Pt 基高温合金具有优越的高熔点、 抗氧化、耐腐蚀等优异的综合性能[1]。 Pt 基涂层已广泛应用于喷气发动机,可作为抗氧化和抗热腐蚀涂层,或作为热障涂层系统的粘结涂层,以延长寿命和提高机翼的耐温能力。 面对高温、高应力、强腐蚀的苛刻服役条件,铂基高温合金材料的快速发展是必然趋势。但是传统的实验试错方法成本高、周期长,阻碍了铂基合金的发展。 材料基因工程为铂基合金的研发提供了新的研发思路和方法,可以大幅缩短铂基合金研发周期[2]。 相图热力学信息在新材料成分设计和加工工艺中起到了重要作用, 结合相图计算(calculation of phase diagram,CALPHAD)方法在构建多元合金相图方面具有很好的外推性和准确性,计算预测得到的热力学数据和实验测量值吻合度很高。 目前Pt 基多元合金热力学数据比较稀少, 通过CALPHAD 构建Pt-Al-Cr 多元合金体系相图的热力学研究,可以指导Pt 基合金材料设计与开发。
铂铝合金和铂铬合金具有相近的γ/γ′显微组织,具有熔点较高的特点,对先进Pt 基合金的开发具有重要意义。Pt-Al-Cr 三元体系包含3 个二元系:Pt-Al、Pt-Cr 和Al-Cr。
Mcalister 和Kahan[3]绘制实验相图并给出了Pt-Al 二元相图中相的晶体结构信息和存在范围。Wu 等[4]于1998 年根据Mcalister 和Kahan 的实验数据采用CALPHAD 方法构筑了Pt-Al 二元相图[4]。当时关于高温β 相实验数据不足,只考虑了体系中7 种金属化合物:Al21Pt5、Al21Pt8、Al2Pt、Al3Pt2、AlPt、Al3Pt5 和AlPt3。 液固相边界数据来自Huch 和Klemm[5]。 采用2 个亚点阵热力学模型不能准确描述无序FCC 相与L12(AlPt3)之间的能量转变。 2011年Kim 等[6]将第一性原理数据与CALPHAD方法结合,计算了β 相的热力学信息弥补了热力学实验数据不足, 同时引入有序无序亚点阵模型描述FCC、L12 和L10 之间的能量转变。 Liu 等[7]认为Kim 提出的热力学模型不满足体系总能量最低原则, 结合新的数据重新修正优化β 相的热力学模型。 本文采用Liu的热力学模型参数,计算得到相图,如图1 所示。
 
    图1 Pt-Al 体系相图
Fig.1 Phase diagram of the Pt-Al system
Pt-Al 二元系的平衡相包含FCC 结构的Pt 基固溶体和Al 基固溶体, 化学计量比相:Al21Pt8、Al21Pt5、AlPt、Al3Pt2、Al2Pt、Al3Pt5、AlPt2 和固溶度范围为10%Pt(原子分数)的AlPt3。 图2 为Pt-Al 二元体系中AlyPtx 相的晶体结构。 Pt-Al 体系中稳定相的晶体学数据汇总见表1。 Al21Pt5 是复杂的立方结构,在930 K发生共晶反应L↔FCC(Al)+Al21Pt5,Al21Pt8 是27.5%Pt(原子分数)左右的金属间化合物。Al2Pt 是溶解度范围为1%Pt(原子分数)的线性化合物。 Pt 不能固溶于Al 的基体之中。 Mcalister 和Kahan[3]发现β相为立方结构,存在于高温下,在1 773 K 发生包晶反应L+AlPt↔β,固溶度范围为51%~56%Pt(原子分数)。在1 533 K 时,共析分解为AlPt 和Al3Pt5。Al3Pt5 是61.5%~63%Pt(原子分数)金属间化合物。 AlPt3 相是Pt 基合金开发特别重要的一项,可以显著提高合金的强度。 在1 829 K 直接从液相形成,在1 553 K 共晶反应发生L↔Pt(FCC)+AlPt3(L12)。 L12 相区随着温度的降低固溶区间减小。Pt-Al 体系中的零变量反应见表2。
表1 Pt-Al体系中平衡相结构信息
Tab.1 Crystal structure of the phases in the Pt-Al system
 
    ?
表2 Al-Pt 体系中零变量反应
Tab.2 Calculated invariant reactions in the Al-Pt system
 
    ?
 
