新材料的研发和应用反映了一个国家的科学技术水平,新材料产业作为21 世纪的支柱产业,推动了高端装备制造、新能源汽车、新一代信息技术、生物技术等产业的快速发展。 然而,从新材料研发到产业化周期漫长,是各国面临的共同难题。 集成计算材料工程(integrated computational materials engineering,ICME)对于加快新型先进材料的发现和应用至关重要。 它是将计算手段所获得的材料信息与产品性能分析和制造工艺模拟相结合, 旨在把计算材料科学的工具集成为一个整体系统以加速材料的开发和改造工程设计的优化过程,从而在实际制备之前就实现材料成分、制造过程和构件的计算最优化,有效提高先进材料开发、制造和投入使用的速度[1-3]。 如图1 所示,先进材料的典型发现、设计、创新和制造链包括组成、加工、微观结构、属性和性能。 材料基因组计划 (materials genome initiative,MGI)强调实验工具、计算工具和数据库及它们交互作用的主导地位, 而人-信息-物理系统(human-cyber-physical systems,HCPS)和材料基因工程(materials genome engineering,MGE) 则强调HCPS 的交互作用,这预示了上述先进技术未来的应用。 大量官方文件和计划中已概述了计算材料工程的独特挑战和机遇以及未来可传承的集成智能制造(I3M)的战略蓝图,例如,美国的MGI[4]、德国的工业4.0[5]、韩国的工业创新3.0[2]、中国的MGE 和HCPS[6]。 新材料的研发范式,包括实验驱动、理论驱动、计算驱动和数据驱动[6-7]。基于这些先进材料的设计范式,材料发现和工程创新为技术进步开辟了新的领域, 包括数据挖掘、机器学习[7-8]等。将大数据和机器学习相关的技术集成, 可以将理论预测与微观自由度联系起来加速区域材料的设计与合成。例如,集成实验衍射数据、对称性统计反馈、基于密度泛函理论(density functional theory,DFT)的优化算法,第一原理辅助结构解析已成为一种新型自动预测晶体结构的混合方法[9]。 DFT 计算和计算相图(calculation of phasediagram,CALPHAD) 的集成被认为是材料基因和材料设计的主要部分[10-12],并已建成一个强大的数据驱动的ICME 材料开发框架[2,13],该框架强调基于相物理性质的数据库。 随着计算材料科学和计算能力的迅速发展,集成多物理场模拟推动了热力学、动力学、结构、缺陷和性质在多尺度中的预测,极大地加速了材料数据库或存储库的发展[2,11,14]。此外,通过集成多尺度模拟,设计策略可以跨越从电子到相甚至到产品的范围[10,13,15],并且可以有效确立筛选目标候选材料的原则和判据[2,11,16-18]。
 
    图1 集成计算材料工程[2]
Fig.1 Integrated computational materials engineering(ICME)era[2]
卫星、飞船、星际探测器等航天工业的迅速发展需要解决一系列润滑科学与技术问题。 大量机械部件的失效与润滑有关,如图2(a~b)所示[19]。这些运动部件对润滑剂的共性要求是:在保证有较低摩擦系数和足够长的耐磨寿命的同时具有足够低的蒸汽压、较好的耐辐照性能、较宽的温度适用范围、较好的防真空冷焊性能。 因此,润滑技术是空间运载工具和飞行器安全可靠运行的关键技术,直接关系到航天工程的成败。 我国自主研发的润滑技术和材料在航天领域已得到大量应用[20]。 兰州化物所研究制备了高性能物理气相沉积固体润滑薄膜材料,对新型运载火箭的核心部件成功实施了有效润滑,保障了长征七号运载火箭的成功发射。 如图2(c)所示[19],在磁盘存储方面,为了减小磁头与磁盘滑移时的摩擦和磨损,清华大学郑泉水团队提出了超润滑机械硬盘技术[21-22]。 将磁头的润滑剂薄膜换成石墨烯及将磁介质润滑层换成二维晶体材料, 提高磁存储。在精密制造中,数控机床上的刀具能否减少受摩擦力的影响,精确定位到指定位置加工零件,对于零件尺寸的精密性具有重要意义,如图2(d)所示[19]。值得关注的是, 在我国从制造大国向制造强国迈进中,支撑高端制造业发展润滑剂、润滑脂等材料,其相关设计理论、制备技术、应用技术仍存在众多难题[23-25]。因而,发展长寿命、高可靠性润滑材料与技术具有重要的理论意义和应用价值。
 
    图2 固体润滑材料研究背景:(a~d)固体润滑材料在航天、航空、磁存储和精密制造上的应用,(e)新型润滑材料研发范式[19]
Fig.2 The research background of solid lubricants:(a~d)the applications of solid lubricants in astronautics,aeronautics,magnetic storage and accurate manufacture,(e)the theoretical development stages for lubricants[19]
基于材料基因组理念, 摩擦学数据库的建立有助于润滑材料的研发,缩短研发周期[26-27]。 在空间摩擦学数据库建设方面,美国国家航空航天局NASA、欧洲空间摩擦学实验室、 日本航空与航天发展局和俄罗斯宇航局等均建立了比较完善的空间摩擦学研究系统,开展了比较深入、系统的基础研究,缩短了研发成本和周期。 国内关于“润滑材料基因组”方面已开展了系列相关的研究工作并取得了重要进展。刘维民院士团队负责了由国家重点研发计划支持的“润滑材料的基因组学研究与演示验证”项目,采用材料基因工程方法,集成高通量计算及试验数据,构建基于关系型数据库MySQL 和非关系型数据库MongoDB 的数据库平台,建立Hypertext Preprocessor 与MySQL/MongoDB 的连接, 实现数据库数据格式的规范与共享、不同数据格式的存储与转换,满足航空润滑材料高通量计算设计的需求[27]。 清华大学摩擦学国家重点实验室, 基于向列相润滑分子作用下薄膜润滑的有序模型, 利用微极流体理论模拟了薄膜润滑的润滑特性,探求薄膜润滑的基本规律[28]。中国科学院力学研究所非线性力学国家重点实验室武作兵研究员在纪念摩檫学40 周年之际,提出了一种将固体基体界面区的原子描述和远离界面的粗粒化有限元描述组合起来的多次度方法, 计算所得的剪应力曲线与全原子模拟结果完全相符[29]。其中,武汉材料保护研究所, 李健研究员建立摩擦磨损与润滑设计数据库,该数据库是“智能制造科学数据服务平台”的组成部分之一[30]。以采集、整理、开发国内外与摩擦、磨损、润滑相关的材料性能数据、摩擦学试验数据、文献资料、成果资料、人才资料、产品资讯等,创造网络服务环境,为机械设计、材料研究、润滑工程、 摩擦学教学等等提供基于网络的技术支持,为国家重大科研项目和政府部门决策提供摩擦学相关依据。
基于材料基因工程关键技术,新材料研发范式促进了润滑材料理论研究方法的发展,并将有助于解决不同尺度下润滑机理和模型的系列难题,如图2(e)所示。 例如,理论驱动的约化模型把复杂的摩擦过程等效成物理模型,可反映大尺度问题并能与实验结合,但大量简化不能深入地阐释界面信息。 广泛应用于分子动力学和第一性原理计算的近真实界面模型,可揭示界面物性对摩擦本质影响,但受计算量限制无法为宏观实验提供有效信息。 最后是机器学习建立摩擦性能参数模型,可高效设计筛选材料,但可能会缺乏物理意义的解释。 因此,通过集成材料基因工程高通量计算、高通量实验、数据库技术等方法, 建立润滑材料设计-制备-评价-应用的新型贯通式智能设计-智造-测试评价体系,将有效缩短航天润滑材料的研制周期和成本,并成为国际摩擦学领域的前沿研究课题。
约化模型是从复杂的物理现象中抽象出物理模型,只保留主要因素,能以非常清晰的形式展示摩擦机理。 同时,其计算量小,可以模拟大尺度系统。 由于约化模型对实际系统做了大量简化,只能定性描述一般的摩擦行为, 无法像近真实原子界面模型那样描述界面的化学性质、 构型等对摩擦的影响[31-32]。摩擦约化模型主要是指Prandtl-Tomlinson(PT)模型、Frenkel-Kontorova(FK)模型及二者的扩展形式[33]。
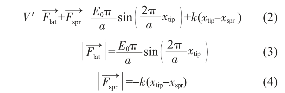
图3所示为一维PT 模型,1 个质量为m 的原子通过1 个刚度为k 的弹簧与以恒定速度ν 往前的基座相连,并在一维周期晶格表面滑动[34-35]。 一维周期晶格相当于基底, 滑移的单个原子等效滑移层所有原子。 基底与单原子之间的相互作用用余弦周期势函数表达, 单原子与滑块的相互作用由弹簧简谐势表达,因而PT 模型的总势能函数[34]表示为:
 
