的晶体结构由孤立的VO(O2)2F多面体构成,Rb+作为抗衡阳离子保持整体电荷的平衡。V5+阳离子与两个(O2)2-,一个O 原子和一个F 原子配位,形成高度扭曲的VO(O2)2F 多面体(图3(b))。VO(O2)2F的严重扭曲主要归因于两个双齿配体(O2)2-在赤道位置上与V5+阳离子配位。这种配位环境有利于VO(O2)2F 多面体产生较高的微观极化率各向异性。此外,在Rb2VO(O2)2F 的晶体结构中,VO(O2)2F 多面体的赤道平面不是完全平行的。换句话说,与商业双折射氧化物CaCO3 和α-BaB2O4 中平行的π 共轭基团相比,VO(O2)2F 多面体没有处于最佳的各向异性排列。虽然VO(O2)2F 多面体不具有最佳的各向异性排列,但是实验测试表明Rb2VO(O2)2F 的双折射率高达0.189@546 nm。这一数值远高于商用双折射晶体CaCO3 和α-BaB2O4 的双折射率,也优于大多数氧化物。

图3 Rb2VO(O2)2F:(a)沿a 轴的晶体结构,(b)VO(O2)2F 多面体,(c)HOMO 图谱,(d)LUMO 图谱[39]
Fig.3 Rb2VO(O2)2F:(a)crystal structure viewed along the a axis,(b)VO(O2)2F polyhedron,(c)HOMO pattern,(d)LUMO pattern[39]

为了深入理解Rb2VO(O2)2F 大双折射率的起源,我们进行了相关理论计算,结果显示Rb2VO(O2)2F的最高占据分子轨道(HOMO)主要位于(O2)2-二聚体和V5+阳离子上(图3(c)),换句话说,Rb2VO(O2)2F 的HOMO 主要由(O2)2-二聚体的π 轨道和V5+阳离子的dxz(或dyz)轨道组成。π 轨道和d 轨道紧密耦合,在V5+-(O2)2-平面上形成了强的杂化轨道。其次,在Rb2VO-(O2)2F 的最低未占据分子轨道(LUMO)中,我们观察到了(O2)2-二聚体的π*轨道和V5+阳离子的d 轨道的电子结构空间分布(图3(d))。因此,可以得出结论,Rb2VO(O2)2F在546 nm处大的双折射率主要来源于(O2)2-二聚体和V5+阳离子之间的d-π 相互作用。该工作证明过氧化物是一类全新的性能优良的双折射晶体,其性能可能优于传统的氧化物。

1.2 SbB3O6

考虑到π 共轭的B-O 阴离子基团和含孤对电子的金属阳离子具有大的微观极化率各向异性,我们团队利用封管法成功合成了首例亚锑硼酸盐SbB3O6[40]。晶体学数据表明,SbB3O6 在极性非中心对称的单斜空间群C2 中结晶。如图4(a)所示,BO3 平面三角形、BO4 四面体和SbO4 多面体构成SbB3O6的三维框架结构。其中,B 原子占据两个独立的晶体学位置,即B1 和B2,分别与3 个O 原子和4 个O原子配位。在ab 平面上,每个BO4 四面体与4 个平面BO3 三角形共顶点连接形成(B3O6)层(图4(b))。这些(B3O6)层沿c 轴相互堆叠,并通过孤立的SbO4 多面体作为层间桥梁,形成整个三维框架结构(图4(a))。实验测试表明,SbB3O6 的双折射率达到了0.290@546 nm,是已知硼酸盐光学晶体材料中的最大值。

图4 SbB3O6:(a)沿a 轴的三维框架,(b)沿c 轴的(B3O6)层,(c)Sb3+阳离子和B-O 基团的电子局域泛函[40]
Fig.4 SbB3O6:(a)the 3D framework viewed along the a axis,(b)(B3O6)layers viewed along the c axis,(c)electron localization function diagram of Sb3+cations and B-O groups[40]