    图2 Pt-Al 二元系金属间化合物的晶体结构
Fig.2 The crystal structures of the intermetallic compounds in the Pt-Al binary system
为了验证Pt-Al 体系CALPHAD 模型计算结果的可靠性, 图3 给出了计算Pt-Al 体系在298.15 K的形成焓(Pt 和Al 的参考态为FCC),其结果与第一性原理计算数据[6,8]和实验数据吻合较好。 图4 为298.15 K 第一性原理计算的L12、L10 和B2 混合焓。B2 相的V 型混合焓最小值为50%Pt(原子分数)。
 
    图3 Al-Pt 体系298.15 K 生成焓与Pt 浓度的关系
Fig.3 Calculated enthalpy of formation at 298.15 K as a function of Pt concentration in the Al-Pt system
 
    图4 Pt-Al 体系中L12、L10 和B2 相在298.15 K 下的混合焓
Fig.4 Enthalpies of mixing of L12,L10,and B2 phases at 298.15 K in the Pt-Al system
1990 年,Venkatraman 等[9]根据实验数据绘制了Pt-Cr 实验相图。 Preußner 等[10]根据实验数据和第一性原理计算数据, 用CALPHAD 方法对Pt-Cr 体系进行了重新评价。 对FCC 无序相进行了SQS 计算,弥补稀少的实验数据, 选择亚点阵模型描述了高温FCC 相和低温L12 相之间的无序有序转变, 计算相图如图5 所示。Zhang 等[11]采用团簇/中心近似(CSA)模型[12]对FCC 族中的有序L12、L10 和无序FCC 相进行了模拟, 描述了3 个FCC 相的稳定性以及L12和L10 的有序-无序跃迁。Pt-Cr 相图的特点是:Pt 端固溶体具有宽的存在范围30%~100%Pt(原子分数),1 127 K 时Pt 在Cr 端固溶体的固溶度为2.5%Pt(原子分数), 并存在3 个有序的中间相Cr3Pt、CrPt 和CrPt3。 晶体学信息在表3 中列出, 晶体结构如图6所示。 Cr3Pt 为有序的A15 立方结构,在1 273 K 存在范围17%~23%Pt(原子分数), 在1 727 K 时共晶反应L↔Cr (BCC)+Cr3Pt 形成和在1 827 K 高温下直接从液相生成。 在1 473 K 下高温无序的FCC 相转变为有序的面心结构CrPt3(L12)。 有序化范围很宽。 CrPt3 随着Cr 含量的增加会转变为亚有序的CrPt(L10)。用热力学模型计算了无序FCC 相的室温生成焓,并与第一性原理计算结果进行了比较。如图7 所示,两者吻合较好。
表3 Pt-Cr体系中平衡相结构信息
Tab.3 Crystal structure of the phases in the Pt-Cr system
 
    ?
表4 Pt-Cr 体系中零变量反应
Tab.4 Calculated invariant reactions in the Pt-Cr system
 
    ?
 