    图3 Prandtl-Tomlinson(PT)模型中连续/黏滑转变原理:(a)一维PT 模型示意图;(b)连续滑移机制,(c)单跳及多跳黏滑机制,(d)滑移-摩擦力曲线反映连续、单跳及多跳滑移机制[34-35]
Fig.3 The transformation mechanism between smooth and stick-slip for the Prandtl-Tomlinson (PT)model: (a)schematic diagram of the one-dimensional(1D)PT model,(b)continuous slip,(c)simple-and multijump stick-slip,(d)curve for the slid-friction force[34-35]
 
   式中,Vlat 为基底周期势能;Vspr 为弹簧基座弹性势能;xspr 为弹簧基座位移;xtip 为单原子位移;a 为基底晶格常数 为势垒高度。 总势能函数的一阶导数表示单原子运动至某一位置所受的力, 包括基底侧向力Flat 和弹簧弹性力Fspr,表示为[34,36]:
为势垒高度。 总势能函数的一阶导数表示单原子运动至某一位置所受的力, 包括基底侧向力Flat 和弹簧弹性力Fspr,表示为[34,36]:
 
   假设单原子以准静态方式运动, 则
 图3(b)表示侧向力函数与弹性力函数始终相交,不存在相切情况,即V″≠0,表明总势能函数不存在凹凸函数拐点,没有能垒出现,单原子始终是连续滑移。 图3(c)表示侧向力函数与弹性力函数存在相切情况,即在相切位置之前单原子沿总势能曲线运动(stick),当到达切点后原子由稳态变成非稳态,之后跳至亚稳态(slip),然后回到稳态。 滑移状态的描述取决于
 图3(b)表示侧向力函数与弹性力函数始终相交,不存在相切情况,即V″≠0,表明总势能函数不存在凹凸函数拐点,没有能垒出现,单原子始终是连续滑移。 图3(c)表示侧向力函数与弹性力函数存在相切情况,即在相切位置之前单原子沿总势能曲线运动(stick),当到达切点后原子由稳态变成非稳态,之后跳至亚稳态(slip),然后回到稳态。 滑移状态的描述取决于 有几个解,只有1 个解时总势能函数只有1 个极小值,单原子呈连续滑移状态。 有2 个及以上解时,总势能极小值的个数随之增多,单原子会从单跳过渡到多跳,从1 个极小值跳到近邻或更远的极小值。
有几个解,只有1 个解时总势能函数只有1 个极小值,单原子呈连续滑移状态。 有2 个及以上解时,总势能极小值的个数随之增多,单原子会从单跳过渡到多跳,从1 个极小值跳到近邻或更远的极小值。
由图3 还可以看出, 当基底势函数一定时,弹簧刚度不同, 解的个数可能不同,正如图3(c)中显示的是不同解个数对应的临界ki。 通常评估不同滑移状态转变,这个临界判据与弹性力函数和侧向力函数的切线之比有关。 典型的连续滑移-黏滑转变的判据为:
解的个数可能不同,正如图3(c)中显示的是不同解个数对应的临界ki。 通常评估不同滑移状态转变,这个临界判据与弹性力函数和侧向力函数的切线之比有关。 典型的连续滑移-黏滑转变的判据为:
 
   当η<1 时,V″>0,总势能函数只有唯一极小值,单原子是连续滑移;当η>1 时,总势能函数有不少于2 个极小值,单原子是黏滑状态。 此临界值表明,滑移面上有无能垒存在与基底周期势能幅值和驱动力弹簧刚度有直接关联。PT 模型可以用来解释大部分原子力显微镜的实验结果。 同时,它还可以解释摩擦的温度、速度、热振动、摩擦系数。 其拓展形式主要是针对基底势函数优化,从而适合具体滑移体系。 然而PT 模型存在2 个固有缺陷:①此类模型只考虑了单个接触,无法评价界面公度性对摩擦的影响;②没有考虑滑移层内部弹性对摩擦的影响。
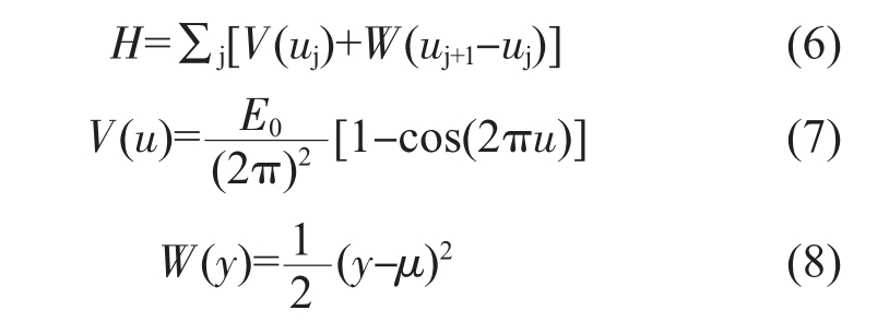
图4是一维FK 模型[31],由弹簧连接的一维原子链在一维周期晶格表面以恒定速度运动。 这里假设弹簧刚度为1,一维周期晶格相当于基底,用三角函数表达,则按某种顺序排布的一维原子链{uj}运动到任意位置体系的总势能为[37-39]:
 
    图4 Frenkel-Kontorova(FK)模型示意图:(a)一维FK 模型,(b)一维Frenkel-Kontorova-Tomlinson(FKT) 模型,(c)二维FKT模型[31]
Fig.4 Schematic diagram of the Frenkel-Kontorova(FK)model:(a)1D FK model,(b)1D FKT model,(c)2D FKT[31]
 