为了阐明SbB3O6 光学特性的机制,对SbB3O6的光学特性进行了深入的第一性原理计算。如图4(c)所示,在SbB3O6 的电子密度分布图谱中,Sb 原子周围出现可视化的裂片,表明Sb 原子的孤对电子具有立体化学活性,这增强了SbB3O6 的光学各向异性,即双折射。同时,BO3 和BO4 基团形成的(B3O6)层也具有较大的结构各向异性。因此,π 共轭的B-O阴离子基团对SbB3O6 的双折射率也有很大的贡献。从上面的分析中,发现SbB3O6 特别大的双折射率是由于π 共轭的B-O 阴离子基团和Sb3+阳离子的具有立体化学活性孤对电子的协同作用导致的。

2 有机-无机杂化双折射晶体

2.1 Cs3Cl(HC3N3S3)

基于类苯环的(HxC3N3S3)(3-x)-功能基团,我们团队利用简便的蒸发法,从CsCl 和Na3C3N3S3 的混合水溶液中获得一例反钙钛矿化合物Cs3Cl(HC3N3S3)[41]。Cs3Cl(HC3N3S3) 在极性非中心对称的正交空间群Pmc21 中结晶。如图5(b)所示,ClCs6 多面体是Cs3Cl-(HC3N3S3)晶体结构中的基本单元,通过共面连接形成准一维反钙钛矿链(图5(c))。如图5(c)所示,准一维反钙钛矿链沿a 轴相互平行,(HC3N3S3)2-环(图5(a))占据了链之间的A 位位置,并在bc 平面上相互平行,构建了Cs3Cl(HC3N3S3)的整体结构。实验测试表明,该化合物的吸收边大约为371 nm,其双折射率高达0.52@550 nm。从结构-性能关系角度分析,如图5(c)所示,(HC3N3S3)2-环平行于(100)面,二面角γ 为0,这是获得大双折射率的最佳各向异性排列方式。

图5 Cs3Cl(HC3N3S3):(a)(HC3N3S3)2-环,(b)ClCs6 多面体,(c)晶体结构[41]
Fig.5 Cs3Cl(HC3N3S3):(a)(HC3N3S3)2-ring,(b)ClCs6 polyhedron,(c)crystal structure[41]

为了进一步分析Cs3Cl(HC3N3S3)晶体大双折射率的起源,计算了该化合物的HOMO 图谱和LUMO 图谱(图6(a~b)),显然,该化合物的HOMO 由S-3p 轨道和N-2p 轨道组成,而LUMO 主要由(C3N3)环上的π 轨道和S 原子上的电子组成。因此,我们推断出高度π 共轭的(HC3N3S3)2-是产生大双折射率的材料基因,而反钙钛矿结构使(HC3N3S3)2-材料基因处于有利的排列。该工作揭示了杂化反钙钛矿作为双折射晶体的巨大潜力。

图6 Cs3Cl(HC3N3S3):(a)HOMO 图谱,(b)LUMO 图谱[41]Fig.6 Cs3Cl(HC3N3S3):(a)HOMO pattern,(b)LUMOpattern[41]

2.2 (C3N6H8)PbBr4

在本工作中,我们同时将π 共轭的三聚氰胺阳离子和Pb2+阳离子引入卤化物体系,通过缓慢蒸发法,得到一种新型层状杂化卤化物钙钛矿(C3N6H8)PbBr4[42]。(C3N6H8)PbBr4 在中心对称的单斜空间群P21/c 中结晶。如图7 所示,(C3N6H8)PbBr4 的晶体结构由PbBr6八面体(图7(a))和三聚氰胺阳离子(C3N6H8)2+组成(图7(b))。该晶体结构可以被描述为一个由[PbBr4]波纹层组成的(110)取向的钙钛矿框架,三聚氰胺阳离子通过弱的N-H···Br 氢键桥连各层(图7(c))。在(C3N6H8)PbBr4 的晶体结构中,有两组平行的三聚氰胺阳离子,同一层之间相邻的三聚氰胺阳离子是反向平行的,而相邻层的三聚氰胺阳离子平面之间的平面夹角约为144°(图7(d))。相邻层的三聚氰胺阳离子平面之间大的二面角和Pb2+阳离子中的立体化学惰性的6s2 孤对电子都不利于实现大的双折射率。令人惊讶的是,(C3N6H8)PbBr4 的双折射率仍高达0.322@550 nm,是已知卤化物钙钛矿中最大值,超过了所有商业双折射晶体的双折射率。