    图5 Pt-Cr 体系相图
Fig.5 Phase diagram of the Pt-Cr system
 
    图6 Pt-Cr 二元系金属间化合物的晶体结构
Fig.6 The crystal structures of the intermetallic compounds in the Pt-Cr binary system
 
    图7 Pt-Cr 体系中FCC 相形成焓
Fig.7 Enthalpyof formationoftheFCCphaseinthePt-Crsystem
1998 年Murray[13]基于实验数据对Al-Cr 相图进行了评估。 Al-Cr 二元体系中包含Al7Cr、Al11Cr2、Al4Cr、Al9Cr4、Al8Cr5、AlCr2 和X(AlCr3)相。 Al-Cr 体系相的晶体学信息汇总于表5, 晶体结构如图8 所示。 2008 年Yu 等 [14] 使用CALPHAD 方法构建Al-Cr 体系热力学模型。 2013 年Hu 等[15]使用XRD发现新相Al11Cr4 的存在。 Mahdouk 和Gachon[16]发现Al11Cr2 只在高温下存在。 在1 058 K 时发生共析反应Al11Cr2↔Al7Cr+Al4Cr。 在1 398 K 观察到高温β-Al8Cr5 转变为低温α-Al8Cr5, 存在范围30%~42%Cr(原子分数)[17]。 Du 等[18]使用XRD 和EPMA 分析得到液相发生共晶转变形成Al7Cr 和FCC(Al),反应温度在927~934 K。 Al7Cr 在1 063 K 时熔化为液态和Al11Cr2。 Kamal 和Mahdouk[19]研究发现液相和Al4Cr通过包晶反应形成Al11Cr2,Al11Cr2 在1 058 K 分解为Al7Cr 和Al4Cr。Al11Cr4 在1 102 K 由Al4Cr 和α-Al8Cr5反应生成,存在范围24%~25%Cr(原子分数)。Grushko等[20]确定Al2Cr 是由BCC 相在1 183 K 转变生成。X相在过饱和Cr 固溶体中以亚稳相形式析出。本工作在Witusiewicz 和Bondar 等[21]报道的热力学参数基础计算得到Al-Cr 二元相图,计算相图如图9,总结零变量反应于表6。
表5 Al-Cr体系中平衡相结构信息
Tab.5 Crystal structure of the phases in the Al-Cr system
 
    ?
表6 Al-Cr 体系中零变量反应
Tab.6 Calculated invariant reactions in the Al-Cr system
 
    ?
 
    图8 Al-Cr 二元系金属间化合物的晶体结构
Fig.8 The crystal structures of the intermetallic compounds in the Al-Cr binary system
 
    图9 Al-Cr 体系相图
Fig.9 Phase diagram of the Al-Cr system
图10为298.15 K 时Al-Cr 体系中金属间化合物的形成焓与Niessen[22]和Barin[23]的实验结果其中Al 元素参考态为FCC,Cr 元素参考态为BCC。 图11 为热力学模型计算Al-Cr 液相在1 723 K 的混合焓与Sudavtsova[24]和Saltykov[25]使用量热方法测定1 723 K 时0~40%Cr(原子分数)的Al-Cr 合金液相混合焓比较,在计算过程中Al 和Cr 组元的参考态为液态,热力学计算结果与实验数据吻合。
 
    图10 Al-Cr 体系298.15 K 生成焓与Cr 浓度的关系
Fig.10 Calculated enthalpy of formation at 298.15 K as a function of Pt concentration in the Al-Cr system
 
    图11 Al-Cr 体系中液相在1 723 K 混合焓
Fig.11 Enthalpy of mixing of the liquid phase at 1 723 K in the Al-Cr system
2010 年Süss[26]使用纯度≥99.9%的样品电弧熔炼了42 种成分Pt-Cr-A 合金。 使用SEM、EDX 和XRD 分析来获得相平衡数据和相的晶体结构鉴定。给出了所有42 种合金的显微组织特征和共存相的成分测定以及显微照片,建了一个初步的液相线投影。首次发现了有一个组成近似于Al2CrPt3 的τ1 相区,合金组成范围27%~42%Al,5%~30%Cr,41%~59%Pt(原子分数)。 提供了XRD 衍射图但未解释τ1 相的晶体结构。由于样品在不同温度下凝固,所示分布不对应于等温截面。 但是Süss 的Al-Cr-Pt 系相平衡数据不完整且有些矛盾, 在Al-Cr 体系中许多金属间化合物名称不能和Al-Cr 相图中的成分名称对应。 2013 年Kornienko[27]用高温扩散、XRD、电子探针分析和差热分析的结果, 首次在成分三角形上构造了固相线表面。 Kornienko[27]认为Pt-Al-Cr 体系中在0~50%Pt(原子分数)的实验数据存在争议,只考虑1 623 K下测定了50%~100%Pt(原子分数)范围内合金组成。确定了Al-Cr-Pt 三元系的固相线表面由6 个单相区组成,分别对应于三元相τ1(结构未知)、Pt 基固溶体和存在于Al-Pt 体系中的4 个二元相Al3Pt5、AlPt、AlPt2 和AlPt3(L12)。
纯组元i (i=Al,Cr,Pt) 在φ 相(φ=liquid、FCC、BCC)的摩尔吉布斯自由能与温度的关系描述为:
 