   式中,uj 为第j 个原子的位置;V (u) 为基底周期势场;W(y)为一维原子链内部相邻原子间弹性势能;E0为周期性势场幅值;y 为弹簧变形后的长度;μ 为弹簧原始长度。 显然,弹性势场W(y)趋向于原子间距相等,而基底势场V(u)促使原子位于能谷位置。 当一维原子链周期(滑移层晶格参数)与基底势场的周期(基底晶格参数)之比为无理数时,基底势场破坏弹性势场作用,阻碍原子等间距,称这种现象为链原子间距与基底周期长度竞争或基底对滑移层进行空间调制。当这种竞争关系达到一个临界时,滑移层相对于基底会发生脱钉↔钉扎转变,称为Aubry 转变。这个转变类似PT 模型,是在FK 模型中定义的连续滑移↔黏滑转变。 Aubry 用壳函数描述原子链从一个基态变换至下一个基态的过程。 给ω 定值,存在Ec 当E0 时,Ec 最大,接近于1。 这里假定基底势场周期和一维原子链刚度都是1。通常ω 表示界面结构非公度性,即滑移层与基底晶格参数之比。而临界值Ec 也是由基底势场幅值E0 与滑移层刚度k 之比决定。若E0≫k,原子uj 位于基底峰值的下一刻, 弹性势能增加速率远小于基底势能减小速率,峰值位置无原子稳定存在,壳函数不连续,出现能垒。这里为区别Ec,用λc 代表一般情况。 可见FK 模型定义的连续滑移↔黏滑转变判据是体系界面错配度、 基底势场幅值和滑移层刚度的函数,即λc=λc(ω,E0,k)。
时,Ec 最大,接近于1。 这里假定基底势场周期和一维原子链刚度都是1。通常ω 表示界面结构非公度性,即滑移层与基底晶格参数之比。而临界值Ec 也是由基底势场幅值E0 与滑移层刚度k 之比决定。若E0≫k,原子uj 位于基底峰值的下一刻, 弹性势能增加速率远小于基底势能减小速率,峰值位置无原子稳定存在,壳函数不连续,出现能垒。这里为区别Ec,用λc 代表一般情况。 可见FK 模型定义的连续滑移↔黏滑转变判据是体系界面错配度、 基底势场幅值和滑移层刚度的函数,即λc=λc(ω,E0,k)。
摩尔纹超晶格结构(moiré superlattice,MSL)是由二维材料界面晶格参数本征错配或界面转角产生具有周期性势场的结构[40-42],可改变原始的电子分布、能带结构、原子间作用力,在光学、超导、磁性和量子霍尔效应等领域都有特殊优势[43-48],如图5(a~c)所示。 二维材料是天然的润滑材料,但传统的润滑机制都是依靠材料本征结构和化学性质,达到的润滑效果有限。 结构超滑是二维材料体系中形成了MSL,摩擦系数在0.001 以下,由于层间错配抵消滑移过程中的侧向力,消除接触面结构自锁,从而实现摩擦系数降低甚至为0,如图5(d)所示。 它是从人为设计界面、建立MSL 角度实现降低摩擦系数,其定义了一种新型的二维材料润滑模式[49-52]。
 
    图5 摩尔纹超晶格背景介绍:(a)主要形成方式有异质界面、转角、平面应变,(b)MSL 的物理性质,(c)在先进材料领域的应用,(d)结构超滑机制示意图,公度结构(左),非公度结构(右),(e)结构超滑研究的标志性进展成果[43,45-49,55-60]
Fig.5 The background of the moiré superlattice:(a)the origin of the moiré superlattice,including the heterointerface,twist and plane strain,(b)the physical properties of the moiré superlattice,(c)the applications of the moiré superlattice in developing advanced materials,(d)illustrations of commensurate(left)and incommensurate(right)states,(e)the major milestones in structural superlubricity research[43,45-49,55-60]
图5(e)展示了从1990 年Hirano[53]数学理论预测到2004 年Dienwiebel[52]实验首次实现的相关进展,但之后由于实验条件要求苛刻,对结构超滑的研究很少。 直到2012 年,清华大学郑泉水[54]设计自缩回实验,克服了介观尺度和非真空的问题。 其中,大部分科学问题的研究都经历了发现新现象、揭示内在机制和应用实际3 个阶段,而结构超滑的研究正在经历前两个阶段。 尽管目前还没有明确的结构超滑机制,一些实验结果不能用已有理论进行解释,但是过去10 年在机制研究方面已有重大突破,将获得实际应用。 2020 年清华大学雒建斌团队提出“Superlubritive Engineering”的概念[51],将结构超滑的概念、机制、材料与工程环境结合,发展新的结构超滑理论和技术是从实验室走向工程化的第一步,也是翘首可盼的重要研究领域。
MSL 结构是一种人为设计的结构,目前可以实现旋转结构的常用软件和脚本包有:OVITO、VASPKIT、ATMOSK。 但是它们都只能旋转,不能生成单胞或提供筛选单胞的信息,也不能实现高通量建模。基于重合点阵理论[61-63],本研究团队开发了2D 材料MSL 高通量建模算法[12],如图6 所示。 同质材料转角MSL 结构算法在旋转结构的基础上, 可以筛选有完美重合点的近似角度,并且生成适用于建模软件的真实和近似角度VASP 和lammps 文件。 同时,还提供了真实和近似角度的重合点原子信息。 该算法中原子坐标精确到小数点后8 位,角度精确到小数点后1 位,重合点定义可自行设置精度。 批量输出时,平均每个结构耗时8 s。另外,程度参数输入和结构输出都有界面提示语,方便用户灵活使用。 且该算法性能稳定,符合用户要求。 算法可以同时得到真实角度和在设定误差范围内的近似角度。 真实角度的结构重合点精度较低,但这符合有各种缺陷存在和考虑晶格振动因素下的材料结构。 近似角度是在不考虑前面实际情况的前提下,单胞中存在数学上完美重合点的结构,这为寻找真实角度的单胞大小和调整边界原子位置提供参考。
 
    图6 二维材料MSL 高通量建模算法:(a)算法功能,(b)算法流程结构
Fig.6 A high-throughput modelling code for MSL in two-dimensional materials:(a)the functions,(b)framework of this code
MSL 结构产生特殊的物理性质可以用通过构建近真实原子界面模型, 采用分子动力学和第一性原理计算来描述,比如滑移过程中层间相互作用、界面原子重排列、电子能带结构变化等。 近些年来,原子尺度模拟研究超滑机制取得了重要进展, 对实现结构超滑所需的界面条件有了进一步认知。
一方面,当把纳米尺度MSL 作为结构体系中最小超滑单元时,可建立MSL 几何结构与外界因素关系。 这类研究基于MSL 的存在可以抵消滑移界面层间侧向力,避免结构自锁,降低摩擦力的理论。 比如,模拟石墨烯滑片在发生平面应变的基底上滑移,首次发现摩擦力随基底平面应变的增加而非单调减小,并认为这个现象是与滑片面积和MSL 尺寸相对大小有关[64]。类似地,在异质界面金-石墨烯体系中,相同接触面积,层间转角12.5°与8°对应的MSL 尺寸不同。前者MSL 周期在边界处完整,可实现超滑,而后者在边界处只有一半MSL 会产生边界钉扎效应,摩擦力增大[65]。 同时,滑移层运动轨迹不会按作用力方向移动,而是沿基底晶格位向发生自锁,MSL结构可以调控运动轨迹。 由于MSL 使层间范德华作用力重叠,改变滑移面势能和最小滑移路径[66]。当滑移层与基底都不固定时, 滑移层的移动可使基底沿正交方向移动, 且相对运动快慢与MSL 尺寸有关[67]。综上,以最小MSL 结构为研究单元,可以直观、简洁地获得摩擦力与外界因素的关系, 但其不能从本质解释结构超滑机制, 对一些层间错配但仍有较大摩擦力的现象解释缺乏直接证据。
另一方面,从MSL 的物理本质和二维材料作为润滑材料的核心参量范德华力入手,研究MSL 对层间相互作用的影响,可揭示结构超滑的内在机理。已有研究表明,MSL 尺寸越大、AA 区域越多, 二维材料在靠近费米面附近的能带越趋于扁平, 表明电子在层内局域化分布越明显[68-69],晶格畸变越严重,发生原子层变形,改变界面原子共价键极性和层间距,进而改变层间相互作用。 典型的调控层间相互作用力的方法有如下3 种: ①层间电荷密度可反映层间交互作用。 Lu[70]建立了滑移过程中层间电荷密度波动面与滑移面势能之间的对应关系, 发现滑移面势能与层间侧向力变化趋势一致, 进而建立起微观电荷密度与宏观侧向力的关系。类似地,异质界面体系MoS2/石墨烯相比同质对应的同质结构MoS2/MoS2、石墨烯/石墨烯,滑移过程中层间电荷密度几乎没有变化,其滑移面势垒最低,摩擦力最小[71]。 ②界面原子化学键极性可调控层间范德华力。 外界条件改变极性。逐步提升垂直平面的载荷,可使界面区域电荷极化、反向分布,改变层间相互作用,使原子层经历起伏变形、平坦到反向起伏变形[72]。 氟化石墨烯中C-F 键电负性比石墨烯中C-C 键的电负性强,层间电荷密度低,范德华力弱,摩擦系数低。 从本征结构改变极性,原子层内掺杂其他元素调控范德华力[73]。氮元素掺杂石墨烯后层间距增加,界面结合能减弱,摩擦力降低[74]。 同时,p-型掺杂均会削弱范德华力且掺杂元素的浓度也会不同程度的影响范德华力。③改变电子能带结构。 双层黑磷体系中层间相对滑移到不同位置[75],禁带宽度不同,通过额外注入电子-空穴载流子,平衡滑移过程中的禁带宽度变化,发现滑移面的能垒消失。
本团队提出数据驱动的集成计算材料工程,在摩擦润滑领域, 展开了大量基于第一性原理计算的润滑机制研究。采用第一性原理计算,从晶格畸变角度研究了同异质过渡族金属硫化物(transition metal dichalcogenide,TMD)界面MSL 尺寸、掺杂类型、化学键极性、 能带结构对原子尺度界面变形和摩擦的影响机制。基于重合点阵理论,建立近真实界面原子模型。 以典型2D 润滑材料MoS2 为例[76],计算3 个转角MSL(13.17°、21.79°和32.2°)界面结构。 同时,考虑到材料的耐磨性和抗氧化性,以21.79°和0°为基体分别掺杂Al、Ti、V、Cr 原子。结果表明,MSL 尺寸、掺杂类型和电负性差可产生不同效果的晶格畸变,打破了范德华力与排斥力的平衡,使得电子重新分布,原子层发生周期性起伏变形。由层间距和层间电子密度的变化,可预测润滑性变化趋势为(Mo,Al)S2<(Mo,Cr)S2
 