图7 (C3N6H8)PbBr4:(a)PbBr6 八面体,(b)三聚氰胺阳离子,(c)沿a 轴的晶体结构,(d)三聚氰胺平面之间的夹角,(e)HOMO 图谱,(f)LUMO 图谱[42]
Fig.7 (C3N6H8)PbBr4:(a)PbBr6 octahedron,(b)melamine cation,(c)crystal structure of(C3N6H8)PbBr4 viewed along the a axis,(d)angle between melamine planes,(e)HOMO pattern,(f)LUMO pattern[42]

为了进一步分析(C3N6H8)PbBr4 双折射率的微观起源,我们计算了(C3N6H8)PbBr4 化合物的HOMO 图谱(图7(e))和LUMO 图谱(图7(f))。如图所示,离域π 共轭的三聚氰胺阳离子和高度畸变的PbBr6 八面体均表现出明显的电子密度各向异性。尽管排列不平行的Pb2+是立体化学惰性的,但是离域π 共轭的三聚氰胺阳离子和高度畸变PbBr6 八面体对(C3N6H8)-PbBr4 的双折射率都有很大的贡献。总之,通过在卤化物钙钛矿体系中引入离域π 共轭的有机阳离子和具有孤对电子的金属阳离子,成功获得了一种新的层状杂化卤化物钙钛矿(C3N6H8)PbBr4,并揭示了杂化卤化物钙钛矿作为双折射晶体的巨大潜力。

2.3 CsH2C6N9·H2O

基于“π 轨道协同”的设计策略,结合第一性原理计算,我们成功预测了一类新的功能阴离子基元(HxC6N9)(3-x)-,其具有大的极化率各向异性,远大于同构的(B3O6)3-和(HxC3N3O3)(3-x)-功能阴离子基元的极化率各向异性。基于该基元,我们团队利用离子交换法成功合成了一例新的各向异性晶体CsH2C6N9·H2O[10]。该晶体在中心对称的三斜空间群P1¯中结晶。如图8(a) 所示,作为CsH2C6N9·H2O 的基本结构单元,(H2C6N9)-阴离子基元由平面π 共轭的(C3N3)环和三个近似共面的线性-(N-C≡N)-侧臂组成。如图8(b)所示,CsH2C6N9·H2O 具有伪二维层状晶体结构,Cs+阳离子作为抗衡阳离子填充在层内的孔洞中以维持整体电荷的平衡。孤立的(H2C6N9)-阴离子基元通过氢键作用被近似共面的H2O 分子固定,形成伪二维(H4C6N9)单层。相邻的伪二维(H4C6N9)单层以反向平行的方式进一步堆叠,导致最终的中心对称晶体结构。从结构-性能的角度出发,共面且反向平行的(H2C6N9)-阴离子基元处于最佳的光学各向异性排列,有利于在CsH2C6N9·H2O 中产生大的双折射率。双折射率测试表明,CsH2C6N9·H2O 表现出非常大的双折射率,约为0.55@550 nm,这一数值远大于很多商业双折射晶体。

图8 CsH2C6N9·H2O:(a)(H4C6N9)单层,(b)伪二维层状晶体结构,(c)在ELF=1 时,ELF 等值面的三维图示,(d)通过(H2C6N9)-平面的二维ELF 图谱,(e)HOMO 图谱,(f)LUMO 图谱,(g)(H2C6N9)-的π 轨道[10]
Fig.8 CsH2C6N9·H2O:(a)the single layer in the(H4C6N9)crystal structure,(b)the pseudo-two-dimensional layered structure,(c)three-dimensional representation of the ELF isosurface when ELF=1,(d)two-dimensional ELF pattern through the(H2C6N9)-plane,(e)HOMO pattern,(f)LUMO pattern,(g)π orbitals of(H2C6N9)-[10]