   式中,T 为温度。
在Al-Cr、Al-Pt 和Cr-Pt 体系中, 将液相、FCC(Pt,Al)和BCC(Cr)固溶体相用一个亚点阵描述其摩尔吉布斯自由能表达式:
 
   式中,xi 为元素i 的摩尔分数,表示所考虑相中元素i 的吉布斯自由能 理想混合熵;EGm 表示过剩吉布斯自由能用Redlich-Kister 多项式表示:
理想混合熵;EGm 表示过剩吉布斯自由能用Redlich-Kister 多项式表示:
 
   kL 为2 种元素之间相互作用参数,通常描述为:
 
   使用亚点阵模型来描述间隙固溶体相和化学计量比相,Al-Pt 体系中Al21Pt5、Al21Pt8、Al2Pt、Al3Pt2、AlPt、Al3Pt5 和AlPt2 相,Al-Cr 体系中Al7Cr、Al11Cr4、Al11Cr2、Al8Cr5 和AlCr4,Pt-Cr 中Cr3Pt(A15)相可以描述为(A,B)m,(A,B)n,表示亚点阵中含有组元A 和B, 2 个亚点阵比例为m:n。 φ 相摩尔吉布斯自由能描述为:
 
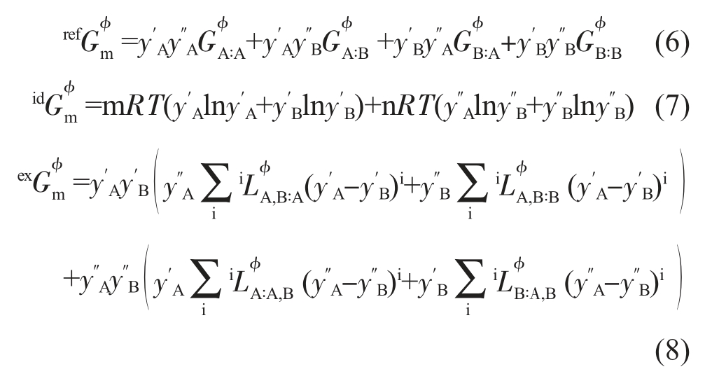
   φ 相的吉布斯自由能由基于端际化合物所构成的能量参考面、 理想混合熵对吉布斯自由能的贡献和过剩吉布斯自由能构成,分别见式(6)~(8):
 