    图7 晶格畸变调控(Mo,X)S2(X=Al,Ti,V,Cr)结构超滑的机制[76]
Fig.7 Mechanism of lattice distortions modulating the superlubricity of(Mo,X)S2(X=Al,Ti,V,Cr)[76]
在同质转角MSL 界面基础上,本团队还研究了转角异质界面MoS2/MoSe2 结构超滑的物理机制[77]。图8(a~b)中局部电子重新分布和晶格畸变引起的轨道杂化导致能带改变, 反映在不同界面转角下布里渊区高对称点的特殊位置和原子轨道波函数的占据。 摩尔势能可以周期性调控层间相互作用, 进而改变滑移面势垒。 通过拟合层间电荷密度的波动与滑动位移曲线, 发现在正弦函数关系中拟合幅值参数α 与电子结构和滑移能垒之间的经验关系,用于预测和评价2D 材料的润滑性能。 已有研究从能带结构[78-80]、L-J 势函数模型[81]、经验三角函数模型[82-83]角度,建立摩尔势与特定物理参数的函数关系。本工作中α 代表层间键合电子密度(bonding charge density,Δρ)的幅值,与摩尔势受界面组成和转角影响。 分析不同界面取向的MoS2/MoSe2 异质界面和MoS2 同质界面表面势能图和最小能量滑移路径。 一方面,对于相同的界面组成, 未转角比转角的滑移面能垒要高,并且随MSL 尺寸的减小,能垒降低。比如沿最小能量滑移路径上21.79°的能垒最高,13.17°的最低。这说明MSL 晶格畸变越大、α 值越高,产生滑移面上能垒越高。 另一方面,对于同一转角,异质界面层间α 幅值比同质界面小,其能垒更低。 因而,层间Δρ 幅值α 与滑移能垒成正相关。 本工作中,摩尔势从层间Δρ 周期性波动推导而来,α 可以作为建立电子结构与摩擦性能关系的中间桥梁。 图8(c)为以转角和VBE 展宽为自变量的α 函数关系, 如下式所示:
 
    图8 转角21.79°MoS2/MoSe2 界面Mo 原子能带结构:(a)d 轨道投影能带图,(b)能带分解电荷密度图,ρ=0.002 5 e-1·A° -3,(c)以转角和能带展宽为变量的键合电子密度波动幅值α 的拟合函数[77]
Fig.8 The band structures for MoS2/MoSe2 with a twist angle of 21.79°:(a)the d orbit-projected band structures(OPBS),(b)band decomposed charge density,ρ=0.002 5 e-1·A° -3,(c)α of fitting sinusoid interlayer Δρ with the variations of twist angle and band edge width[77]
 
   式中,θ 为界面转角;Ewid 为靠近带隙的价带展宽。 α与VBE 展宽是反比例关系, 与转角是非单调关系。对于同一界面组成VBE 展宽值在相同范围。这些说明,VBE 越扁平、MSL 越小,对应的α 越低。 通过分析能量势垒随带隙和转角变化趋势,揭示了MSL 对结构超滑本质影响, 并为加速开发具有优异摩擦学性能的先进材料奠定基础。
材料数据库是MGI 相互融合的三大创新平台之一,大数据技术是MGI 的关键技术之一。 第四范式中对海量数据的收集、传输、存储和使用即为大数据技术。数据挖掘技术构建一个识别出有效的、潜在有用的、 最终可理解的数据的过程, 称为其核心技术, 包括数据库技术和机器学习。 数据管理技术重点包括高效存储和处理, 数据分析技术侧重从数据中获取知识。 机器学习是从原始数据中提取模式的能力,通过基于数据的算法,理解和学习物理系统内部各种现象、关联、规律的能力,可以构建出在复杂实际环境下运行的人工智能系统。 机器学习在新材料研发中应用4 种基本技术:回归、分类、聚类和降维[86-87]。 其新材料研发的目的主要有3 种:①数据直接建模, 如构件成分-组织-工艺-性能内禀关系及设计[88];②物理学机理研究,如成分对性能的影响机理、组织形成机制、新合金发现等[89];③工艺设计与过程优化,机器学习辅助工艺参数设计、复杂工艺过程建模[90]。数据直接回归建模分析,一般适合于规律研究,实现成分优化设计、性能预测等,但难以阐明影响机理[91]。在此基础上,关于影响机理的机器学习对于新合金发现、 组织形成机理探索和优化具有重要意义。其原理是通过特征量的分析,研究各变量对性能的影响机理,找出最核心的特征参量,进而建立基本特征量-性能关系模型。 本团队基于第一性原理计算, 初步对多组元钛基合金建立数据库并进行深度机器学习[92],通过径向基核函数的支持向量机法对数据集的替代回归模型进行训练, 发现电子功函数在钛基合金的成分设计和力学性能评价中起重要作用, 提出了综合各种强化机制的合金设计新方法,并得到了实验验证。
图9(a)展示了摩擦学的研究内容,主要包括摩擦、磨损、润滑,涉及到的学科有材料科学、物理、化学和计算机及信息学[84,93]。并且每一门学科在摩擦领域发挥的作用各具特色,如修饰表面化学特征、计算摩擦理论模型等。 这些特征参数的总体称为摩擦信息学,构成摩擦数据库。机器学习研究摩擦学的逻辑如图9(b)所示,首先输入材料的3 方面信息作为训练数据包括:①材料的结构、表面性质等基本特征;②温度、层厚等实验数据;③各种摩擦理论模型。 然后, 采用监督或非监督学习方法对机器学习模型进行训练。 最后,输出多个摩擦学性质参数,如摩擦系数、服役极限温度等。通过对输入数据进行不同思路的处理, 会对机器学习的输出结果产生不同的物理学机制解释[85,94-96]。 目前,机器学习在摩擦学方面的研究主要有润滑和磨损2 个方面,如图10 所示。 在润滑方面,Fronzi[97]建立了1800 万种范德华层状结构材料数据库, 包括DFT 计算结果和空间结构参数,通过遗传算法和LASS 回归算法筛选DFT 关键参量, 利用聚类法选择用于训练模型的有代表性的空间结构,然后用BNN 方法进行机器学习,获得基于层间相互作用和原子层弹性模量原则设计润滑材料的方法。 Torres[98]和Peterson[99]分别用高斯回归(Gaussian process regression,GPR) 和神经网络(neural network,NN) 机器学习的方法加速传统NEB 方法在滑移面鞍点的寻找并保持能垒精度, 便于纳米尺度摩擦行为分析。 Baboukani 等[100]对15 种二维材料进行两两组合, 研究每对组合中影响滑移面势能相关的7 个性质的线性相关性, 发现TMD 组合相关性强,可用于预测接近材料的润滑性能。Marko[101]采用随机森林、支持向量回归等多种机器学习方法,从小数据样本中预测Al 和MoS2 的摩擦力[101]。 类似地,机器学习也可以用来预测高熵合金[102]和复合材料[103]的摩擦性能。 在磨损方面,Hasan[104]采用5 种机器学习的方法研究了铝合金摩擦性能与材料本征性质的关系, 并发现随机森林法对铝合金磨损速率的预测好于其他4 种。 借助磨粒状态来分析磨损机制是一种有效的方法, 为了高效准确的磨粒类型进行分类,Peng[105]将卷积神经网络(convolutional neural networks, CNN)与迁移学习(transfer learning, TL)和支持向量机(support vector machine,SVM)结合使用对磨粒进行图像识别,提取关键特征,区分剪切、疲劳、球状、滑移4 种颗粒。 Gangwar[106]研究了载荷、滑移速度、滑动距离、组成成分两两组合对磨损率的影响。 Qiao[107]同时考虑了机械和化学对磨损体积的影响,对比多个机器学习模型,发现在预测磨损体积精度方面最好的是人工神经网络。
 