为了分析CsH2C6N9·H2O 大双折射率的微观起源,我们对CsH2C6N9·H2O 的ELF 图谱进行了理论计算。可以看出,在线性-(N-C≡N)-侧臂中,末端N原子和C 原子之间的成键显示了典型的三键的特征(图8(c)),这进一步证明了-(N-C≡N)-侧臂可以提供额外的π 轨道。如图8(e~f)所示,CsH2C6N9·H2O的HOMO 主要由N-2p 轨道组成,(H2C6N9)-阴离子基元中的C-2p 和N-2p 轨道在LUMO 中占主导地位。特别地,(H2C6N9)阴离子基元中的(C3N3)环的π 轨道和线性-(N-C≡N)-的π 轨道相互平行,并且进一步平行于相邻(H2C6N9)-中的π 轨道(图8(g))。这意味着,在CsH2C6N9·H2O 的晶体结构中,微观一阶光学各向异性极化率相互叠加,从而产生大的双折射。这项工作为各向异性晶体的结构-性能关系提供了新的见解。

2.4 NaPO2(NH)3(CO)2

基于“π 共轭限域”的策略[44-45],即将π 共轭基元和和非π 共轭基元通过共价键直接结合成一个基元,我们团队采用简便的溶液蒸发法合成了一例新的光学各向异性晶体NaPO2(NH)3(CO)2[46]。该晶体在中心对称的单斜空间群P21/c 中结晶。如图9(a)所示,NaPO2(NH)3(CO)2 的晶体结构由[PO2(NH)3(CO2)]-六元环构成。这些[PO2(NH)3(CO2)]-六元环由两个π共轭的[CO(NH)2]平面三角形和一个非π 共轭的(PO2N2) 四面体通过共价键相连而成。[PO2(NH)3-(CO2)]-阴离子通过氢键进一步相互连接,Na+占据框架结构中的孔洞维持整个结构的平衡(图9(b))。在NaPO2(NH)3(CO)2 晶体结构中,[PO2(NH)3(CO2)]-六元环几乎是相互平行的,有一个很小的二面角,约为7.9°。因此,NaPO2(NH)3(CO)2 具有优异的结构各向异性。实验测试表明,该化合物在190 nm 处的反射率大约为82%,表明NaPO2(NH)3(CO)2 的带隙Eg≥6.5 eV。此外,NaPO2(NH)3(CO)2 还具有极大的双折射率(0.275@550 nm),其双折射率超过了已知宽带隙的商用双折射晶体的双折射率,实现了宽带隙和大双折射率之间的有效平衡。

图9 NaPO2(NH)3(CO)2:(a)[PO2(NH)3(CO)2]-阴离子,(b)沿a 轴的晶体结构,(c)(010)晶面和(001)晶面上的ELF 图谱,(d)(C3N3O3)3-和[PO2(NH)3(CO2)]-的占据π 轨道[44]
Fig.9 NaPO2(NH)3(CO)2:(a)[PO2(NH)3(CO)2]-anionic primitive,(b)crystal structure viewed along the a axis,(c)ELF patterns through the(010)and(001)crystal planes,(d)occupied π orbitals of(C3N3O3)3-and[PO2(NH)3(CO2)]-[44]

为了进一步揭示该化合物晶体结构与光学性质之间的关系,我们分析了该化合物在(010)晶面和(001)晶面上的ELF 图谱(图9(c)),可以直观地观察到[PO2(NH)3(CO2)]-阴离子基元在(010)和(001)晶面上具有明显的电子云密度差异,导致NaPO2(NH)3-(CO)2 晶体具有很强的光学各向异性。此外,还比较了(C3N3O3)3- 和[PO2(NH)3(CO2)]- 环的占据π 轨道。如图9(d)所示,π 共轭电子云在(C3N3O3)3-基团内高度离域。相比之下,[PO2(NH)3(CO2)]-阴离子基元中的PO2(NH)2 四面体只有σ 键,并不具有π 共轭电子云。这表明PO2(NH)2 四面体已经部分解耦了π共轭的相互作用,从而对[PO2(NH)3(CO2)]-的π 共轭作用进行了限域。该发现可能会对宽带隙的大双折射率光学晶体的合理设计提供新的见解。