   式中 和
和 分别为第1 个和第2 个亚点阵中组元i 的点阵分数
分别为第1 个和第2 个亚点阵中组元i 的点阵分数 表示φ 相端际化合物的摩尔吉布斯自由能,*表示不同组元A 和B
表示φ 相端际化合物的摩尔吉布斯自由能,*表示不同组元A 和B 表示第一个亚点阵和第二个亚点阵上组元之间的相互作用。
表示第一个亚点阵和第二个亚点阵上组元之间的相互作用。
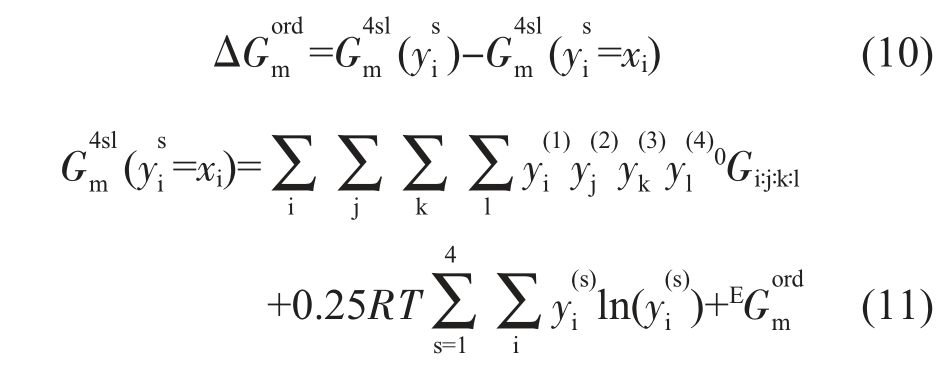
4 个亚点阵复合能量形式(4SL-CEF)[28]可以准确地描述Pt-Al 体系中β 相、AlPt3(L12)相和Pt-Cr体系中CrPt3 中有序相与无序相之间的能量变化:
 
   式中 表示无序FCC 相的吉布斯自由能
表示无序FCC 相的吉布斯自由能 为点阵s 中组元i 的摩尔分数
为点阵s 中组元i 的摩尔分数 为FCC相为有序状态的能量,当FCC 相为有序相时,无序相的能量为零,公式(10)有序相的能量表示为:
为FCC相为有序状态的能量,当FCC 相为有序相时,无序相的能量为零,公式(10)有序相的能量表示为:
 
   式(11)中第1 项描述的是所有端际化合物的机械混合,0Gi∶j∶k∶l 表示端际化合物的吉布斯自由能;第2项表示每个亚点阵随机组合;最后一项表示过剩吉布斯自由能,形式如下:
 
    
   式中,Li1,i2∶j∶k∶l 表示当其他3 个点阵分别被成分j、k和l 占据时第1 个点阵上i1 和i2 之间的相互作用。
图12为计算得到的Pt-Al-Cr 三元体系液相面投影图, 从图中分析可知包含L→Cr(BCC)+Al2Pt、L+Al4Cr →Al21Pt8、L+Cr→β-Al8Cr5(γ-L)、L+AlPt2→Al21Pt8、共晶反应L→AlPt+Cr+Al2Pt、L+Cr3Pt→FCC、L→B2、FCC→Pt3Cr+CrPt、L+Al3Pt2→Al2Pt+AlPt、L+AlPt2、FCC→CrPt(L10)、Cr3Pt→FCC、L→Pt+AlPt2、L+Al21Pt5→Al21Pt8+Al 反应。
 
    图12 Pt-Al-Cr 系的液相面投影图
Fig.12 Liquidus surface projection of the Pt-Al-Cr system
根据理论外推计算全成分范围的Pt-Al-Cr 三元体系873.15 、1 073.15、1 273.15 K 的等温截面,如图13 所示。单相区包含Pt、Al、Cr3 个固溶体、有序相B2、Pt3Al(L12)、CrPt3(Order)、Cr3Pt、Al21Pt5、Al21Pt8、Al2Pt、Al3Pt2、AlPt、Al3Pt5、AlPt2、Al45Cr7、Al5Cr、AlCr4、α-Al8Cr5(γ-H)、β-Al8Cr5(γ-L)。三相区的相组成包含B2+CrPt3(Order)+AlPt、B2+AlPt+Al3Pt2、B2+Cr(BCC)+Cr3Pt、B2+Cr3Pt+Cr(BCC)、B2+Al3Pt2+Al2Pt、B2+Al2Pt+α-Al8Cr5、Pt3Al (L12)+AlPt2+B2、AlPt2+Al3Pt5+CrPt3(Or der)、Al21Pt8+Al21Pt5+Liquid。 在873.15、1 073.15、1 273.15 K 范围内B2 相的面积扩大与Pt-Al 体系中B2 相区随温度的变化一致。
 