    图9 数据驱动的摩擦研究:(a)摩擦学的研究内容,(b)机器学习方法预测摩擦性能的主要步骤和参数[84-85]
Fig.9 Data-driven research of tribology: (a) illustration of current tribology research, (b) the main steps and parameters related to machine learning to predict the tribological performance[84-85]
 
    图10 机器学习研究材料的润滑和磨损性质:(a)协方差矩阵图表示成对二维材料之间的性质相关性和预测初始滑移时表面最大能垒,(b)多种机器学习模型预测Al 和MoS2 的摩擦力,(c)结合混合卷积神经网络(CNN)与迁移学习(TL)和支持向量机(SVM)法区分四种磨损碎屑,(d)支持向量机回归法预测硼酸盐和磷酸盐的磨损体积[100-101,105,107]
Fig.10 Machine learning(ML)studying the lubricity and wear of solid materials:(a)covariance matrix map representing the pairwise correlations among the selected 2D materials and the maximum energy barrier values predicted by Bayesian modelling and transfer learning techniques,(b)the friction forces of Al and MoS2 evaluated by various ML models,(c)a hybrid convolution neural network(CNN)used with transfer learning(TL)and support vector machine(SVM)to classify four types of wear debris,(d)predicted wear volume of borosilicate glass and phosphate glass using the SVM algorithm[100-101,105,107]
材料高通量制备是采用特定设计的装置快速获得大量样品,缩短实验时间、提高制备效率,实现单次制备多组合多成分的样品。 高通量沉积润滑涂层材料常采用共沉积法,即多个沉积靶同时工作,通过调整沉积靶与目标靶之前的距离和角度及施加上的功率,确定目标靶上沉积涂层的成分组成和梯度,其原理如图11(a)所示[108]。磁控溅射镀膜是利用溅射效应,使高能量的粒子轰击靶材表面,靶原子逸出后沿特定方向进行移动,最终沉积在衬底上,形成薄膜。图11(b)为多元金属拼接靶材磁控溅射制备掺杂摩擦薄膜设备[109]。 以MoS2 掺杂Nb、Cr、V、Ti 和Al 原子为例, 使用该设备可一次性制备200 多个不同掺杂比例的薄膜样本。 图中Si 基目标靶材Part Ⅰ和Part Ⅱ位于拼接靶材和纯MoS2 中间, 并固定间距。其上可人为划分1 cm×1 cm 栅格用于区分不同浓度的沉积样本。 在氩气气氛中, 匀速转动目标靶PartⅠ和Part Ⅱ,通过磁控溅射将不同金属元素和纯的MoS2 沉积到目标靶上。 根据元素种类调节功率,使沉积到目标靶上的元素总量接近。 从图11(b)可知,由于金属元素在空间上的分布差异, 沉积在薄膜上的局域浓度随位置而变化。 Nb 和Cr 在Part Ⅰ上含量较大,而V 和Al 在Part Ⅱ上比例较大。 因此,这将沉积过程中拼接靶均匀性差的缺点转化为高通量制备多浓度掺杂薄膜样本的优势, 可用于研究掺杂元素种类和含量对摩擦性能的影响。
 