2.5 Ba(H2C6N7O3)2·8H2O

基于“扩展的π 共轭离域”的设计策略,结合第一性原理计算,我们成功挖掘了一类新的功能阴离子基元(HxC6N7O3)(3-x)-,其具有大的极化率各向异性,大于同构的(B3O6)3-和(HxC3N3O3)(3-x)-功能阴离子基元的极化率各向异性。采用简便的水溶液法,我们团队获得了一例新的光学各向异性晶体材料Ba-(H2C6N7O3)2·8H2O[43]。Ba(H2C6N7O3)2·8H2O 在非中心对称的正交空间群Fdd2 中结晶。在Ba(H2C6N7O3)2·8H2O 的晶体结构中,不对称基本单元由一个晶体学独立位置的(H2C6N7O3)-阴离子基元(图10(a))、一个Ba2+阳离子和4 个H2O 分子组成。每个Ba2+阳离子与6 个H2O 分子和2 个(H2C6N7O3)-阴离子成角共享,通过Ba-O 键形成Ba(H2C6N7O3)2·6H2O(图10b)。Ba(H2C6N7O3)2·6H2O 具有由π 共轭(H2C6N7O3)-阴离子、Ba2+阳离子和H2O 分子构成的3D 骨架(图10(c))。Ba(H2C6N7O3)2·8H2O 表现出优异的光学性能,具有良好的带隙(4.10 eV)、大的双折射(0.22@550 nm)之间的平衡。

图10 Ba(H2C6N7O3)2·8H2O:(a)(H2C6N7O3)-阴离子,(b)Ba2+的配位环境,(c)沿c 轴的晶体结构[43]
Fig.10 Ba(H2C6N7O3)2·8H2O:(a)the(H2C6N7O3)-anion,(b)the coordination environment of Ba2+,(c)the crystal structure viewed along the c axis[43]

Ba(H2C6N7O3)2·8H2O 的HOMO 和LUMO 谱图如图11(a~b)所示,HOMO 主要由N-2p 和O-2p 轨道组成,而LUMO 的组分则由未占据π 轨道组成,表明Ba(H2C6N7O3)2·8H2O 双折射的增强主要来源于(H2C6N7O3)-基元扩展的离域π 共轭作用。该工作为设计全新的功能基团和高性能的非线性光学晶体开辟了新途径。

图11 Ba(H2C6N7O3)2·8H2O:(a)HOMO 图谱,(b)LUMO 图谱[43]
Fig.11 Ba(H2C6N7O3)2·8H2O:(a)HOMO pattern,(b)LUMO pattern[43]

3 总结与展望

(1)基于“多功能基元协同复合”的设计策略,我们团队拓展了过氧化物、亚锑硼酸盐、卤化物杂化钙钛矿和反钙钛矿等双折射晶体材料体系。

(2)基于“π 轨道协同复合”、“扩展的π 共轭离域”和“π 共轭限域”等设计策略,我们团队发现了(HxC6N9)(3-x)-、(HxC6N7O3)(3-x)- 和[PO2(NH)3(CO2)]- 等新型功能基元,并进一步拓展了相关有机-无机杂化双折晶体材料体系。此外,我们还介绍了相关化合物的合成方法、晶体结构、带隙、双折射率、理论计算分析和结构-性能关系等。目前,对于双折射晶体材料的探索研究还主要集中于实验室研究阶段相关晶体的实际应用也依赖大尺寸单晶,故生长相关大尺寸双折射晶体十分有必要。根据结构-性能的基本关系,双折射晶体的性能主要由其功能基元决定。基于传统的功能基元,研究人员很难获得超过传统商业双折射晶体性能的新型双折射晶体。因此,结合高通量计算手段,辅助开发新型功能基元以构建新型双折射晶体很有必要。

参考文献:

[1] COLLETT E. Field guide to polarization[M]. Bellingham: SPIE,2005.