    图13 计算Pt-Al-Cr 三元系不同温度下等温截面
Fig.13 Calculated isothermal sections in the Pt-Al-Cr system
(1)本文通过对Pt-Al、Pt-Cr 和Al-Cr 二元系的相图相平衡信息、热力学计算结果及第一性原理计算数据进行严格评估,计算了混合焓、形成焓等热力学性质并与文献数据进行了比较,计算得到的热力学性质与文献报道的数据吻合较好。
(2)在二元的基础上,用CALPHAD 方法外推Pt-Al-Cr 三元系进行评估, 得到了一组自洽的热力学参数。计算了873、1 073 和1 273 K 下的等温截面和液相线投影图, 得到了Pt-Al-Cr 三元相的相组成和零变量反应。
(3)Pt-Al-Cr 三元体系热力学数据库的优化建立,为后续Pt 高温合金的研发提供更加系统的理论指导。参考文献:
[1] YU W,CHONG X Y,GAN M D,et al.Effect of alloying emelents on thermoelastic properties of Pt-based dilute alloys[J].Transactions of Nonferrous Metals Society of China, 2023. http://kns.cnki.net/kcms/detail/43.1239.TG.20220610.1449.016.html
[2] 王献,魏燕,蔡宏中,等. 基于材料基因工程的铂基高温合金数据库建设进展[J].贵金属,2022,43(S1):29-36 WANG X, WEI Y, CAI H Z, et al. Construction progress of Pt-based superalloy database based on genetic engineering[J].Precious Metals,2022,43(S1):29-36.
[3] MCALISTER A J, KAHAN D J. The Al-Pt (aluminum-platinum)system[J].Bulletin of Alloy Phase Diagrams,1986,7(1):47-51.
[4] WU K,JIN Z.Thermodynamic assessment of the Al-Pt binary system[J].Journal of Phase Equilibria,2000,21(3):221-226.
[5] HUCH R,KLEMM W.Das system platin-aluminium[J].Zeitschrift für anorganische und allgemeine Chemie,1964,329(1):123-135.
[6] KIM D E,MANGA V R,PRINS S N,et al.First-principles calculations and thermodynamic modeling of the Al-Pt binary system[J].CALPHAD,2011,35(1):20-29.
[7] LIU X L,LINDWALL G,OTIS R,et al.Thermodynamic remodeling of the Al-Pt system towards an assessment of the Al-Ni-Pt system[J].CALPHAD,2016,55:88-102.
[8] FENG J,XIAO B,CHEN J,et al.Stability,thermal and mechanical properties of PtxAly compounds[J].Materials & Design, 2011,32(6):3231-3239.
[9] VENKATRAMAN M,NEUMANNJP.TheCr-Pt (chromium-platinum)system[J].Bulletin of Alloy Phase Diagrams, 1990,11(1):16-21.
[10] PREUßNER J,PRINS S,VÖLKL R,et al.Determination of phases in the system chromium-platinum(Cr-Pt)and thermodynamic calculations[J].Materials Science and Engineering:A,2009,510-511:322-327.
[11] ZHANG C,ZHU J,MORGAN D,et al.Thermodynamic modeling of the Cr-Ir binary system using the cluster/site approximation(CSA)coupling with first-principles energetic calculation[J].CALPHAD,2009,33(2):420-424.
[12] CAO W,ZHU J,YANG Y,et al.Application of the cluster/site approximation to fcc phases in Ni-Al-Cr system[J].Acta Materialia,2005,53(15):4189-4197.
[13] MURRAY J L.The Al-Cr (aluminum-chromium) system[J].Journal of Phase Equilibria,1998,19(4):367-375.
[14] LIANG Y, GUO C, LI C, et al. Thermodynamic modeling of the Al-Cr system[J].Journal of Alloys and Compounds, 2008, 460(1-2):314-319.