    图11 高通量制备和测试表征耐磨损润滑材料:(a~b)制备,(c~d)测试[108-111]
Fig.11 High throughput preparation,synthesisand measurement wear-resistance lubricants:(a~b)preparation and synthesis,(c~d)measurement,various key components in(d)containing 1-friction/wear head,2-normal load cell,3-adhesion head,4-robotic arm,5-probe hopper,6-linear actuator,7-x-y positioning stage,8-lateral load cell,and 9-vacuumed sample stage[108-111]
1- 摩擦/ 磨损测试探头2- 法向载荷单元3- 黏着力测试探头4- 机械臂;5- 传输探针装置6- 线性致动器;7-x-y 定位器8-横向载荷单元9-真空样品室
润滑薄膜的材料高通量测试表征主要是指对制备好的材料样品进行原位、 实时地观察和表征材料的响应变化情况。图11(c)为高通量测试摩擦力设备[110]。 机械臂前端为一个直径9.5 mm 的钢球作为探头,与试样表面接触,以2 mm/s 速度匀速平行于试样表面平移。 其后端连接着法向力和牵引力数据采集装置,数据采集速率为1 000 Hz。摩擦系数根据摩擦力与法向载荷的比值获得, 其中摩擦力与匀速运动时牵引力数值相等。 摩擦系数每2 min 测试1次,直到探头走完整个样品为止。图11(d)也是高能量测试装置,原理与图11(c)类似,不同的是这个装置可以同时表征磨损、黏着力、动态和静态摩擦系数[111]。
本文综述了ICME 在理论驱动、 计算驱动和数据驱动3 个阶段对固体润滑材料发挥的重要作用。经典的摩擦理论模型从复杂的摩擦现象中提取出宏观参量,等效成物理约化模型,或可解释原子力显微镜的结果,或可考虑速度、温度的影响,或可引入材料本征参数的影响,可为实验提供有效信息。 与PT模型相比,FK 模型引入了界面的公度性因素, 进一步考察了界面弹性与界面间相互作用对体系润滑的影响。但对于结构超滑产生的摩尔纹错配,这种情况如何刻画体系的非公度性、 错配后界面刚度还能否用原子间弹性作用力表达等问题仍需要进一步研究。 另外,2 种模型无法提供更进一步的细节信息,如特定界面间的相互作用随公度、力场变化关系,此时就需要近真实原子界面模型辅助。 近真实原子界面模型是构建摩擦纳米尺度界面, 采用分子动力学和第一性原理计算,描述滑移过程中层间相互作用、界面原子重排列、电子能带结构变化等,从滑移面势能、 层间电荷密度波动和电子能带结构变化3 个角度与纳米摩擦建立联系, 解释电子结构调控层间范德华力,进而产生结构超滑的微观机制。 但是,目前该尺度模拟还缺乏具有可解释的数学模型, 未找到影响润滑材料的关系物理量, 从理论转向实验和工程应用仍有较大的研究空间。 机器学习与第一性原理、实验的集成可进行成分-结构-工艺/性能关系的研究,并指导材料设计。 对于微观物理机制研究,机器学习不仅可以减小第一性原理的计算, 还可以评估影响因素间的相关性。值得注意的是,目前关于摩尔纹结构超滑的机器学习还鲜有报道, 其对微观机制和新材料高效设计意义重大。
[1] WANG W Y, TANG B, LIN D Y, et al. A brief review of data-driven ICME for intelligently discovering advanced structural metal materials:Insight into atomic and electronic building blocks[J].Journal of Materials Research,2020,35(8):872-889.
[2] WANG W Y, LI J S, LIU W M, et al. Integrated computational materials engineering for advanced materials: A brief review[J].Computational Materials Science,2019,158:42-48.
[3] XIONG W,OLSON G B.Cybermaterials:Materials by design and accelerated insertion of materials[J].npj Computational Materials,2016,2(1):15009.
[4] HOLDREN J P. Materials genome initiative for global competitiveness[R].Office of Science and Technology Policy WASHINGTON D.C.,2011:1-18.
[5] ZHONG R Y,XU X,KLOTZ E,et al.Intelligent manufacturing in the context of industry 4.0:A review[J].Engineering, 2018, 3(5):616-630.
[6] ZHOU J,LI P G,ZHOU Y H,et al.Toward new-generation intelligent manufacturing[J].Engineering,2018,4(1):11-20.
[7] DE PABLO J J,JACKSON N E,WEBB M A,et al.New frontiers for the materials genome initiative[J].npj Computational Materials,2019,5(1):41.
[8] LIU Y,ZHAO T L,JU W W,et al.Materials discovery and design using machine learning [J]. Journal of Materiomics, 2017, 3(3):159-177.
[9] MEREDIG B, WOLVERTON C. A hybrid computational-experimental approach for automated crystal structure solution[J].Nature Materials,2013,12(2):123-127.
[10] OLSON G B,KUEHMANN C J.Materials genomics: From CALPHAD to flight[J].Scripta Materialia,2014,70:25-30.
[11] LIU Z K. Ocean of data: Integrating first-principles calculations and CALPHAD modeling with machine learning[J]. Journal of Phase Equilibria and Diffusion,2018,39(5):635-649.
[12] KAUFMAN L,ÅGREN J.CALPHAD,first and second generation-birth of the materials genome[J]. Scripta Materialia, 2014, 70:3-6.
[13] ZHOU B C, WANG W Y, LIU Z K, et al. Chapter 8-Electronics toPhasesof Magnesium[M]//HDRSTEMEYER M F.Integrated Computational Materials Engineering (ICME) for Metals: Concepts and Case Studies. Hoboken: John Wiley & Sons, 2018:237-282.
[14] POLLOCK T M.Alloy design for aircraft engines[J].Nature Materials,2016,15(8):809-815.
[15] KRAJEWSKI P E,HECTOR Jr.L G, QI Y,et al.Atoms to autos:A multi-scale approach to modeling aluminum deformation[J].JOM,2011,63(11):24-32.
[16] MOUNET N,GIBERTINI M,SCHWALLER P,et al.Two-dimensional materials from high-throughput computational exfoliation of experimentally known compounds[J].Nature Nanotechnology,2018,13(3):246-252.
[17] SENDEK A D, YANG Q, CUBUK E D, et al. Holistic computational structure screening of more than 12 000 candidates for solid lithium-ion conductor materials[J].Energy & Environmental Science,2017,10(1):306-320.
[18] CUBUK E D, IVANCIC R J S, SCHOENHOLZ S S, et al. Structure-property relationships from universal signatures of plasticity in disordered solids[J].Science,2017,358(6366):1033-1037.
[19] 郑泉水,欧阳稳根,马明,等. 超润滑:“零”摩擦的世界[J]. 科技导报,2016,34(9):12-26.ZHENG Q S, OUYANG W G, MA M, et al. Superlubricity: A world of “zero”friction[J].Science&Technology Review,2016,34(9):12-26.
[20] 钟爱文,姚萍屏,肖叶龙,等. 空间摩擦学及其材料的研究进展[J].航空材料学报,2017,37(2):88-99.ZHONG A W,YAO P P,XIAO Y L,et al.Research status and developing trend of space tribology and tribological materials[J].Journal of Aeronautical Materials,2017,37(2):88-99.
[21] 郑泉水,张首沫.读写接触式硬盘的磁头,硬盘设备及转移方法:中国专利,103824566A[P].2015-9-24.ZHENG Q S, ZHANG S M. Magnetic head of read/write contact type hard disk and hard disk equipment as well as transfer method CN103824566A[P].2015-9-24.
[22] 郑泉水,程曜,刘益伦.一种硬盘设备:中国专利,101794581A[P].2013-03-27.ZHENGQS,CHENG Y,LIU Y L.Harddiscdevice:CN10179458A[P].2013-03-27.
[23] DEEPTHI B, BARSHILIA H C. Nanostructured solid lubricant coatings for aerospace applications[M]//ZHANG S, ZHAO D L.Aerospace Materials Handbook. Boca Raton: CRC Press, 2013:359-414.
[24] 张涛,陈晓阳,顾家铭,等. 航天轴承精度寿命研究现状及展望[J].导航与控制,2018,17(1):1-10.ZHANG T, CHEN X Y, GU J M, et al. Research status and prospect of aerospace bearing accuracy life[J].Navigation and Control,2018,17(1):1-10.
[25] NIAN J Y,CHEN L W,GUO Z G,et al.Computational investigation of the lubrication behaviors of dioxides and disulfides of molybdenum and tungsten in vacuum[J].Friction,2017,5(1):23-31.
[26] 孙晓军, 刘维民. 对我国空间摩擦学实验及其数据库建设的思考与建议: 中国宇航学会结构强度与环境工程专委会与航天空间环境工程信息网2005 年度学术讨论会论文集[C].北京:中国宇航学会,2005.166-169.SUN X J,LIU W M.Thinking and suggestions on the national spatial tribology experiment and database construction: Proceedings of the 2005 Symposium for China Academic symposium on structural strength and environmental engineering committee and space environment engineering information networ[C]. Beijing:Chinese Society of Astronautics,2005.166-169.
[27] WANG W Y,LI P X,LIN D Y,et al.DID code:A bridge connecting the materials genome engineering database with inheritable integrated intelligent manufacturing[J]. Engineering, 2020, 6(6):612-620.
[28] 张朝辉,雒建斌,温诗铸. 薄膜润滑中的微极流体效应[J]. 力学学报,2004,36(2):208-212.ZHANG Z H,LUO J B,WEN S Z.Micropolar effects in thin film lubrication[J].Chinese Journal of Theoretical and Applied Mechanic,2004,36(2):208-212.
[29] 武作兵. 薄膜润滑系统的多尺度模拟研究进展:2006 全国摩擦学学术会议—纪念摩擦学40 周年论文集[C]. 武汉:中国机械工程学会摩擦学分会,2006.153-156.WU Z B. Advances in multiscale simulation of film-lubric systems: 2006 National Tribology Conference—Proceedings commemorating the 40th Anniversary of Tribology[C].Wuhan:Chinese Mechanical Engineering Society Tribology Institution, 2006.153-156.