[2] NICHOLLS L H, RODRÍGUEZ-FORTUÑO F J, NASIR M E, et al. Ultrafast synthesis and switching of light polarization in nonlinear anisotropic metamaterials[J]. Nature Photonics, 2017,11:628-633.

[3] CAO L L, PENG G, LIAO W B, et al. A microcrystal method for the measurement of birefringence [J]. CrystEngComm, 2020, 22(11):1956-1961.

[4] SØRENSEN B E.A revised Michel-Lévy interference colour chart based on first-principles calculations[J].European Journal Mineralogy,2013,25(1):5-10.

[5] NIU S Y, JOE G, ZHAO H, et al. Giant optical anisotropy in a quasi-one-dimensional crystal[J].Nature Photonics,2018,12:392-396.

[6] ERMOLAEV G A,GRUDININ D V,STEBUNOV Y V,et al.Giant optical anisotropy in transition metal dichalcogenides for next-generation photonics[J].Nature Communications, 2021, 12:854.

[7] LI R Z, ZHANG G D, LIU L, et al. Origin of ultra-wide IR transmission and ultra-large birefringence of mercurous halide series with one dimensional chain-like structure: An ab initio study[J].Computational Materials Science,2021,188:110139.

[8] BI Y X,LIU L,YUE Z J,et al.Single crystal growth and effect of cleavage micro-striations on crystallinity and optical properties of mercurous halide single crystals[J].CrystEngComm, 2023.https://doi.org/10.1039/D2CE01389D.

[9] LIU L,LI R Z,ZHANG L Z,et al.Long wavelength infrared acousto-optic crystal Hg2Br2: Growth optim ization and photosensitivity investigation[J]. Journal of Alloys and Compounds, 2021, 874:159943.

[10] LI Y Q, ZHANG X, ZHOU Y, et al. An optically anisotropic crystal with large birefringence arising from cooperative π orbitals[J].Angewandte Chemie International Edition, 2022,61(38):e202208811.

[11] DESHAZER L G. Improved midinfrared polarizers using yttrium vanadate:Polarization analysis and measurement IV[C].Bellingham:Proceedings of SPIE,2002.416-419.

[12] ZELMON D E, SMALL D L, JUNDT D. Infrared corrected sellmeier coefficients for congruently grown lithium niobate and 5 mol.%magnesium oxide-doped lithium niobate[J].Journal of the Optical Society of America B,1997,14(12):3319-3322.

[13] LARRY G D.Improved midinfrared polarizers using yttrium vanadate:Polarization analysis and measurement IV[C].Bellingham:Proceedings of SPIE,2002.10-16.

[14] SEDLMEIR F, ZELTNER R, LEUCHS G, et al. High-Q MgF2 whispering gallery mode resonators for refractometric sensing in aqueous environment[J]. Optics Express, 2014, 22(25): 30934-30942.

[15] WU S F,WANG G F,XIE J L,et al.Growth of large birefringent α-BBO crystal[J].Journal of Crystal Growth, 2002,245(1-2):84-86.

[16] GHOSH G. Dispersion-equation coefficients for the refractive index and birefringence of calcite and quartz crystals[J]. Optics Communications,1999,163(1-3):95-102.

[17] 汪相.晶体光学[M].南京:南京大学出版社,2003.WANG X.Opticcal crystallography[M].Nanjing:Nanjing University Press,2003.

[18] CHEN C T,WU Y C,L R K,et al.The anionic group theory of the non-linear optical effect and its applications in the development of new high-quality NLO crystals in the borate series[J].International Reviews in Physical Chemistry,1989,8(1):65-91.

[19] LI Y Q,LUO J H,JI X H,et al.A short-wave uv nonlinear optical sulfate of high thermal stability[J].Chinese Journal of Structural Chemistry,2020,39(3):485-492.

[20] LI Y Q,YIN C L,YANG X Y,et al.A nonlinear optical switchable sulfate of ultrawide bandgap[J].CCS Chemistry,2021,3(7):2298-2306.