[15] HU B,ZHANG W W,PENG Y B,et al.Thermodynamic reassessment of the Al-Cr-Si system with the refined description of the Al-Cr system[J].Thermochimica Acta,2013,561:77-90.
[16] MAHDOUK K, GACHON J C. Thermodynamic investigation of the aluminum-chromium system[J]. Journal of Phase Equilibria,2012,21(2):157-166.
[17] GRUSHKO B,PRZEPIÓRZYN'SKI B,PAVLYUCHKOV D,et al.Complex intermetallics in Al-Cu-Cr system[J]. Journal of Alloys and Compounds,2007,442(1-2):114-116.
[18] DU Y,SCHUSTER J C,CHANG Y A.Experimental identification of the degenerated equilibrium in extreme Al end of the Al-Cr system[J].Journal of Materials Science,2005,40(4):1023-1025.
[19] MAHDOUK K, GACHON J C. Thermodynamic investigation of the aluminum-chromium system[J].Journal of Phase Equilibria,2000,21(2):157-166.
[20] GRUSHKO B, KOWALSKA-STRZE˘CIWILK E, PRZEPIÓRZYN'SKI B,et al. Investigation of the Al-Cr γ-range[J]. Journal of Alloys and Compounds,2005,402(1-2):98-104.
[21] WITUSIEWICZ V T, BONDARB A A, HECHTA U, et al. Thermodynamic re-modelling of the ternary Al-Cr-Ti system with refined Al-Cr description[J].Journal of Alloys and Compounds,2015,644:939-958.
[22] NIESSEN A K,MIEDEMA A R,DE BOER F R,et al.Enthalpies of formation of liquid and solid binary alloys based on 3d metals:IV. Alloys of cobalt[J].Physica B+C,1988,151(3):401-432.
[23] SHAO J F,BURLION N.Thermochemical data of pure substances[M].HOBOKEN:John Wiley&Sons,Inc.1995.
[24] SUDAVTSOVA V, SHARKINA N, SHUVALOV A. Thermodynamic properties of liquid binary Al-Cr (Ni) alloys[J].Rasplavy,1990,1:97-99.
[25] SALTYKOV P, WITUSIEWICZ V, ARPSHOFEN I, et al. Enthalpy of mixing of liquid Al-Cr and Cr-Ni alloys[J].Journal of Materials Science&Technology,2002,18(2):167-170.
[26] SÜSS R,CORNISH L A,WITCOMB M J.Investigation of as-cast alloys inthePt-Al-Crsystem[J].Journal of Aalloys and Compounds,2010,490(1-2):124-144.
[27] KORNIENKO K E, KHORUZHA V G, MELESHEVICH K A, et al. The constitution of alloys and phase diagram of the ternary Al-Cr-Pt system at 50~100 at.% Pt.I.Solidus surface and isothermal section in the Al-Cr-Pt system at 1 350 ℃in the range 50~100 at.%Pt[J].Powder Metallurgy and Metal Ceramics, 2013,52(5-6):314-328.
[28] SUNDMAN B, FRIES S G, OATES W A. A CALPHAD assessment of the Au-Cu system using the cluster variation method[J].Zeitschrift für Metallkunde,1999,90(4):267-273.
Integrated Modelling and Calculation of Phase Diagram of the Pt-Al-Cr System
种晓宇,博士,教授.研究方向:材料多尺度集成计算、材料基因工程的研究.Email:xiaoyuchong@kust.edu.cn
高兴誉,博士,研究员.研究方向:多尺度集成算法和软件开发、电子结构计算方法.Email:gao_xingyu@iapcm.ac.cn
HUANG Y X,WANG P Z Y,CHONG X Y,et al.Integrated modelling and calculation of phase diagram of the Pt-Al-Cr system[J].Foundry Technology,2023,44(2):195-202.