[30] 杨俊辉,孟辉,李健.摩擦学数据资源建设相关问题初探:2007 先进制造与数据共享国际研讨会论文集[C]. 北京:中国机械工业联合会,2007.425-429.YANG J H, MENG H, LI J. Discussion on the issue of tribology data resource construction: Proceedings of the 2007 International Symposium on Advanced Manufacturing and Data Sharing[C].Beijing:China Machinery Industry Federation,2007.425-429.
[31] DONG Y, VADAKKEPATT A,MARTINI A. Analytical models for atomic friction[J].Tribology Letters,2011,44(3):367-386.
[32] BRAZDA T, SILVA A, MANINI N, et al. Experimental observation of the Aubry transition in two-dimensional colloidal monolayers[J].Physical Review X,2018,8(1):011050.
[33] ZHANG S,MA T B,ERDEMIR A,et al.Tribology of two-dimensional materials: from mechanisms to modulating strategies[J].Materials Today,2019,26:67-86.
[34] MEDYANIK S N,LIU W K,SUNG I H,et al.Predictions and observations of multiple slip modes in atomic-scale friction[J].Physical Review Letters,2006,97(13):136106.
[35] VANOSSI A,MANINI N, URBAKH M, et al. Colloquium: Modeling friction: From nanoscale to mesoscale[J].Reviews of Modern Physics,2013,85(2):529-552.
[36] WEISS M,MAJCHRZYCKI Ł,BORKOWSKA E,et al.Nanoscale dry friction:Dependence on load and sliding velocity[J].Tribology International,2021,162:107133.
[37] BAK P. Commensurate phases, incommensurate phases and the devil's staircase[J].Reports on Progress in Physics,1982,45:587.
[38] LEBEDEVA I V, POPOV A M. Commensurate-incommensurate phase transition and a network of domain walls in bilayer graphene with a biaxially stretched layer[J]. Physical Review B, 2019, 99(19):195448.
[39] FLORÍA L M,MAZO J J.Dissipative dynamics of the Frenkel-Kontorova model[J].AdvancesinPhysics,1996,45(6):505-598.
[40] ANDREI E Y, EFETOV D K, JARILLO-HERRERO P, et al. The marvels of moiré materials[J].Nature Reviews Materials,2021,6(3):201-206.
[41] ANIRBAN A.Twistfortopology[J].NatureReviewsPhysics,2021,3(3):154.
[42] HE F,ZHOU Y,YE Z,et al.Moiré patterns in 2D materials:A review[J].ACS Nano,2021,15(4):5944-5958.
[43] PIXLEY J H, ANDREI E Y. Ferromagnetism in magic-angle graphene[J].Science,2019,365(6453):543.
[44] SHARPE A L, FOX E J, BARNARD A W, et al. Emergent ferromagnetism near three-quarters filling in twisted bilayer graphene[J].Science,2019,365(6453):605-608.
[45] WANG P, ZHENG Y L, CHEN X F, et al. Localization and delocalization of light in photonic moire lattices[J]. Nature, 2020,577(7788):42-46.
[46] CAO Y, RODAN-LEGRAIN D, RUBIES-BIGORDA O, et al.Tunable correlated states and spin-polarized phases in twisted bilayer-bilayer graphene[J].Nature,2020,583(7815):215-220.
[47] BREM S, LINDERÄLV C, ERHART P, et al. Tunable phases of moiré excitons in van der Waals heterostructures[J].Nano Letters,2020,20(12):8534-8540.
[48] PATRA S, KUMARI P, MAHADEVAN P. Evolution of the electronic structureoftwistedbilayerMoSe2[J].Physical ReviewB,2020,102(20):205415
[49] HOD O, MEYER E, ZHENG Q S, et al. Structural superlubricity and ultralow friction across the length scales[J].Nature,2018,563(7732):485-492.
[50] CHEN X C,LI J J.Superlubricity of carbon nanostructures[J].Carbon,2020,158:1-23.
[51] LUO J B,ZHOU X.Superlubricitive engineering—Future industry nearly getting rid of wear and frictional energy consumption[J].Friction,2020,8(4):643-665.
[52] DIENWIEBEL M,VERHOEVEN G S,PRADEEP N,et al.Superlubricity of graphite[J]. Physical Review Letters, 2004, 92(12):126101.
[53] HIRANO M,SHINJO K.Atomistic locking and friction[J].Physical Review B,1990,41(17):11837-11851.
[54] LIU Z, YANG J R, GREY F, et al. Observation of microscale superlubricity in graphite[J].Physical Review Letters,2012,108(20):205503.
[55] WOODS C R, BRITNELL L, ECKMANN A, et al. Commensurate-incommensurate transition in graphene on hexagonal boron nitride[J].Nature Physics,2014,10(6):451-456.
[56] WANG K Q,OUYANG W G,CAO W,et al.Robust superlubricity by strain engineering[J].Nanoscale,2019,11(5):2186-2193.
[57] CROSSE J A,MOON P.Quasicrystalline electronic states in twisted bilayers and the effects of interlayer and sublattice symmetries[J].Physical Review B,2021,103(4):045408.
[58] SCHERER M M, KENNES D M, CLASSEN L. Chiral superconductivity with enhanced quantized Hall responses in moiré transition metal dichalcogenides[J].npj Quantum Materials,2022,7(1):100.
[59] VANOSSI A, BECHINGER C, URBAKH M. Structural lubricity in soft and hard matter systems[J].Nature Communications,2020,11(1):4657.
[60] HOD O. Interlayer commensurability and superlubricity in rigid layered materials[J].Physical Review B,2012,86(7):075444.
[61] HERMANN K.Periodic overlayers and moiré patterns: theoretical studies of geometric properties[J]. Journal of Physics Condensed Matter,2012,24(31):314210.
[62] SHALLCROSS S,SHARMA S,KANDELAKI E,et al.Electronic structure of turbostratic graphene[J].Physical Review B,2010,81(16):165105.
[63] FORTES M A. N-dimensional coincidence-site-lattice theory[J].Acta Crystallographica Section A,1983,39(5):351-357.
[64] WANG K Q, QU C Y, WANG J, et al. Strain engineering modulates graphene interlayer friction by moire pattern evolution[J].ACS Applied Materials&Interfaces,2019,11(39):36169-36176.
[65] YANIV R, KOREN E. Robust superlubricity of gold-graphite heterointerfaces[J].Advanced Functional Materials, 2020,30(18):1901138.
[66] MENG Z S,WU Z Y,CARRETE J,et al.Twisted bilayer graphene as a linear nanoactuator [J]. Physical Review B, 2020, 102(15):155424.
[67] CAO X,PANIZON E,VANOSSI A,et al.Orientational and directional locking of colloidal clusters driven across periodic surfaces[J].Nature Physics,2019,15(8):776-780.
[68] ZHAO X J,YANG Y,ZHANG D B,et al.Formation of bloch flat bands in polar twisted bilayers without magic angles[J].Physical Review Letters,2020,124(8):086401.
[69] WATERS D, NIE Y, LUPKE F, et al. Flat bands and mechanical deformation effects in the moiré superlattice of MoS2-WSe2 heterobilayers[J].ACS Nano,2020,14(6):7564-7573.
[70] ZHANG B Z, CHENG Z W, ZHANG G G, et al. First-principles theory of atomic-scale friction explored by an intuitive charge density fluctuation surface[J]. Physical Chemistry Chemical Physics,2019,21(44):24565-24571.
[71] WANG L Z, ZHOU X, MA T B, et al. Superlubricity of a graphene/MoS2 heterostructure:a combined experimental and DFT study[J].Nanoscale,2017,9(30):10846-10853.
[72] SUN J H, ZHANG Y N, LU Z B, et al. Superlubricity enabled by pressure-induced friction collapse [J]. The Journal of Physical Chemistry Letters,2018,9(10):2554-2559.
[73] WANG L F,MA T B,HU Y Z,et al.Ab initio study of the friction mechanism of fluorographene and graphane[J]. The Journal of Physical Chemistry C,2013,117(24):12520-12525.