[21] LI Y Q,LUO J H,ZHAO S G.Local polarity-induced assembly of second-order nonlinear optical materials[J].Accounts of Chemical Research,2022,55(23):3460-3469.

[22] MUTAILIPU M,POEPPELMEIER K R,PAN S L.Borates:A rich source for optical materials[J]. Chemical Reviews, 2021, 121(3):1130-1202.

[23] JIAO J H,CHENG M,YANG R,et al.Promising deep-ultraviolet birefringent materials via rational design and assembly of planar π-conjugated[B(OH)3]and[B3O3(OH)3]functional species[J].Angewandte Chemie International Edition, 2022,61(27):e202205060.

[24] LIU Y C,LIU Y Q,LIN Z S,et al.Nonpolar Na10Cd(NO3)4(SO3S)4 exhibits a large second-harmonic generation[J]. CCS Chemistry,2022,4(2):526-531.

[25] WU C,JIANG X X,WANG Z J,et al.Giant optical anisotropy in the UV-transparent 2D nonlinear optical material Sc(IO3)2(NO3)[J].Angewandte Chemie International Edition, 2021, 60(7):3464-3468.

[26] GUO J Y, TUDI A, HAN S J, et al. Sn2B5O9Cl: A material with large birefringence enhancement activated prepared via alkaline-earth-metal substitution by tin [J].Angewandte Chemie International Edition,2019,58(49):17675-17678.

[27] 杜志鹏,周洋,赵三根.银簇化合物Ag3B6O10I 的合成、晶体结构和双折射性质[J].应用化学,2023,40(2):229-242.DU Z P, ZHOU Y, ZHAO S G. Synthesis, crystal structure and birefringence properties of silver cluster compound Ag3B6O10I[J].Chinese Journal of Applied Chemistry,2023,40(2):229-242.

[28] CHENG H H,JIN W Q,YANG Z H,et al.Performance of optical materials with the derivative of planar π-conjugated groups: Recent advances and future prospects[J].Inorganic Chemistry Frontiers,2022,9(17):4554-4568.

[29] CHEN X L,ZHANG B B,ZHANG F F,et al.Designing an excellent deep-ultraviolet birefringent material for light polarization[J].Journal of the American Chemical Society,2018,140(47):16311-16319.

[30] KALMUTZKI M,STRÖBELE M,WACKENHUT F,et al.Synthesis, structure, and frequency-doubling effect of calcium cyanurate[J].Angewandte Chemie International Edition,2014,53(51):14260-14263.

[31] LIANG F, KANG L, ZHANG X Y, et al. Molecular construction using (C3N3O3)3-anions:Analysis and prospect for inorganic metal cyanurates nonlinear optical materials[J]. Crystal Growth Design,2017,17(7):4015-4020.

[32] LIN D H, LUO M, LIN C S, et al. KLi(HC3N3O3)·2H2O: Solvent-drop grinding method toward the hydro-isocyanurate nonlinear optical crystal[J].Journal of the American Chemical Society,2019,141(8):3390-3394.

[33] LU J,LIAN YK,XIONG L,et al.How to maximize birefringence and nonlinearity of π-conjugated cyanurates[J]. Journal of the American Chemical Society,2019,141(40):16151-16159.

[34] MENG X H,YIN W L,XIA M J.Cyanurates consisting of intrinsic planar π-conjugated 6-membered rings: An emerging source of optical functional materials[J]. Coordination Chemistry Reviews,2021,439:213916.

[35] CHEN Y X,CHEN Z X,ZHOU Y,et al.An antimony(III)fluoride oxalate with large birefringence [J]. Chemistry-A European Journal,2021,27(14):4557-4560.

[36] ZHANG D,WANG Q,ZHENG T,et al. NH4Sb2(C2O4)F5:A novel UV nonlinear optical material synthesized in deep eutectic solvents[J].Journal of Alloys and Compounds,2022,896:162921.

[37] TONG T H, ZHANG W Y, YANG Z H, et al. Series of crystals with giant optical anisotropy: Atargeted strategic research [J].Angewandte Chemie International Edition,2021,60(3):1332-1338.

[38] ZHANG X D, CAO D X, YANG D Q, et al. Finding the first squarates nonlinear optical crystal NaHC4O4·H2O with strong second harmonic generation and giant birefringence[J].ACS Materials Letters,2022,4(4):572-576.

[39] LIU S,LIU X M,ZHAO S G,et al.An exceptional peroxide birefringent material resulting from d-π interactions [J].Angewandte Chemie International Edition,2020,59(24):9414-9417.

[40] LIU Y C,LIU X M,LIU S,et al.An unprecedented antimony(III)borate with strong linear and nonlinear optical responses[J].Angewandte Chemie International Edition,2020,59(20):7793-7796.

[41] LI M J, ZHANG X, XIONG Z Y, et al. A hybrid antiperovskite with strong linear and second-order nonlinear optical responses[J]. Angewandte Chemie International Edition, 2022, 61(42):e202211151.

[42] HUANG W Q, ZHANG X, LI Y Q, et al. A hybrid halide perovskite birefringent crystal[J].Angewandte Chemie International Edition,2022,61(22):e202202746.

[43] LI Y Q, HUANG W Q, ZHOU Y, et al. A high-performance nonlinear optical crystal with a building block containing expanded π-delocalization[J]. Angewandte Chemie International Edition,2022,62(3):e202215145.

[44] ZHOU Y,ZHANG X,HONG M C,et al.Achieving effective balance between bandgap and birefringence by confining π-conjugation in an optically anisotropic crystal[J].Science Bulletin,2022,67(22):2276-2279.

[45] XIONG L, WU LM, CHEN L. A general principle for DUV NLO materials:π-conjugated confinement enlarges band gap[J]. Angewandte Chemie International Edition,2021,60(47):25063-25067.

Recent Research Advances of Birefringent Crystals

CHEN Shanshan1,2,LI Yanqiang2
(1. Fujian Normal University, Fuzhou 350117, China; 2. State Key Laboratory of Structural Chemistry, Fujian Institute of Research on the Structure of Matter,Chinese Academy of Sciences,Fuzhou 350002,China)

Abstract:Birefringent crystals can efficiently modulate polarized light and thus play an important role in a series of optical devices such as polarized microscopes, optical isolators and polarizers. To obtain birefringent crystals of large birefringence,the key is to search for functional groups with large microscopic polarizability anisotropy based on structure-property relationships. At present, researchers have discovered a variety of functional groups, such as (BO3)3-, (CO3)2-, (B3O6)3-, and(C3N3O3)3- and further synthesized some excellent birefringent crystals. In this review, we will introduce recent research advances of our team on novel functional groups and birefringent crystals. These birefringent crystals are classified into two categories, namely, inorganic birefringent crystals and organic-inorganic hybrid birefringent crystals. In addition, their crystal structures, optical properties, and structure-property relationships are thoroughly discussed.

Key words:birefringence; anisotropy; functional groups; structure-property relationships

中图分类号:O742

文献标识码:A

文章编号:1000-8365(2023)05-0391-09

DOI:10.16410/j.issn1000-8365.2023.3045

收稿日期:2023-03-02

基金项目:国家自然科学基金(22122507,22193042,21833010,21921001,61975207);中国科学院青年创新促进会(Y202069);中国科学院前沿科学重点研究项目(ZDBS-LY-SLH024);中国科学院海西创新研究院(FJCXY18010201);福建省自然科学基金(2022J02012)

作者简介:陈闪闪,1999 年生,硕士生.研究方向:光电功能晶体等.电话:15803708725,Email:CSS8149@163.com

通讯作者:李雁强,1992 年生,博士.研究方向:光电功能晶体等.电话:13599086550,Email:liyanqiang@fjirsm.ac.cn

引用格式:陈闪闪,李雁强.双折射晶体最新研究进展[J].铸造技术,2023,44(5):391-399.CHEN S S,LI Y Q.Recent research advances of birefringent crystals[J].Foundry Technology,2023,44(5):391-399.