[74] ZHANG BZ,ZHANGGG,CHENGZW,et al.Atomic-scale friction adjustment enabled by doping-induced modification in graphene nanosheet[J].Applied Surface Science,2019,483:742-749.
[75] LIU X, LI Y, GUO W. Friction modulation via photoexcitation in two-dimensional material[J].ACS Applied Materials&Interfaces,2019,12(2):2910-2915.
[76] LI P X, LU J Q, WANG W Y, et al. Lattice distortion-enhanced superlubricity of (Mo,X)S2 (X=Al,Ti,Cr and V)with moire superlattice[J].Nanoscale,2021,13(38):16234-16243.
[77] LI P X,WANG W Y,ZOU C X,et al.Lattice distortion optimized hybridization and superlubricity of MoS2/MoSe2 heterointerfaces via Moiré patterns[J]. Applied Surface Science, 2023,613:155760.
[78] LATINI S, WINTHER K T, OLSEN T, et al. Interlayer excitons and band alignment in MoS2/hBN/WSe2 van der Waals heterostructures[J].Nano Letters,2017,17(2):938-945.
[79] ALEXEEV E M, RUIZ-TIJERINA D A, DANOVICH M, et al.Resonantly hybridized excitons in moiré superlattices in van der Waals heterostructures[J].Nature,2019,567(7746):81-86.
[80] KANG D W, ZUO Z W, WANG Z W, et al. Multi-shaped strain soliton networks and moiré-potential-modulated band edge states in twisted bilayer SiC[J]. RSC Advances,2021,11(39):24366-24373.
[81] ZHANG K,TADMOR E B.Energy and moiré patterns in 2D bilayers in translation and rotation: A study using an efficient discrete-continuum interlayer potential[J]. Extreme Mechanics Letters,2017,14:16-22.
[82] LIU E, BARRÉ E, VAN BAREN J, et al. Signatures of moire trions inWSe2/MoSe2 heterobilayers[J].Nature,2021,594(7861):46-50.
[83] JIN C H,REGAN E C,YAN A M,et al.Observation of moiré excitons in WSe2/WS2 heterostructure superlattices[J]. Nature, 2019,567(7746):76-80.
[84] ZHANG Z N,YIN N,CHEN S, et al. Tribo-informatics: Concept,architecture,and case study[J].Friction,2021,9(3):642-655.
[85] ROSENKRANZ A, MARIAN M, PROFITO F J, et al. The use of artificial intelligence in tribology—a perspective[J]. Lubricants,2021,9(1):2.
[86] RACCUGLIA P, ELBERT K C, ADLER P D F, et al. Machine-learning-assisted materials discovery using failed experiments[J].Nature,2016,533(7601):73-76.
[87] GUHA S,KABIRAJ A,MAHAPATRA S.High-throughput design of functional-engineered MXene transistors with low-resistive contacts[J].npj Computational Materials,2022,8(1):202.
[88] WANG C S, FU H D, JIANG L, et al. A property-oriented design strategy for high performance copper alloys via machine learning[J].npj Computational Materials,2019,5(1):87.
[89] LEW A J,YU C H,HSU Y C,et al.Deep learning model to predict fracture mechanisms of graphene[J].npj 2D Materials and Applications,2021,5(1):48.
[90] HERTLEIN N, DESHPANDE S, VENUGOPAL V, et al. Prediction of selective laser melting part quality using hybrid Bayesian network[J].Additive Manufacturing,2020,32:101089.
[91] ZHANG H T,FU H D,HE X Q,et al.Dramatically enhanced combination of ultimate tensile strength and electric conductivity of alloys via machine learning screening[J]. Acta Materialia, 2020,200: 803-810.
[92] ZOU C X,LI J S,WANG W Y,et al.Integrating data mining and machine learning to discover high-strength ductile titanium alloys[J].Acta Materialia,2021,202:211-221.
[93] YIN N, XING Z G, HE K, et al. Tribo-informatics approaches in tribology research:A review[J].Friction,2022:1-22.
[94] HASAN M S, KORDIJAZI A, ROHATGI P K, et al. Triboinformatics approach for friction and wear prediction of Al-graphite composites using machine learning methods[J].Journal of Tribology,2021,144(1):011701.
[95] PATURI U M R, PALAKURTHY S T, REDDY N S. The role of machine learning in tribology: A systematic review[J]. Archives of Computational Methods in Engineering,2022.
[96] MARIAN M, TREMMEL S. Current trends and applications of machine learning in tribology—a review[J].Lubricants,2021,9(9):86.
[97] FRONZI M, TAWFIK S A, ABU GHAZALEH M, et al. High throughput screening of millions of van der Waals heterostructures for superlubricant applications[J]. Advanced Theory and Simulations,2020,3(11):2000029.
[98] TORRES J A G,JENNINGS P C,HANSEN M H,et al.Low-scaling algorithm for nudged eastic band calculations using a surrogate machine learning model[J].Physical Review Letters, 2019,122(15):156001.
[99] PETERSON A A. Acceleration of saddle-point searches with machine learning[J].The Journal of Chemical Physics, 2016,145(7):074106.
[100]BABOUKANI B S, YE Z J, REYES K G, et al. Prediction of nanoscale friction for two-dimensional materials using a machine learning approach[J].Tribology Letters,2020,68(2):14.
[101]PERCˇIC'M,ZELENIKA S,MEZIC'I.Artificialintelligence-based predictive model of nanoscale friction using experimental data[J].Friction,2021,9(6):1726-1748.
[102]SARDAR S, DEY S, DAS D. Modelling of tribological responses of composites using integrated ANN-GA technique[J].Journal of Composite Materials,2021,55(7):873-896.
[103]ZAKAULLA M, PARVEEN F, AMREEN. Artificial neural network based prediction on tribological properties of polycarbonate composites reinforced with graphene and boron carbide particle[J].Materials Today:Proceedings,2020,26(2):296-304.
[104]HASAN M S, KORDIJAZI A, ROHATGI P K, et al. Triboinformatic modeling of dry friction and wear of aluminum base alloys using machine learning algorithms[J].Tribology International,2021,161:107065.
[105]PENG Y P,CAI J H,WU T H,et al.A hybrid convolutional neural network for intelligent wear particle classification[J].Tribology International,2019,138:166-173.
[106]GANGWAR S, SHARMA S,PATHAK V K.Preliminary evaluation and wear properties optimization of boron carbide and molybdenum disulphide reinforced copper metal matrix composite using adaptive neuro-fuzzy inference system[J].Journal of Bio- and Tribo-Corrosion,2020,7(1):1-19.
[107]QIAO Q,HE H T,YU J X,et al.Applicability of machine learning on predicting the mechanochemical wear of the borosilicate and phosphate glass[J].Wear,2021,476:203721.
[108]YAN X H,LI J S,ZHANG W R,et al.A brief review of high-entropy films[J].Materials Chemistry and Physics,2018,210:12-19.
[109]LU X L,YAN M M,YAN Z,et al.Exploring the atmospheric tribological properties of MoS2-(Cr, Nb, Ti, Al, V) composite coatings by high throughput preparation method[J].Tribology International,2021,156:106844.
[110]TIMPE S J,KUO T C.Surface property development in polymeric coating systems[J].Tribology Letters,2013,52(1):105-112.
[111]KALIHARI V, TIMPE S J, MCCARTY L, et al. An automated high throughput tribometer for adhesion, wear, and friction measurements[J]. Review of Scientific Instruments, 2013, 84(3): 035104.
Review of ICME Discovering Advanced Solid Lubricants
LI P X,WANG W Y, SUI X D.Review of ICME discovering advanced solid lubricants[J].FoundryTechnology,2023,44(2):132-146.